Каждая система может быть индивидуальной и коллективной в зависимости от того, по индивидуальным или групповым показателям определяется заработок работника.
Прямая сдельная система оплаты заключается в том, что заработок работнику начисляется по заранее установленным расценкам за единицу качественно изготовленной продукции (работы, услуги). Основной элемент этой системы – сдельная расценка, устанавливаемая исходя из тарифной ставки (оклада), соответствующей разряду работы, нормы выработки (нормы времени) на данную работу.
Сдельная расценка – оплата труда (зарплата) за единицу продукции, определяемая умножением средней тарифной часовой ставки (Ст.ч.) рабочего на норму затрат труда. Она определяется по формулам:

где Рсд. – сдельная расценка за изготовление единицы продукции, руб./ед.; Ст.ч. – тарифная часовая ставка разряда выполняемой работы, руб.; Нвыраб. – часовая норма выработки, шт./ч; ЗП – заработная плата, руб.; Q – количество продукции, шт.; Нвр. – норма времени на изготовление единицы продукции, мин, ч.
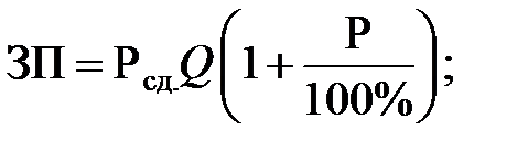
При сдельно-премиальной системе работнику сверх заработка по прямым сдельным расценкам начисляется и выплачивается премия за количественные и качественные показатели работы (увеличение объёма продукции, повышение производительности труда, качества продукции, экономию материалов и энергоресурсов). Премия исчисляет в процентах от фактической экономии ресурсов, или от среднего заработка. Зарплата при этой системе определяется по формулам:

где Р – размер премии, %; Рвып.пл. – размер премии за выполнение плана (нормы выработки), %; Рперев.пл. – размер премии за каждый процент перевыполнения плана, %; Увып.пл. уровень перевыполнения плана, %.
Сдельно-прогрессивная система состоит в том, что объём продукции, произведенной в пределах установленной нормы, оплачивается по обычным сдельным расценкам, а произведённой сверх нормы – по повышенным. Заработок при этом определяется в зависимости от принятой системы прогрессивной оплаты (за весь объём или за часть объёма, выполненного сверх нормы) по одной из формул:



где ЗПпр.сд.р.– зарплата, рассчитанная по прямым сдельным расценкам, руб.; Кн.в – коэффициент выполнения норм, %; Кувел.– коэффициент, показывающий, насколько увеличивается сдельная расценка за изготовление продукции сверх установленной нормы; ЗПсд.р.(ч.) – зарплата, начисленная по сдельным расценкам за часть продукции, оплачиваемую по повышенным ставкам, руб.;
– базовая норма выработки, сверх которой применяется оплата по повышенным расценкам, %.
Аккордная сдельная система предполагает установление размера оплаты не за каждую операцию в отдельности, а за весь комплекс работ, взятый в целом.
Аккордная и аккордно-премиальная системы предусматривают выдачу наряда не на расчётный месяц, а на весь срок выполнения работ; зарплата бригаде по расчётным периодам начисляется в виде аванса, а окончательный расчёт производится после выполнения всего задания. При этом повышается заинтересованность коллектива в эффективном использовании ФРВ, выполнении задания меньшей численностью, сокращении срока его выполнения, повышении качества работ.
Косвенная сдельная система предполагает, что уровень заработка рабочего ставится в прямую зависимость от результатов работы обслуживаемых им работников. Данная система применяется для оплаты труда вспомогательных рабочих. При этом их зарплата зависит от результатов труда тех рабочих-сдельщиков, которых они обслуживают. Косвенная расценка Ркосв. рассчитывается по формуле

где Стар.ч – тарифная часовая ставка вспомогательного рабочего, руб.; Вч – часовая норма выработки одного вспомогательного рабочего в натуральных показателях; Нобсл. – норма обслуживания, т.е. количество обслуживаемых объектов.
Зарплату при использовании косвенно-сдельной системы определяют по так:


где Q факт. – фактическое число обслуживаемых рабочим агрегатов, шт.; Кн.в. –коэффициент выполнения норм выработки основными рабочими, которые обслуживаются вспомогательным, %; Зтар.ст. – тарифная зарплата вспомогательного рабочего, руб.; Тфакт. – фактическое время работы вспомогательного рабочего.
Гарантии – средства, способы и условия, с помощью которых обеспечивается осуществление предоставленных работникам прав в области социально-трудовых отношений. Компенсации – выплаты, установленные в целях возмещения работникам затрат, связанных с исполнением ими трудовых или иных обязательств, предусмотренных трудовым кодексом и другими федеральными законами.
Гарантии и компенсации предоставляются работникам в случаях:
направления в служебные командировки;
переезда на работу в другую местность;
исполнения государственных обязанностей;
совмещения работы и обучения;
направления для повышения квалификации;
профессионального заболевания, несчастного случая на производстве;
возмещения расходов при использовании личного имущества работника;
предоставления ежегодно оплачиваемого отпуск и т.д.
Гарантийными называются выплаты за время, когда работник не выполняет трудовые обязанности по предусмотренным законодательством уважительным причинам. Их назначение – сохранение уровня жизни работника.
Все гарантийные выплаты делятся на три группы:
зависящие от производства или действия руководителя;
связанные с оплатой отпусков и другого времени отдыха;
не зависящие от производства, но необходимые для государства и общества.
К первой группе относятся следующие виды выплат:
оплата простоя по вине администрации, работодателя (в размере 2/3 от тарифной ставки или оклада);
оплата времени вынужденного прогула незаконно уволенного работника при его восстановлении на работе (в размере среднего заработка);
оплата женщине при беременности за время освобождения её по медицинскому предписанию от тяжёлой работы с переводом на более лёгкую в случае, если администрация не имеет возможности подыскать такую работу;
выплата выходного пособия (ст. 178 ТК РФ) при увольнении работника без его вины в размере не менее двухнедельного заработка;
сохранение среднемесячного заработка за высвобождённым работником сроком до 3 месяцев (с учётом выходного пособия) на период его трудоустройства;
доплаты до сохранения уровня прежнего среднего заработка перемещённым работникам при уменьшении не по их вине заработка на новом месте работы (в течение двух месяцев со дня перемещения).
Ко второй группе относятся следующие виды выплат:
в размере среднего заработка за время ежегодных очередных основных и оплачиваемых дополнительных, в т.ч. материнских и учебных, отпусков;
работникам, направленным на курсы повышения квалификации с отрывом от производства;
женщинам за перерывы для кормления ребёнка до полутора лет;
за перерывы для обогрева рабочих, проведение физкультурной паузы;
несовершеннолетним – за сокращённое рабочее время;
в течение двух недель при переводе работника на другую, нижеоплачиваемую, работу (до уровня прежнего среднего заработка, ст. 182 ТК РФ);
до уровня среднего заработка для восстановления трудоспособности или установления инвалидности (ст. 186 ТК РФ);
при переводе в связи с трудовым увечьем по вине организации;
беременным и кормящим матерям при переводе на более лёгкую работу (до уровня прежнего среднего заработка).
К третьей группе выплат относится оплата времени выполнения государственных или общественных обязанностей в размере среднего сдельного заработка. Согласно ст. 170 ТК РФ работодатель обязан освободить работника на это время от выполнения основной работы, а орган, привлекающий работника к этим обязанностям в его рабочее время, должен выплатить ему его средний заработок.
Компенсационные выплаты призваны обеспечивать возмещение потенциальных потерь (трудоспособности, использования рабочего времени и профессионально-квалификационного потенциала) работников, по независящим от них причинам (ст.ст. 146-149 ТК РФ). Их минимальный размер устанавливается законом, дополнительные размеры – коллективными и трудовыми договорами.
Виды компенсационных выплат:
обусловленные работой в особых условиях (ст. 146 ТК РФ);
обусловленные районным регулированием оплаты труда: по районным коэффициентам за работу в пустынных, безводных местностях и в высокогорных районах; надбавка за непрерывный стаж работы в районах Крайнего Севера, в приравненных к ним местностях, в районах Европейского Севера и других районах с тяжёлыми природно-климатическими условиями (ст. 148 ТК РФ);
расходы по переезду на работу в другую местность (ст. 169 ТК РФ);
надбавка за разъездной характер работ, выплачиваемая работникам автомобильного транспорта и шоссейных дорог, постоянная работа которых протекает в пути или имеет разъездной характер, а также при служебных поездках в пределах обслуживаемых ими участков (ст. 168 ТК РФ);
командировочные расходы (ст. 168 ТК РФ);
компенсации за износ используемых в производственных целях личных автомобилей (при рабочем объёме двигателя до 2000 см3 включительно – 1200 руб., свыше 2000 см3 – 1500 руб.), мотоциклов – 600 руб. (ст. 188 ТК РФ);
возмещение расходов за использование, износ (амортизацию) личного имущества (инструментов, инвентаря, материалов и др.) работника (ст. 188 ТК РФ).
Стимулирующие выплаты производятся в пределах имеющихся у организации денежных средств. Они должны формировать побудительные мотивы к более высокой результативности труда.
Нормативные и поощрительные надбавки и доплаты начисляются за производительность труда выше нормы, снижение сроков производства работ, выполнение работы бригадой сокращенного состава, высокое качество продукции, выполнение срочных и ответственных заданий.
Надбавки служат компенсацией или стимулом и связаны с относительно постоянно действующими факторами труда и производства, относительно устойчивыми характеристиками профессионально-квалификационного уровня и деловых качеств работников. Надбавки связаны с работой в ночное время, праздничные дни, сверхурочной работой, выполнением работ различной сложности (квалификации); наличием учёной степени и звания, присвоением класса (категории) и т.п.
Доплаты призваны компенсировать воздействие на работника переменных факторов организации труда и производства, а также стимулировать сверхнормативные достижения в труде. Доплаты устанавливаются за отклонения от нормальных условий труда; совмещение профессий; выполнение обязанностей временно отсутствующего работника; допуск к государственной тайне и т.п.
Гарантированный (минимальный) уровень надбавок целесообразно устанавливать законодательно, а доплаты регламентировать коллективным договором.
Отличие нормативных надбавок и доплат от поощрительных заключается в том, что нормативные начисляются в одинаковом размере за каждый месяц в течение установленного периода, а поощрительные могут быть нерегулярными, их величина существенно меняется в зависимости от достигаемых результатов.
По действующим нормам к тарифным ставкам и окладам устанавливаются следующие надбавки и доплаты за:
тяжёлые и вредные условия труда – до 12 %;
особо тяжёлые и особо вредные условия труда – до 24 %;
профессиональное мастерство: для рабочих III разряда – до 12 %, рабочих IV разряда – до 16 %, рабочих V разряда – до 20 %, рабочих VI разряда – до 24 %;
подвижной характер работ – от 30 до 40%;
разъездной характер работ:
до 20%, если в нерабочее время проезд от места нахождения организации или от сборного пункта до места работы и обратно занимает не менее трёх часов;
до 15%, если время проезда составляет не менее двух часов;
выполнение работ вахтовым методом – 75%;
работу в многосменном режиме в:
вечернее время (с 1800 до 2400) – 20%,
ночное время (с 0000 до 600) – 40% (ст. 96 ТК РФ);
расширение зоны обслуживания, совмещение профессий – 30%;
работу в выходные и праздничные дни – в двойном размере (ст. 112 ТК РФ);
сверхурочную работу (за первые два часа – не менее чем в полуторном размере, за последующие – не менее чем в двойном), при выполнении которой необходимо учитывать то, что её продолжительность не должна превышать для каждого работника четырёх часов в течение двух дней подряд и 120 часов в год; по желанию работника сверхурочная работа вместо оплаты может быть компенсирована предоставлением времени дополнительного отдыха (ст. 152 ТК РФ);
классность:
водителям второго класса – 10% от установленной тарифной ставки;
водителям первого класса – 25% от установленной тарифной ставки;
водителям автобусов – за работу по графику с разделением смены на части (с перерывом в работе свыше двух часов) – до 30% от установленной тарифной ставки, оклада или сдельного заработка;
водителям легковых автомобилей за ненормированный рабочий день – до 25% от месячной тарифной ставки;
простои не по вине рабочих – 2/3 от тарифной ставки или оклада;
полный брак не по вине рабочего – 2/3 от тарифной ставки или оклада;
высокие достижения в труде или выполнение особо важной работы – руководящим работникам, ИТР и служащим (не выше 50% от должностного оклада);
руководство бригадой – бригадирам из числа рабочих, не освобождённых от основной работы: при численности бригады до 10-ти человек – в размере 10% от тарифной ставки, от 10 до 25 человек – 15 %, более 25 человек – до 25 %.
Премиальная зарплата (премии и вознаграждения) выплачивается по итогам работы за год и результатам деятельности организации.
Средний дневной заработок для оплаты работнику очередного отпуска (ст. 136 ТК) и выплаты компенсации за неиспользованный отпуск исчисляется за последние 12 календарных месяцев делением суммы начисленной зарплаты на 12 и 29,4 (среднемесячное число календарных дней). Эта норма действует с 6.10.2006 г. в связи с принятием Федерального закона от 30.06.06.г. № 90-ФЗ. Для расчёта отпускных этот среднедневной заработок умножают на число дней отпуска.
Если сотрудник отработал расчётный период не полностью, то сначала среднемесячное число календарных дней (29,4) умножают на количество полностью отработанных месяцев. К этому результату прибавляют количество календарных дней в тех месяцах, которые отработаны не полностью. Чтобы рассчитать это количество дней, необходимо число фактически отработанных дней по календарю пятидневной недели умножить на коэффициент 1,4.
Средний дневной заработок для других выплат (кроме оплаты очередного отпуска) исчисляется за последние двенадцать календарных месяцев, предшествующих событию, с которым связана соответствующая выплата, путём деления суммы начисленной заработной платы на 12 (ст.ст. 157, 167 ТК).
В сумму начисленной зарплаты включаются следующие виды премий:
ежемесячные (не более одной выплаты за одни и те же показатели);
за период работы, превышающий 1 месяц (не более одной выплаты за одни и те же показатели в размере месячной части за каждый месяц расчётного периода);
единовременные (по итогам работы за год);
иные по итогам работы за год, начисленные за предшествующий календарный год (в размере 1/12 суммы премии за каждый месяц расчётного периода).
При временной нетрудоспособности работодатель выплачивает работнику пособие (ст. 183 ТК РФ). Основанием для этого является больничный лист. В соответствии с Федеральным законом (№ 180-ФЗ от 22.12.05) с 1.01.2006 г. применяется новый порядок расчёта этого пособия.
За первые два дня пособие выплачивается работнику за счёт средств работодателя, а начиная с третьего дня – за счёт средств ФСС в установленном порядке.
Максимальный размер пособия за полный календарный месяц не может превышать 15000 руб.; размер пособия (ст. 2 Федерального закона № 180-ФЗ) исчисляется из средней зарплаты застрахованного лица за последние 12 календарных месяцев, предшествующих месяцу наступления временной нетрудоспособности. Далее необходимо определить непрерывный трудовой стаж сотрудника (с момента устройства на работу до начала болезни):
при стаже менее 5 лет пособие составляет 60% заработка;
от 5 до 8 лет – 80%;
более 8 лет – 100%.
Затем рассчитывается максимальный размер дневного пособия путём деления максимальной суммы пособия (15000 руб.) на число рабочих дней в месяце, в котором наступила нетрудоспособность. Полученное значение сравнивают с фактическим среднедневным заработком (исчисленным перед этим) и выбирают меньшую сумму. Далее умножают меньшее значение дневного пособия на количество оплачиваемых рабочих дней, которые работник проболел. С сумм, начисленных по больничным листам, удерживается налог на доходы физических лиц в установленном порядке. Если работник заболел в одном месяце, а выздоровел в другом, то пособие рассчитывается отдельно за каждый месяц.
Полный перечень удержаний из зарплаты установлен ст. 137 ТК РФ. Ст. 138 размер удержаний ограничен: общий размер всех удержаний не может превышать 20%, а в случаях, предусмотренных федеральными законами, 50% зарплаты; при удержании по нескольким исполнительным листам за работником сохраняется 50% зарплаты; в некоторых случаях размер удержаний не может превышать 70%.
Из начисленной зарплаты производятся следующие удержания:
подоходный налог на доходы физических лиц (13 % от ФОТ, ст. 224 НК РФ);
профсоюзные взносы (1%);
по исполнительным документам в пользу других лиц;
возмещение причинённого материального ущерба;
за товары, купленные в кредит; суммы, выплаченные за неотработанные дни использованного отпуска (при увольнении);
за допущенный брак и др.
Исчисление и удержание налогов осуществляется в соответствии с действующим законодательством и с учётом предоставленных льгот.
Доход, полученный работником организации, может быть уменьшен на сумму налоговых вычетов (ст. 210 НК РФ).
Налоговый кодекс выделяет четыре вида налоговых вычетов: стандартные, социальные, имущественные и профессиональные.
Стандартные вычеты приведёны в ст. 218 НК РФ. Их размер составляет:
3000 руб. (подпункт 1, п.1, ст. 218 НК РФ);
500 руб. (подпункт 2, п.1, ст. 218 НК РФ);
400 руб. (подпункт 3, п.1, ст. 218 НК РФ). Вычет предоставляется налогоплательщикам, не имеющим права на вычеты в 3000 руб. и 500 руб., за каждый месяц налогового периода и действует до месяца, в котором доход налогоплательщика, исчисленный нарастающим итогом с начала года, превысит 20000 руб.;
600 руб. (подпункт 1, п.1, ст. 218 НК РФ). Вычет распространяется на каждого ребёнка, находящегося на обеспечении работника, и действует до месяца, в котором доход сотрудника, исчисленный нарастающим итогом с начала года, превысит 40000 руб. Этот вычет производится на каждого ребёнка в возрасте до 18 лет, а также на каждого учащегося очной формы обучения, студента, курсанта в возрасте до 24 лет с родителей, опекунов, приёмных родителей. Указанный вычет удваивается в тех случаях, когда ребёнок в возрасте до 18 лет является инвалидом, а также в случае, если инвалидом I или II группы является учащийся очной формы обучения, студент, курсант в возрасте до 24 лет. Вдовам, а также одиноким родителям, опекунам, попечителям, приёмным родителям вычет делается в двойном размере, т.е. в сумме 1200 рублей.
Таким образом, сотрудник пользуется двумя вычетами, а именно: на него самого предоставляется один из трёх вычетов (3000, 500 или 400 руб.) в соответствии с представленными документами и на ребёнка (600 руб.). Если сотрудник имеет право на получение одновременно более одного вычета, ему предоставляется один из них, максимальный по размеру (подпункты 1-3, п.1, ст. 218 НК РФ).
Социальные налоговые вычеты (ст. 219 НК РФ) предоставляются на обучение, лечение и благотворительность.
Имущественные налоговые вычеты (ст. 220 НК РФ) получают при продаже имущества или приобретении жилого дома (квартиры). Вычет предоставляется один раз в жизни, его размер равен сумме, полученной за налоговый период налогоплательщиком от продажи домов (квартир), дач, земельных участков, находящихся в собственности менее трёх лет стоимостью не выше 1млн. руб., а также с сумм, полученных от продажи иного имущества, стоимостью не более 125 тыс. руб. С 1.01.2005г. этот вычет могут предоставлять сотруднику по месту работы.
Профессиональные налоговые вычеты (ст. 221 НК РФ) предоставляются физическим лицам, получающим доход от выполнения работ. Порядок исчисления и уплаты единого социального налога установлен гл. 24 НК РФ. Этим налогом облагается общая сумма дохода работника, начисленная в организации, уменьшенная на сумму тех доходов, которые данным налогом не облагаются.
Налоговые льготы установлены в ст. 239 НК РФ. Максимальная ставка установлена для налоговой базы до 280 тыс. руб., исчисленной нарастающим итогом с начала года, по каждому физическому лицу.
В ст. 241 НК РФ установлены ставки единого социального налога для различных групп налогоплательщиков. В зависимости от величины налоговой базы по каждому отдельному работнику предусмотрены различные виды ставок. Для дохода, рассчитанного нарастающим итогом и превышающего 280 и 600 тыс. руб., установлены регрессивные ставки.
Шкала расчёта единого социального налога представлена в табл. 5.
Таблица 5
| Налоговая база по физическому лицу нарастающим итогом с начала года | Федеральный бюджет | Фонд социального страхования РФ (ФСС) | Фонды обязательного медицинского страхования (ФОМС) | Итого | |
| федеральный | территориальный | ||||
| До 280000 руб. | 20 % | 2,9 % | 1,1 % | 2 % | 26 % |
| От 280000 руб. до 600000 руб. | 56000 руб. + 7,9% с суммы, превышающей 280000 руб. | 8120 руб. + 1% с суммы, превышающей 280000 руб. | 3080 руб. + 0,6% с суммы, превышающей 280000 руб. | 56000 руб. + 0,5% с суммы, превышающей 280000 руб. | 72800 руб. + 10 % с суммы, превышающей 280000 руб. |
| Свыше 600000 руб. | 81280 руб. + 2% с суммы, превышающей 600000 руб. | 11320 руб. | 5000 руб. | 7200 руб. | 1048000 руб. + 2% с суммы, превышающей 600000 руб. |
Единый социальный налог рассчитывается нарастающим итогом в течение года и уплачивается по его итогам, но при этом фирма должна уплачивать авансовые платежи до 15-го числа следующего месяца (ст. 243 НК РФ).
Суммы единого социального налога исчисляются и уплачиваются отдельно в федеральный бюджет и каждый фонд и определяются как соответствующие процентные доли налоговой базы. Величина авансовых платежей рассчитывается исходя из дохода, полученного каждым работником организации.
Страховые тарифы на обязательное пенсионное страхование установлены Федеральным законом от 15.12.2001 г. № 167-ФЗ (в ред. от 2.02.2006 г.) «Об обязательном пенсионном страховании в РФ», см. табл. 6.
Таблица 6
| Налоговая база для начисления страховых взносов на физическое лицо нарастающим итогом с начала года | Для лиц 1966 г. рождения и старше на финансирование страховой части трудовой пенсии | Для лиц 1967 г. рождения и моложе на финансирование | |
| страховой части трудовой пенсии | накопительной части трудовой пенсии | ||
| До 280000 руб. | 14 % | 10 % | 4 % |
| От 280000 руб. до 600000 руб. | 39200 руб. + 5,5 % с суммы, превышающей 280000 руб. | 28000 руб. + 3,9 % с суммы, превышающей 280000 руб. | 11200 руб. + 1,6% с суммы, превышающей 280000 руб. |
| Свыше 600000 руб. | 56800 руб. | 40480 руб. | 16320 руб. |
Объектами для исчисления взносов на обязательное пенсионное страхование являются те же выплаты, на которые начисляется единый социальный налог. Расчётный период (календарный год) состоит из отчётных периодов, которыми признаются первый квартал, полугодие, девять месяцев календарного года.
Авансовые платежи уплачиваются ежемесячно в срок, установленный для получения в банке средств на оплату труда за истекший месяц, но не позднее 15-го числа месяца, следующего за месяцем, за который начисляется авансовый платёж по страховым взносам.