Случай ускоренного движения дирижабля встречается при анализе его движения на этапах торможения и разгона. Кроме того, тело приобретает дополнительное ускорение также под воздействием воздушных порывов. Особенность дирижаблей состоит в том, что в этом случае большую роль играют инерционные свойства окружающей среды, тогда как при рассмотрении других летательных аппаратов, например, самолетов, ими обычно можно пренебречь [11,12].
При малых скоростях движения в нижних слоях атмосферы воздушную среду можно считать несжимаемой идеальной жидкостью. Напомним, что идеальность означает отсутствие трения между слоями жидкости а также отсутствие касательных напряжений на поверхности движущегося в такой жидкости твердого тела.
Итак, рассмотрим общий случай неравномерного и непоступательного движения твердого тела сквозь несжимаемую идеальную жидкость, предполагая, что центр тяжести тела движется с данным ускорением, а само тело заданным образом вращается вокруг мгновенной оси, проходящей через центр тяжести.
|
|
|
Будем использовать две системы координат: неподвижную, инерциальную
, и движущуюся вместе с телом -
, начало которой совмещено с центром масс тела.
Считая движение жидкости вокруг тела безвихревым, используя условия несжимаемости жидкости и непротекания поверхности, можно получить [9], что потенциал скоростей возмущения жидкости удовлетворяет уравнению Лапласа
и представляет собой линейную комбинацию
(2.63)
элементарных потенциалов
, смысл которых следующий. Функции
в каждый данный момент представляют потенциалы скоростей того возмущенного движения жидкости, которое возникает при поступательном движении данного тела с единичной скоростью, параллельной, соответственно, осям
,
и
; функции
аналогично представляют потенциалы возмущений от чисто вращательных движений тела с единичными угловыми скоростями вокруг осей
,
и
. Функции
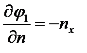
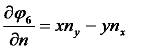
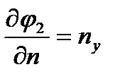
предполагаются гармоническими, т.е. удовлетворяющими уравнению Лапласа, стремящимися к нулю при удалении от тела и удовлетворяющими в каждый момент времени следующим граничным условиям на его поверхности:
,
,
,
,
,
.(2.64)
Каждая из этих функций по отдельности может быть найдена известными методами ([9]). Будем вычислять частичные потенциалы
в связанной системе
. Тогда, в силу независимости проекций нормали в каждой точке поверхности тела от времени, потенциалы
также не зависят от
.
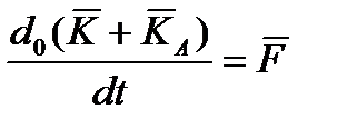
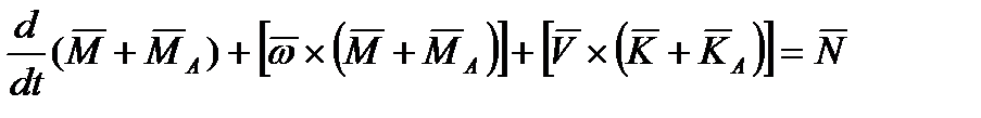
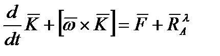
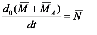
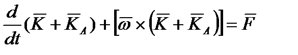
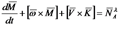
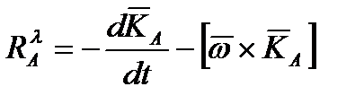
Можно показать, что уравнения динамики твердого тела, движущегося в жидкости, обладающей указанными свойствами (идеальной и несжимаемой), в инерциальной системе
имеют вид:
,
, (2.65)
где индекс “0” при дифференциале означает, что рассматривается производная данной величины в инерциальной системе координат (так как приращения одного и того же вектора в инерциальной и неинерциальной системах отсчета в общем случае различны);
и
- собственные векторы количества движения и момента количества движения тела в пространстве без жидкости под действием векторов внешних силы и момента сил
,
, в которые не входят силы и моменты реакции жидкости;
и
- так называемые “присоединенные” количество движения и момент количества движения, обусловленные влиянием сплошной среды, в которой движется тело. При этом векторы
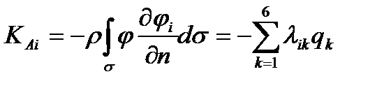
и
выражаются в виде следующих интегралов по поверхности тела
от функций, зависящих от частичных потенциалов:
|
|
|
,
, (2.66)
,
,
, (2.67)
где
,
,
,
,
,
,
,
,
,
,
,
;
- плотность среды.
Являясь коэффициентами в выражении “присоединенных” количества и момента количества движения через обобщенные скорости
, величины
играют роль инерционных коэффициентов, “присоединяющихся” к инерционным коэффициентам, входящим в аналогичные выражения количества движения и момента количества движения самого твердого тела.
Поэтому величины
называются присоединенными массами.
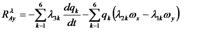
В неинерциальной системе отсчета
уравнения динамики твердого тела, движущегося в несжимаемой идеальной жидкости, согласно (2.10) и (2.15)-(2.18) имеют вид [4]:
,
.
Эти равенства перепишем в виде:
,
, (2.68)
где
,
.
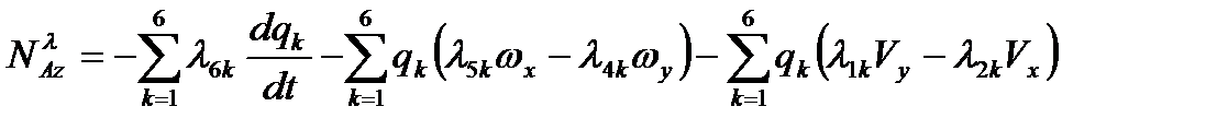
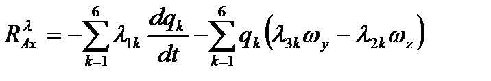
Использование равенства (2.68) на основании (2.66) позволяет получить формулы для проекций аэродинамических силы
и момента
за счет инертных свойств среды в связанной системе координат:
,
,
,
,
,
. (2.69)
Проекции (2.69) входят в правые части равенств (2.31)-(2.36).
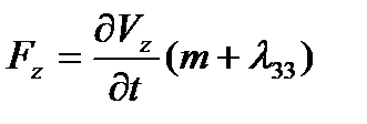
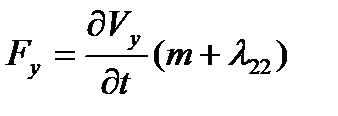
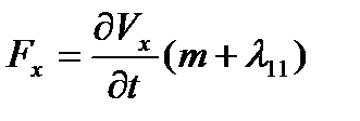
В качестве примера рассмотрим влияние сплошной среды на тело вращения, движущееся с ускорением.
В первом приближении считаем, что тело движется так, что всеми присоединенными массами кроме
,
,
,
и
можно пренебречь.
Тогда уравнения ускоренного движения тела вдоль осей
,
и
в некоторой инерциальной системе координат имеют вид [12]:
,
,
,
где
,
,
проекции силы, которую необходимо приложить к телу, чтобы оно получило ускорение с компонентами
,
,
в данной сплошной среде;
,
,
определяются по формуле (2.67). Заметим, что в силу симметрии тела относительно оси
выполняется равенство
.
На практике обычно пользуются так называемыми коэффициентами присоединенных масс
,
,
, которые следующим образом связаны с
,
и
:
,
, (
- объем тела). (2.70)
Потенциалы
,
, фигурирующие в формуле (2.66), и которые необходимо знать для последующего определения
,
,
, находятся по потенциалам продольного и поперечного обтеканий тела вращения за вычетом соответствующих значений потенциалов невозмущенных потоков [9,12].
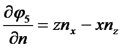
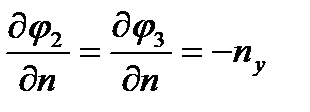
Используя условие непротекания для потенциалов
и
, можно показать, что
,
, где
и
- проекции единичной нормали к поверхности тела в данной ее точке. Поэтому
,
.
Аналогично рассматривается случай вращения корпуса дирижабля с угловым ускорением
вокруг оси
или
вокруг оси
, проходящих через центр объема
. В этом случае уравнение вращательного момента в инерциальной системе отсчета определяется второй формулой в (2.84), которая в случае каждого из указанных вращений в инерциальной системе координат примет вид:
,
,
где
,
, (2.71)
и
- соответствующие осевые моменты инерции однородного тела единичной плотности в связанной с дирижаблем системе, причем это тело совпадает по форме и размерам с корпусом дирижабля;
и
коэффициенты присоединенных моментов инерции по осям
и
соответственно.
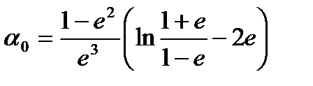
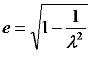
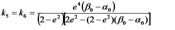
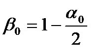
В приближенных аэродинамических расчетах корпус дирижабля заменяется эллипсоидом вращения с удлинением
, совпадающим с удлинением дирижабля
. В этом случае рассмотренные коэффициенты присоединенных масс рассчитываются по выражениям [9,12]:
,
,
, (2.72)
где
,
,
-эксцентриситет эллипсоида






