Фирма по продаже включает три филиала. Рассчитать среднюю выработку на одного работника фирмы.
Таблица 3.2
Товарооборот и выработка в разрезе магазинов
| Номер филиала | Средняя выработка на одного работника, тыс. руб. | Товарооборот в год, млн. руб. | |
| 3,3 | |||
Задание 3.3
Фирма по производству строительных материалов имеет 2 грузовых автомобиля для доставки стройматериалов потребителям. Определить среднюю скорость доставки груза потребителям за май, июнь и два эти месяца.
Таблица 3.3
Движении автомобилей за май и июнь
| № автомобиля | Май | Июнь | ||||
| Расстояние, км | Скорость, км/ч | Время, ч | Скорость, км/ч | |||
Задание 3.4
Имеются следующие данные по двум туристическим фирмам. Найти процент выполнения плана в среднем по двум туристическим фирмам:
1) за I полугодие; 2) за II полугодие.3) за год
Таблица 3.4
Выполнение плана по туристическим фирмам
|
|
|
| турфирма | 1 полугодие | 2 полугодие | ||||
| план по количеству заключенных договоров, шт. | процент выполнения плана | факт. Заключено договоров, шт. | процент выполнения плана | |||
| А | ||||||
| Б | ||||||
Задание 3.5
В отделе заказов торговой фирмы заняты трое работников, имеющих 8-часовой рабочий день. Первый работник на оформление одного заказа в среднем затрачивает 14 мин., второй – 15 мин., третий – 19 мин. Определить средние затраты времени на 1 заказ в целом по отделу.
Задание 3.6
Определить по представленному коммерческому банку в целом: средний размер вклада и среднее число вкладчиков в отделениях.
Таблица 3.5
Показатели деятельности коммерческого банка
| Номер филиала | Число отделений в филиалах | Средний размер вклада, тыс. руб. | Среднее число вкладчиков в каждом отделении |
Задание 3.7
По данным о реализации товара по трем коммерческим магазинам представленным в таблице 3.6, рассчитать среднюю цену товара.
Таблица 3.6
Реализация товара по трем коммерческим магазинам
| Номер магазина | Цена товара, руб./кг | Выручка от реализации, руб. | |
Задание 3.8
Исходя из имеющихся данных, определить среднюю стоимость путевки турфирмы в 1 полугодии, во 2 полугодии и за год.
Таблица 3.7
Средняя стоимость путевок
| Номер филиала | 1 полугодие | 2 полугодие | ||||
| Объем турпотока, чел. | Средняя стоимость путевки, руб. | Средняя стоимость путевки, руб. | Выручка от путевок, тыс.руб. | |||
Задание 3.9
|
|
|
Есть три квадрата со сторонами 10, 20 и 30 см. Вычислить среднюю сторону квадратов.
Задание 3.10
Рассчитать среднюю цену тура по трём маршрутам исходя из имеющихся данных
Таблица 3.8
Средняя цена тура и выручка
| Номер маршрута | Средняя цена тура, тыс. руб. | Выручка от продажи турпродукта, тыс. руб. | |
Задание 3.11
Определить среднюю стоимость 1 дня тура
Таблица 3.9
Однодневная стоимость тура и его продолжительность
| № маршрута | Стоимость 1 дня, руб. | Продолжительность тура, дней | |
Тема 4: Показатели вариации
Термин “вариация” происходит от латинского слова variation – изменение, колеблемость, различие.
Вариация – это различие между индивидуальными явлениями.
Степень близости индивидуальных значений признака (вариант) к средней измеряется рядом абсолютных, средних и относительных статистических показателей. К ним относятся
· размах вариации: R=Хmax-Xmin
Средние показатели:
· среднее линейное отклонение,
· для несгруппированных данных:
· для сгруппированных данных:
· дисперсия – средний квадрат отклонения от их средней величины
· для несгруппированных данных: Д=
· для сгруппированных данных: Д=
Если совокупность разбита на группы по какому-либо признаку, то можно определить дисперсию общую, гмежгрупповую (факторную) и внутригрупповую (случайную).
· среднее квадратическое отклонение – корень из дисперсии:
· относительный размах вариации: VR =
· относительное линейное отклонение: VL =
· коэффициент вариации: V=
При этом совокупность считается однородной, если V не превышает 33%/
К показателям формы распределения относятся асимметрия и эксцесс.
Симметричным называется распределение, в котором частоты любых двух вариантов, равностоящих в обе стороны от центра распределения, равны между собой.
Если распределение симметричное, то =Мо=Ме
Коэффициент асимметрии Пирсона:
Если Ка=0- ряд распределения симметричен, Ка>0-скошенность ряда правосторонняя, Ка<0-скошенность ряда левосторонняя.
Эксцесс – характеристика островершинности и крутизны распределения.
где А4- нормированный момент четвертого порядка:
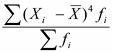
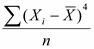
где М4 - центральный момент четвертого порядка:
по несгрупированным данным: М4=
по сгрупированным данным: М4=
Если Е = 0 – распределение нормальное, если Е > 0 - островершинное, Е <0 – плосковершинное.
Студент должен
знать:
· Сущность вариации;
· показатели вариации и способы их расчета;
· виды дисперсий и правило сложения дисперсий
уметь:
· Правильно рассчитывать показатели вариации;
· Интерпретировать полученные данные






