По данным о числе родившихся в РФ (табл.2.1. задание 2.2) определите средний уровень рождаемости за представленные годы и показатели вариации. Для расчетов используйте таблицу:
Таблица 4.1
Расчет показателей вариации рождаемости
| Годы | Численность родившихся в расчете на 1000 населения, чел. (Хi ) | Расчет отклонений | |
| |Хi- | (Хi-2 | ||
| 10,4 | |||
| 10,2 | |||
| 10,4 | |||
| 11,3 | |||
| 12,1 | |||
| 12,4 | |||
| 12,5 | |||
| Итого | |||
| В среднем |
Задание 4.2.
Определите по сгруппированным данным:
· Средний возраст студентов
· абсолютные, средние и относительные показатели вариации возраста студентов
Таблица 4.2
Распределение студентов по возрасту
| Исходные данные | Расчетные показатели | ||||
| Группы студентов по возрасту, лет Xi | Число студентов fi | Xi fi | Xi- | |Xi-| fi | (Xi-)2 fi |
| fi | |||||
| Итого |
Определите:
· Средний возраст студентов
· абсолютные, средние и относительные показатели вариации возраста студентов
Задание 4.2
|
|
|
Охарактеризуйте ряд распределения. Определите дисперсию, среднее квадратическое отклонение и коэффициент вариации
Таблица 4.2
Распределение работников отрасли по уровню заработной платы
| Заработная плата одного работника за месяц, тыс.руб. | До 15 | 15-20 | 20-30 | 30 и больше | Всего |
| Количество работников к итогу, % |
Задание 4.3
Сравните вариацию производительности труда в цехах, сделайте выводы.
Таблица 4.3
| Цех | Средняя часовая производительность труда в цехе, м2 | Среднее отклонение часовой производительности каждого работника от среднецеховой производительности, м2 |
| 0,36 0,8 2,45 |
Задание 4.4
Дисперсия признака равна 10, средний квадрат его индивидуальных значений – 140. Чему равна средняя?
Задание 4.5
Средняя величина признака в совокупности равна 20, а средний квадрат отклонений индивидуальных значений этого признака от средней величины – 400. Определите коэффициент вариации.
Задание 4.6
Средняя величина в совокупности равна 16, среднее квадратическое отклонение – 8. Определите средний квадрат индивидуальных значений этого признака.
Задание 4.7
Имеются данные о производительности в двух группах, сформированных по величине стажа работы:
Таблица 4.4
Производительность ткачей в двух бригадах
| Табельный номер | Изготовлено ткани за 1 час, м.(Хi) | (Хi-гр)2 | (Хi-)2 |
| 1 группа (стаж от 1 до 3 лет): | |||
| Итого 1 гр. (бригаде) | |||
| В среднем по 1 гр () | х | х | |
| 2 группа (стаж свыше 3 лет): | |||
| Итого 2 гр. (бригаде) | |||
| В среднем по 2 гр () | х | х | |
| Всего | |||
| В среднем () | х | х |
Вычислить:
|
|
|
· групповые дисперсии и среднюю из групповых дисперсий (внутригрупповую);
· межгрупповую дисперсию;
· общую дисперсию.
Проверить правило сложения дисперсий.
Определить коэффициент вариации в двух бригадах.
Задание 4.8
Имеются данные о товарообороте магазинов
Таблица 4.5
Распределение магазинов по размеру товарооборота
| Группы магазинов по размеру товарооборота, тыс.руб. | Число магазинов fi | Середина интервала Xi | Xifi | Xi- | (Xi-)2fi | (Xi-)4fi |
| 50-60 60-70 70-80 80-90 | ||||||
| Итого | х |
Исходя их данных о распределении магазинов по размеру товарооборота определите следующие показатели и сделайте выводы:
· средний размер товарооборота по магазинам
· Дисперсию (центральный момент второго порядка)
· Среднее квадратическое отклонение;
· Моду
· Коэффициент асимметрии Пирсона
· Центральный момент четвертого порядка
· Нормированный момент четвертого порядка
Тема 5: Статистическое изучение взаимосвязей социально-экономических явлений
Взаимосвязи между явлениями могут быть функциональными (математическими) и стохастическими (корреляционными).
Основные методы изучения взаимосвязей:
· метод сопоставления параллельных рядов,
· балансовый,
· графический,
· метод аналитических группировок,
· Корреляционно-регрессионный анализ (КРА).
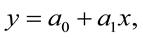
Цель корреляционного анализа – определить форму связи с помощью подбора уравнения зависимости.Прямолинейная зависимость в этом случае может быть выражена уравнением прямой:

Для нахождения параметров можно воспользоваться формулами:
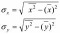
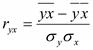
Цель регрессионного анализа – оценить тесноту связи. Теснота связи оценивается с помощью коэффициентов корреляции, корреляционного отношения, детерминации, эластичности и др.
Парный линейный коэффициент корреляции:
,
где
- средние квадратические отклонения по факторному признаку X (результативному У):

Если же связь криволинейная, то пользуются корреляционным отношением (индексом корреляции):

где
- выравненные значения по уравнению регрессии.
Студент должен
знать:
· виды и формы взаимосвязей;
· сущность функциональных и корреляционных взаимосвязей между показателями;
· основные методы для определения взаимосвязи между показателями;
· методику расчета коэффициентов тесноты связи
уметь:
· Определять признак-фактор и признак-результат;
· Пользоваться основными методами для определения направления и тесноты связи явлений.
· Оценивать достоверность полученных результатов;
· Интерпретировать полученные данные.