Сначала разберем, как оптимизировать дебиторскую задолженность, на конкретном примере. То есть пойдем от частностей к общему.
Предположим, что у фирмы три клиента, каждый из которых регулярно закупает товар следующим образом:
· 1-й клиент – оплачивает в момент закупки;
· 2-й клиент – оплачивает через полмесяца после момента закупки;
· 3-й клиент – оплачивает через месяц после момента закупки.
Теперь предположим, что оборот капитала в фирме составляет один месяц. Это означает, что фирма закупает товар для перепродажи один раз в месяц. Допустим, что покупка товара происходит 1-го числа каждого месяца. Тогда при расчетах с поставщиком фирма может использовать деньги своих клиентов:
· 1-го клиента – всегда.
· 2-го клиента – с вероятностью 50%. (Если этот клиент закупает товар с 1-го по 15-е число, его деньги можно использовать, поскольку он расплатится до конца месяца. А вот если он закупает товар после 16-го числа, его деньги фирма не может использовать при текущем расчете с поставщиком, поскольку деньги этого клиента поступят уже после очередного расчета с поставщиком.)
· За 3-го клиента всегда придется сначала платить, а уж потом получать с него.
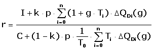
Таким образом, для данного случая можно записать выражение для расчета рентабельности:

где
· I – прибыль фирмы за месяц без учета дебиторской задолженности;
· k – норма прибыли (отношение прибыли к обороту);
· Di – месячный оборот i-го дебитора;
· C – капитал фирмы без учета вложений в дебиторскую задолженность;
· Ti – среднее время отсрочки платежей i-го дебитора;
· T0 – среднее время оборота капитала.
Для более общего случая можно записать:
(1),
где
·
– месячный оборот всех дебиторов (d – количество дебиторов);
·
– среднее время оборота дебиторской задолженности.
Для того чтобы было выгодно увеличивать дебиторскую задолженность, необходимо, чтобы при ее увеличении рентабельность увеличивалась. Это означает, что производная
должна быть больше нуля. Продифференцировав выражение (1) по D и найдя, при каких условиях производная больше нуля, получим:
(2).
В файле в формате Excel (готовые шаблоны для приведенных расчетов) на листе "Без наценки" есть следующие значения:
· в ячейке B2 – значение k;
· в ячейке B3 – значение I;
· в ячейке B4 – значение C;
· в ячейке B5 – значение T0;
· в ячейке B8 – условие (2).
Теперь решим задачу выгодности торговли в кредит с наценкой. Сначала напишем формулу для расчета рентабельности при торговле без отсрочки платежа:
(3), где
· I – прибыль фирмы за месяц без учета прибыли с данных продаж;
· k – норма прибыли данных продаж (отношение прибыли к обороту);
· Q – объем реализации данного товара за месяц (в более общем случае это суммарное количество всех реализуемых за месяц товаров –
);
· p – цена реализации данного товара (в более общем случае это средняя цена всех реализуемых товаров –
);
· N – количество видов товаров;
· C – капитал, вложенный в бизнес.
Теперь напишем формулу для расчета рентабельности при торговле в кредит при условии, что этот кредит предоставляется на фиксированный срок:
(4), где
· Q0 – объем товара, реализованного за месяц без отсрочки платежа (Q0 < Q, поскольку часть клиентов, которые раньше приобрели бы товар без отсрочки платежа, теперь приобретут в кредит);
· g – наценка за кредит за единицу времени (за месяц);
· T – срок, на который предоставляется отсрочка платежа (мес.);
· QD – объем товара, приобретенного в кредит за месяц.
На листе "С наценкой" есть следующие значения:
· в ячейке B2 – значение Q;
· в ячейке B3 – значение Q0;
· в ячейке B4 – значение k;
· в ячейке B5 – значение I;
· в ячейке B6 – значение C;
· в ячейке B7 – значение p;
· в ячейке B8 – значение T;
· в ячейке B9 – значение T0;
· в ячейке B10 – значение g;
· в ячейке B13 – критерий выгодности торговли в кредит при данных условиях;
· в ячейке B14 – значение рентабельности r0, рассчитанное по формуле (3);
· в ячейках B18–B36 – значения рентабельности r, рассчитанные по формуле (4), в зависимости от значений объема товаров, взятых в кредит (ячейки A18–A36).
Теперь учтем, что объемы товара, приобретенного как с отсрочкой, так и без отсрочки платежа, будут зависеть от величины наценки за кредит. Аппроксимируем эти зависимости экспоненциальными функциями:
(5), где
· QD0 – объем товара, приобретенного в кредит за месяц, при наценке g0;
·
(6) – коэффициент;
· QD1 – объем товара, приобретенного в кредит за месяц, при наценке g1.
, где
· Q00 – объем товара, приобретенного без отсрочки платежа за месяц, при наценке g0;
·
(7) – коэффициент;
· Q01 – объем товара, приобретенного без отсрочки платежа за месяц, при наценке g1.
Тогда с учетом этих зависимостей можно переписать выражение (4):
(8).
На листе "С наценкой (2)" есть следующие значения:
· в ячейке B2 – значение Q;
· в ячейке B3 – значение k;
· в ячейке B4 – значение I;
· в ячейке B5 – значение C;
· в ячейке B6 – значение p;
· в ячейке B7 – значение T;
· в ячейке B8 – значение T0;
· в ячейках B9 и C9 – значения g0 и g1;
· в ячейках B10 и C10 – значения QD0 и QD1 в зависимости от значений g0 и g1;
· в ячейках B11 и C11 – значения Q00 и Q01 в зависимости от значений g0 и g1;
· в ячейках B15–B33 – значения рентабельности r, рассчитанные по формуле (8), в зависимости от ряда значений наценки за кредит (ячейки A15–A33).
· в ячейке B36 – значение рентабельности r0, рассчитанное по формуле (3);
· в ячейке B37 – значение объема товаров, приобретенных без отсрочки платежа за месяц, при нулевой наценке за кредит;
· в ячейке B38 – значение объема товаров, приобретенных в кредит за месяц, при нулевой наценке за кредит;
· в ячейке B39 – значение коэффициента a, рассчитанное по формуле (6);
· в ячейке B40 – значение коэффициента b, рассчитанное по формуле (7);
В предыдущих случаях время отсрочки платежа было зафиксировано. Теперь учтем, что время отсрочки платежа может быть разным. Воспользуемся формулой (4):
, где
· Ti – i-й срок предоставления кредита;
· n – количество сроков предоставления кредита;
·
– та часть оборота, которая относится к i-му сроку предоставления кредита. Естественно, что эта величина будет зависеть от величины наценки за кредит g.
Решим эту задачу при непрерывной величине срока взятия кредита:
.
Учтем, что приращение dQD будет зависеть как от величины наценки за кредит g, рассчитанной с помощью формулы (5), так и от времени предоставления кредита:
(9), где a, b и a1 – коэффициенты.
Вообще данное предположение достаточно спорное, поскольку считается, что приращение объема реализованных товаров одинаковым образом зависит:
· от величины наценки за кредит g для любого времени предоставления кредита T;
· от времени предоставления кредита T для любой величины наценки за кредит g.
Тем не менее примем данное представление, поскольку оно примерно соответствует здравому экономическому смыслу.
Чтобы найти коэффициенты b и a1, проинтегрируем выражение (9) сначала по всему диапазону сроков предоставления кредита:
(10),
затем по сроку предоставления кредита от 0 до 1 месяца:
.
Теперь примем g=g0. Тогда получим:
,
.
Отсюда можно найти коэффициенты b и a1:
·
(11);
·
(12), где
·
– объем всех реализуемых за месяц товаров при наценке за кредит g0;
· QD10 – объем реализуемых за месяц товаров при сроке кредита менее 1 месяца и наценке за кредит g0.
Для определения коэффициента a воспользуемся формулой (10):
, откуда
(13), где
– объем всех реализуемых за месяц товаров при наценке за кредит g1.
Итак, с учетом выражения (9) выражение для расчета рентабельности можно записать следующим образом:
.
И, взяв интегралы, получим окончательное выражение для расчета рентабельности:
(14).
На листе "С наценкой (3)" есть следующие значения:
· в ячейке B2 – значение Q;
· в ячейке B3 – значение k;
· в ячейке B4 – значение I;
· в ячейке B5 – значение C;
· в ячейке B6 – значение p;
· в ячейке B7 – значение T0;
· в ячейках B8 и C8 – значения g0 и g1;
· в ячейках B9 и C9 – значения
и
в зависимости от значений g0 и g1;
· в ячейке B10 – значение QD10;
· в ячейках B14–B32 – значения рентабельности r, рассчитанные по формуле (14), в зависимости от ряда значений наценки за кредит (ячейки A14–A32).
· в ячейке B35 – значение рентабельности r0, рассчитанное по формуле (3);
· в ячейке B36 – значение объема всех реализованных товаров при нулевой наценке за кредит;
· в ячейке B37 – значение коэффициента a1, рассчитанное по формуле (11);
· в ячейке B38 – значение коэффициента b, рассчитанное по формуле (12);
· в ячейке B39 – значение коэффициента a, рассчитанное по формуле (13).
ПРИЛОЖЕНИЕ 2
Приобретение основных средств за плату
| База показателей | Расчетная формула | Наличие измене-ний (∆ - есть, 0 – нет) | Направление изменений | Направление изменений | ||||
| Рост (+) | Сниже-ние (-) | Рост (+) | Сниже-ние (-) | |||||
| 1 Показатели ликвидности | ||||||||
| 1.1 Коэффициент абсолютной ликвидности |
| ∆ | - | - | ||||
| 1.2 Коэффициент быстрой ликвидности |
| ∆ | - | - | ||||
| 1.3 Коэффициент текущей ликвидности |
| ∆ | - | - | ||||
| 1.4 Коэффициент восстановления платежеспособности | | |||||||
| 1.5 Коэффициент утраты платежеспособности | | ∆ | - | - | ||||
| 2 Показатели финансовой устойчивости (структуры капитала) | ||||||||
| 2.1 Коэффициент концентрации собственного капитала |
| ∆ | - | - | ||||
| 2.2 Коэффициент маневренности собственного капитала |
| ∆ | - | |||||
| 2.3 Коэффициент структуры долгосрочных вложений |
| ∆ | - | - | ||||
| 2.4 Коэффициент соотношения заемных и собственных средств |
| ∆ | - | + | ||||
| 3 Показатели рентабельности | ||||||||
| 3.1 Рентабельность продаж |
| ∆ | + | - | + | - | ||
| 3.2 Рентабельность активов |
| ∆ | - | - | ||||
| 3.3 Рентабельность собственного капитала |
| |||||||
| 3.4 Рентабельность производственной деятельности |
| ∆ | + | - | + | - | ||
| 4 Показатели деловой активности | ||||||||
| 4.1 Фондоотдача |
| ∆ | + | - | + | - | ||
| 4.2 Коэффициент оборачиваемости рабочего капитала |
| ∆ | + | + | - | |||
| 4.3 Период оборота запасов |
| ∆ | - | - | ||||
| 4.4 Период оборота дебиторской задолженности |
| ∆ | - | - | ||||
| 4.5 Период оборота кредиторской задолженности |
| ∆ | - | + | - | |||
| 4.6 Продолжительность операционного цикла | Оборачиваемость Дебиторской задолженности (в днях) + Оборачиваемость запасов (в днях) | ∆ | - | - | ||||
| 4.7 Продолжительность финансового цикла | Продолжительность операционного цикла – Оборачиваемость кредиторской задолженности (в днях) | ∆ | + | - | + | - | ||
| 4.8 Производительность труда |
| ∆ | + | + |
Продажа ОС
| База показателей | Расчетная формула | Наличие измене-ний (∆ - есть, 0 – нет) | Направление изменений | |||||
| Рост (+) | Сниже-ние (-) | Рост (+) | Сниже-ние (-) | |||||
| 1 Показатели ликвидности | ||||||||
| 1.1 Коэффициент абсолютной ликвидности |
| ∆ | + | + | ||||
| 1.2 Коэффициент быстрой ликвидности |
| ∆ | + | + | ||||
| 1.3 Коэффициент текущей ликвидности |
| ∆ | + | + | ||||
| 1.4 Коэффициент восстановления платежеспособности | | ∆ | + | + | ||||
| 1.5 Коэффициент утраты платежеспособности | | |||||||
| 2 Показатели финансовой устойчивости (структуры капитала) | ||||||||
| 2.1 Коэффициент концентрации собственного капитала |
| ∆ | + | - | + | - | ||
| 2.2 Коэффициент маневренности собственного капитала |
| ∆ | + | |||||
| 2.3 Коэффициент структуры долгосрочных вложений |
| ∆ | + | + | ||||
| 2.4 Коэффициент соотношения заемных и собственных средств |
| ∆ | - | + | ||||
| 3 Показатели рентабельности | ||||||||
| 3.1 Рентабельность продаж |
| ∆ | + | - | - | |||
| 3.2 Рентабельность активов |
| ∆ | + | |||||
| 3.3 Рентабельность собственного капитала |
| |||||||
| 3.4 Рентабельность производственной деятельности |
| ∆ | + | - | ||||
| 3 Показатели деловой активности | ||||||||
| 4.1 Фондоотдача |
| ∆ | + | + | ||||
| 4.2 Коэффициент оборачиваемости рабочего капитала |
| ∆ | + | + | ||||
| 4.3 Период оборота запасов |
| ∆ | + | + | ||||
| 4.4 Период оборота дебиторской задолженности |
| ∆ | + | + | ||||
| 4.5 Период оборота кредиторской задолженности (предъявленных счетов) |
| ∆ | + | |||||
| 4.6 Продолжительность операционного цикла | Оборачиваемость Дебиторской задолженности (в днях) + Оборачиваемость запасов (в днях) | ∆ | + | + | ||||
| 4.7 Продолжительность финансового цикла | Продолжительность операционного цикла – Оборачиваемость кредиторской задолженности (в днях) | ∆ | + | + | ||||
| 4.8 Производительность труда |
|
Списание ДЗ
| База показателей | Расчетная формула | Наличие измене-ний (∆ - есть, 0 – нет) | Направление изменений | |||
| Рост (+) | Сниже-ние (-) | |||||
| 1 Показатели ликвидности | ||||||
| 1.1 Коэффициент абсолютной ликвидности |
| |||||
| 1.2 Коэффициент быстрой ликвидности |
| ∆ | - | |||
| 1.3 Коэффициент текущей ликвидности |
| ∆ | - | |||
| 1.4 Коэффициент восстановления платежеспособности | | |||||
| 1.5 Коэффициент утраты платежеспособности | | ∆ | - | |||
| 2 Показатели финансовой устойчивости (структуры капитала) | ||||||
| 2.1 Коэффициент концентрации собственного капитала |
| |||||
| 2.2 Коэффициент маневренности собственного капитала |
| |||||
| 2.3 Коэффициент структуры долгосрочных вложений |
| |||||
| 2.4 Коэффициент соотношения заемных и собственных средств |
| ∆ | + | |||
| 3 Показатели рентабельности | ||||||
| 3.1 Рентабельность продаж |
| ∆ | - | |||
| 3.2 Рентабельность активов |
| |||||
| 3.3 Рентабельность собственного капитала |
| |||||
| 3.4 Рентабельность производственной деятельности |
| ∆ | - | |||
| 4 Показатели деловой активности | ||||||
| 4.1 Фондоотдача |
| |||||
| 4.2 Коэффициент оборачиваемости рабочего капитала |
| ∆ | + | |||
| 4.3 Период оборота запасов |
| |||||
| 4.4 Период оборота дебиторской задолженности |
| ∆ | - | |||
| 4.5 Период оборота кредиторской задолженности (предъявленных счетов) |
| |||||
| 4.6 Продолжительность операционного цикла | Оборачиваемость Дебиторской задолженности (в днях) + Оборачиваемость запасов (в днях) | ∆ | - | |||
| 4.7 Продолжительность финансового цикла | Продолжительность операционного цикла – Оборачиваемость кредиторской задолженности (в днях) | ∆ | - | |||
| 4.8 Производительность труда |
|
Отсрочка и рассрочка долга ДЗ
| База показателей | Расчетная формула | Наличие измене-ний (∆ - есть, 0 – нет) | Направление изменений | |||
| Рост (+) | Снижение (-) | |||||
| 1 Показатели ликвидности | ||||||
| 1.3 Коэффициент абсолютной ликвидности |
| |||||
| 1.2 Коэффициент быстрой ликвидности |
| |||||
| 1.3 Коэффициент текущей ликвидности |
| ∆ | + | |||
| 1.4 Коэффициент восстановления платежеспособности | | |||||
| 1.5 Коэффициент утраты платежеспособности | | |||||
| 2 Показатели финансовой устойчивости (структуры капитала) | ||||||
| 2.1 Коэффициент концентрации собственного капитала (финансовой независимости, автономии) |
| |||||
| 2.2 Коэффициент маневренности собственного капитала |
| |||||
| 2.3 Коэффициент структуры долгосрочных вложений |
| |||||
| 2.4 Коэффициент соотношения заемных и собственных средств |
| |||||
| 3 Показатели рентабельности | ||||||
| 3.1 Рентабельность продаж |
| |||||
| 3.2 Рентабельность активов |
| |||||
| 3.3 Рентабельность собственного капитала |
| |||||
| 3.4 Рентабельность производственной деятельности |
| |||||
| 4 Показатели деловой активности | ||||||
| 4.1 Фондоотдача |
| |||||
| 4.2 Коэффициент оборачиваемости рабочего капитала |
| |||||
| 4.3 Период оборота запасов |
| |||||
| 4.4 Период оборота дебиторской задолженности |
| ∆ | - | |||
| 4.5 Период оборота кредиторской задолженности (предъявленных счетов) |
| |||||
| 4.6 Продолжительность операционного цикла | Оборачиваемость Дебиторской задолженности (в днях) + Оборачиваемость запасов (в днях) | ∆ | - | |||
| 4.7 Продолжительность финансового цикла | Продолжительность операционного цикла – Оборачиваемость кредиторской задолженности (в днях) | ∆ | - | |||
| 4.8 Производительность труда |
|
Эффективность организацонно-управленческой реструктуризации
| База показателей | Расчетная формула | Наличие измене-ний (∆ - есть, 0 – нет) | Направление изменений | |||
| Рост (+) | Сниже-ние (-) | |||||
| 1 Показатели ликвидности | ||||||
| 1.1 Коэффициент абсолютной ликвидности |
| ∆ | + | |||
| 1.2 Коэффициент быстрой ликвидности |
| ∆ | + | |||
| 1.3 Коэффициент текущей ликвидности (коэффициент покрытия) |
| ∆ | + | |||
| 1.4 Коэффициент восстановления платежеспособности | | ∆ | + | |||
| 1.5 Коэффициент утраты платежеспособности | | |||||
| 2 Показатели финансовой устойчивости (структуры капитала) | ||||||
| 2.1 Коэффициент концентрации собственного капитала |
| ∆ | - | |||
| 2.2 Коэффициент маневренности собственного капитала |
| |||||
| 2.3 Коэффициент структуры долгосрочных вложений |
| |||||
| 2.4 Коэффициент соотношения заемных и собственных средств |
| ∆ | + | |||
| 3 Показатели рентабельности | ||||||
| 3.1 Рентабельность продаж |
| ∆ | + | - | ||
| 3.2 Рентабельность активов |
| ∆ | + | - | ||
| 3.3 Рентабельность собственного капитала |
| ∆ | + | |||
| 3.4 Рентабельность производственной деятельности |
| ∆ | + | |||
| 4 Показатели деловой активности | ||||||
| 4.1 Фондоотдача |
| ∆ | + | |||
| 4.2 Коэффициент оборачиваемости рабочего капитала |
| ∆ | + | - | ||
| 4.3 Период оборота запасов |
| ∆ | + | - | ||
| 4.4 Период оборота дебиторской задолженности |
| ∆ | - | |||
| 4.5 Период оборота кредиторской задолженности (предъявленных счетов) |
| ∆ | - | |||
| 4.6 Продолжительность операционного цикла | Оборачиваемость Дебиторской задолженности (в днях) + Оборачиваемость запасов (в днях) | ∆ | + | - | ||
| 4.7 Продолжительность финансового цикла | Продолжительность операционного цикла – Оборачиваемость кредиторской задолженности (в днях) | ∆ | + | - | ||
| 4.8 Производительность труда |
| ∆ | + |






