Покажем, что аэродинамическое свойства твердого тела при его равномерном поступательном движении в сплошной среде могут быть охарактеризованы пятью безразмерными коэффициентами, называемыми аэродинамическими.
Ранее было указано, что на каждую элементарную площадку
на поверхности обтекаемого тела действует некоторая условно сосредоточенная сила
. Поскольку сила
, действует на некоторую элементарную поверхность, она называется также поверхностной силой.
Рассмотрим следующую задачу. Пусть при некоторых углах атаки и скольжения, а также заданных параметрах набегающего потока (скорость
, статическое давление
, плотность
и температура
) известно распределение по поверхности обтекаемого тела давления
и касательного напряжения
. Требуется определить суммарные значения аэродинамических сил и моментов, действующих на тело.
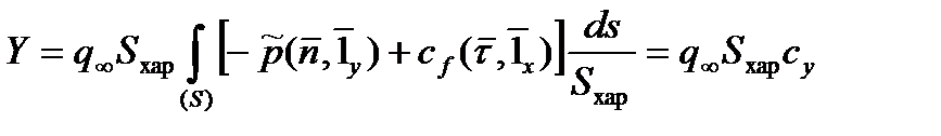
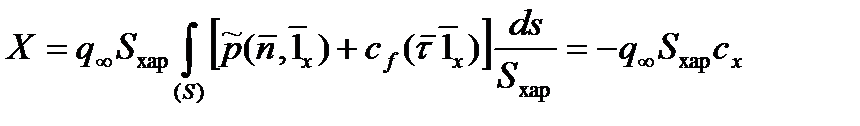
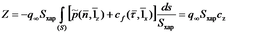
На выделенную площадку
действуют нормальная сила величиной
и касательная сила величиной
. Однако можно показать, что воздействие жидкости на тело эквивалентно суммарному воздействию всех сил от избыточного давления
(это давление
называется аэродинамическим) и сил касательных напряжений
, распределенных по поверхности тела. Поэтому, проектируя векторы избыточного давления
и касательного напряжения
на оси координат скоростной системы, получим [10]:
|
|
|
,
,
, (2.60)
где
- характерная площадь тела,
,
,
, безразмерные величины
,
и
называются соответственно аэродинамическими коэффициентом силы лобового сопротивления, коэффициентом подъемной силы и коэффициентом боковой силы.
В качестве характерной площади тела могут быть выбраны, например, площадь миделева сечения тела (сечения, перпендикулярного продольной оси тела и максимальной площади) или величина
, где
- объем тела.
Аналогично получаются выражения для моментов через соответствующие безразмерные коэффициенты. А именно, для момента тангажа
, момента рыскания
и момента крена
справедливы следующие интегральные представления:
,
,
,
,
,
, (2.61)
где
- некоторый характерный геометрический размер, например, максимальная длина тела; выражения
,
и т.д. - скалярные произведения соответствующих единичных векторов – имеют смысл направляющих косинусов между соответствующими направлениями.
В связанной системе координат рассматривают аэродинамические коэффициенты продольной, нормальной и поперечной сил (соответственно,
,
и
) а также моменты крена, рыскания и тангажа в связанной системе координат (
). При помощи этих коэффициентов силы и моменты, действующие в этой системе, можно представить в следующем виде:
,
,
,
,
,
. (2.62)
Для перехода от
,
,
,
,
,
к
,
,
,
и
используются формулы связи, аналогичные выражениям (2.58) и (2.59).
|
|
|






