Если тензор входит в определение или доказываемую формулу линейно, то его можно для сокращения записи заменять одной диадой; далее будем этим иногда пользоваться.
1. Транспонирование и разложение тензора на симметричную и кососимметричную части. Пусть
. Тогда
, т. е. для транспонирования надо просто поменять векторы в диадах местами. Если
, то тензор называется симметричным, а если
, то кососимметричным (или антисимметричным). Любой тензор можно разложить на симметричную и кососимметричную части:
;
первое слагаемое – симметричная часть, второе – кососимметричная.
2. Тензорный базис, координаты тензора. Матричный образ тензора.
Будем (для простоты) использовать ортонормированный базис
которого вполне достаточно для изложения основных понятий в курсе теоретической механики, тем более что все формулы остаются справедливыми и в случае произвольного базиса.
Разложим все векторы в произвольном тензоре
по базису:
, подставим в
и «приведем подобные». Получим
, где набор из девяти диад
называется тензорным базисом, а величины
– координатами (компонентами) тензора. С тензором
в указанном базисе можно соотнести матрицу:
|
|
|
.
Подчеркнем, что матричный образ тензора изменяется при изменении системы координат, а, следовательно, и базиса, а сам тензор – нет; в этом и заключается, пожалуй, главное (но не единственное) преимущество тензорного «языка».
3. Скалярное и векторное умножение тензора на вектор и тензор. Единичный тензор.
Скалярное произведение – самая распространенная операция. Пусть
. По определению, умножение справа:
,
умножение слева:

В обоих случаях вектор скалярно умножается на ближайший в каждой диаде вектор, и в результате получается новый вектор; отсюда, по–видимому, следует принятое в математике определение тензора как «линейного оператора, преобразующего векторное пространство само в себя». Впрочем, и это крайне узкое определение имеет смысл.
Пусть тензор – одна диада
. Тогда при умножении его, например,
справа на любой вектор
получается
– вектор, коллинеарный вектору
; отсюда и его название «линейный тензор».
Если
– сумма двух диад, то при умножении его (например) справа на любой вектор
получится вектор
, лежащий в плоскости векторов
и
, отсюда и название «плоский тензор»: все векторы «ложатся» на одну плоскость.
Аналогично умножению на вектор вводится скалярное умножение тензора на тензор. Пусть
,
. Тогда
(
)
– новый тензор. Правило осталось тем же: скалярно перемножаются ближайшие векторы в диадах. Если тензоры записаны в координатном виде в ортонормированном базисе, то из произведения
следует правило умножения матриц, принимаемое в линейной алгебре «по определению»:
|
|
|
.
Единичным тензором называется тензор, в результате скалярного умножения на который слева или справа вектора (или тензора) получается тот же самый вектор (или тензор.) Разложение вектора
по базису имеет вид:

где, согласно определению,
единичный тензор. Если базис неортонормированный, то из разложения
следует:
.
Обратным к тензору
называется тензор
,являющийся решением уравнения
или, что равносильно,
.
Векторное умножение тензора на вектор достаточно показать на одной диаде
– получается новый тензор.
Упражнение 1.4. Показать, что
и, следовательно, для симметричного тензора
а для кососимметричного
.
Упражнение 1.5. Показать, что 
Упражнение 1.6. Доказать тождество:
, (1.7)
и, умножив его скалярно на
, получить формулу (1.6) двойного векторного произведения.
4.След, векторный инвариант, определитель тензора. Теорема о представлении кососимметричного тензора.
След (trace) тензора
– число, получаемое заменой диадного умножения скалярным:
. (1.8)
Если тензор записан в координатном виде
,
то
сумма элементов главной диагонали матрицы. В силу своего определения при любой замене базиса след тензора не изменяется (скалярные произведения от базиса не зависят). След тензора называют первым инвариантом тензора.
Векторным инвариантом тензора
называется вектор, полученный заменой диадного произведения векторным:
или
(1.9)
Векторный инвариант симметричного тензора, у которого
равен нулю, что же касается кососимметричного тензора, то можно доказать теорему:
Теорема 1.1. Произвольный кососимметричный тензор
может быть единственным образом представлен в виде
, (1.10)
где
называется сопутствующим вектором тензора
.
Доказательство. Поскольку
, то
и
можно записать в виде:
. Найдем вектор
и обозначим его
:
.
Поскольку координаты
содержат по одной компоненте тензора
, а не их комбинации, то сопутствующий вектор определяется через
однозначно.
Обратно, умножив
, убедимся, что
.
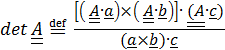
Определителем (детерминантом) тензора называется
число:
,
(1.11)
Очевидно, что определение (1.11) не зависит от системы координат, и, более того, можно доказать, что оно не зависит и от выбора тройки некомпланарных векторов
. Запишем тензор в виде
и обозначим для простоты
.Тогда 
,
и с помощью (1.5) выражение (1.11) принимает вид определителя матрицы координат тензора в ортонормированном базисе:
. (1.12)
Определитель тензора имеет простой геометрический смысл. Обозначим
,
,
. Тогда, вспомнив, что смешанное произведение – объем построенного на перемножаемых векторах параллелепипеда, получим
– отношение объема «деформированного и повернутого» параллелепипеда к объему исходного.






