Геометрическое распределение
Случайные числа получаются из случайных чисел ri, распределенных равномерно на [0,l], на основе соотношения

где [..] – целая часть числа.
Экспоненциальное распределение
Моделирующая формула имеет вид

Моделирующая формула имеет вид

Распределение Парето
Моделирующая формула имеет вид

Здесь Хо – параметр положения (левая граница области возможных значений).
Моделирующая формула имеет вид

Распределение Коши
Моделирующая формула имеет вид

Логистическое распределение
Моделирующая формула имеет вид

Моделирующая формула имеет вид:

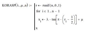
Здесь ri – значение случайной величины, равномерно распределенной на интервале [0,1]. Эти значения в MathCAD можно получить с помощью встроенной функции runif.
Все греческие буквы – параметры соответствующих распределений.
Пример программной реализаций
закона распределения Коши в среде MATHCAD
Процедура формирования массива случайных величин x, распределённых по закону Коши в MathCAD.
|
|
|

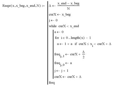
Процедура вычисления количества случайных величин из заданного массива х, попадающих на каждый из подинтервалов длиной
D = 
из интервала
[
]
может выглядеть так:

Обращение к этим процедурам (где n – количество моделируемых случайных величин):
λ:=1 μ:=2 n:=5000
X:=KORASP(λ,μ,n) S:=Raspr(X,0,6,50)
Обращение к встроенной в MathCAD процедуре rcauchy формирования массива случайных величин, распределённых по закону Коши:
X1:=rcauchy(n,μ,λ) S1:=Raspr(X1,0,6,50)
Графическое представление результатов для написанной и встроенной процедур в виде гистограммы и полигона частот:

Частость – отношение частоты к объему совокупности.
Процедура вычисления массива накопленных частостей:

Вычисление значений функции распределения:

Построение графика функции распределения:

Генерация двух векторов XX и YY, компоненты которых есть значения случайной величины с распределением по закону Коши:
λ:=1 μ:=2 n:=100 XX:=KORASP(λ,μ,n) YY:=KORASP(λ,μ,n)
Отображение точек с координатами (XXi, YYi) на координатной плоскости:

Отображение этих же точек с координатами (XXi, YYi), попадающих в прямоугольник с координатами левого нижнего угла
(-2;-2) и правого верхнего угла (6;6), на координатной плоскости:

Задание по курсовой работе
Наземное устройство наблюдения за объектом в дневное время суток передаёт порциями информацию пролетающему над ним спутнику. Спутник пролетает над объектом N раз в дневное время суток. За каждый пролёт передаётся одна порция информации.
В передающем устройстве в течение одного сеанса связи может возникнуть несущественная неисправность с вероятностью a. При этом передатчик будет продолжать функционировать. Однако, в этой ситуации при следующим сеансе с вероятность b может возникнуть критическая неисправность, после которой передатчик не сможет функционировать. При этом ремонт передатчика займёт столько времени, что все сеансы связи до конца дня, включая текущий, будут отменены. Если же выполнять ремонт передатчика после завершения сеанса, в ходе которого возникла несущественная неисправность, то будет пропущен только следующий сеанс.
|
|
|
Возникает вопрос: какая из двух стратегий эксплуатации передатчика предпочтительней в этом смысле, что за M дней эксплуатации при N планируемых сеансах связи в день, количество фактически завершённых сеансов будет наибольшим?
Рассмотрим две стратегии эксплуатации передающего устройства. Первая стратегия (назовем её «α») заключается в том, что ремонт производится после несущественной поломки, а вторая стратегия (назовём её «β») заключается в том, что ремонт производится только после критической поломки. Поскольку из двух стратегий нужно выбрать наилучшую, то они называются конкурирующими.
В курсовой работе требуется с использованием среды MathCAD 2000 или MathCAD 2001 (но не более свежие версии!) составить программу, позволяющую при заданных законах распределения случайной величины, описывающих ситуацию возникновения несущественной и критической неисправностей в передатчике, получить среднее число сеансов связи за М дней (при N планируемых сеансах в день) при стратегиях «α» и «β», и выбрать наилучшую стратегию.
Схема алгоритма, реализующая эти стратегии, практически такая же, как в рассмотренной задаче об эксплуатации автобуса.
Очевидно, что эту задачу можно сформулировать и в более общем виде, заменив условие вида «с вероятностью с» на условие вида «значение случайной величины, с заданным законам распределения, попало в заданный интервал».
При создании программной реализации границы интервалов, соответствующих событиям «возникла несущественная неисправность» и «возникла критическая неисправность», задайте в программе самостоятельно, в соответствии с параметрами закона распределения из задания по варианту.
Возможный порядок выполнения работы в соответствии с заданием варианта.
1. Создать и протестировать часть программы, реализующую получение случайной величины с заданным законом распределения в среде MathCAD (согласно варианту) так же, как это сделано в рассмотренном выше примерео распределении Коши.
2. Модифицировать схему алгоритма, представленную на рис. 2 применительно к своей задаче.
3. Реализовать модифицированный алгоритм в среде MathCAD.
4. Выполнить вычисления, и на их основе рекомендовать рациональную стратегию.
5. Написать отчёт по курсовой работе.
Варианты заданий
| № | Входные параметры | Закон распределения |
| Геометрическое распределение | |
| Нормальное распределение | |
| Экспоненциальное распределение | |
| Распределение Вейбулла | |
| Распределение Парето | |
| Распределение Эрланга | |
| Распределение Коши | |
| Логистическое распределение | |
| Экспоненциальное распределение | |
| Геометрическое распределение | |
| Логистическое распределение | |
| Распределение Вейбулла | |
| Распределение Коши | |
| № | Входные параметры | Закон распределения |
| Нормальное распределение | |
| Распределение Парето | |
| Геометрическое распределение | |
| Распределение Эрланга | |
| Распределение Вейбулла | |
| Распределение Коши | |
| Распределение Эрланга | |
| Логистическое распределение | |
| Экспоненциальное распределение | |
| Нормальное распределение | |
| Распределение Парето | |
| Распределение Эрланга | |
| Распределение Коши | |
| Распределение Эрланга | |
| Геометрическое распределение | |
| Распределение Вейбулла | |
| Нормальное распределение |
Указания по оформлению работы
|
|
|
В отчёте по курсовой работе должны присутствовать следующие разделы:
1. Титульный лист.
2. Лист с заданием (Приложение).
3. Оглавление с указанием страниц.
4. Введение.
5. Формулировка задачи в соответствии своему варианту.
6. Описание выбранного закона распределения.
7. Программная реализация в MathCAD заданного закона распределения в соответствии со своим вариантом (оформление должно соответствовать рассмотренному выше примеру для закона распределения Коши).
8. Реализация в среде MathCAD алгоритма конкурирующих стратегий. Результаты расчета.
9. Заключение.
10. Литература.
11. Приложения.
Отчет оформляется в редакторе Word 2007, страницы нумеруются справа вверху. Содержание включает: введение; наименование всех разделов, подразделов, пунктов (если они имеют наименования) основной части; заключение; список использованных источников; приложения. В содержании указываются номера страниц, с которых начинаются перечисленные элементы содержания. Содержание включают в общее количество листов.
На компакт-диске, вложенном в подписанный конверт (Ф.И.О., номер группы, номер зачетки, номер варианта) прилагаются следующие файлы:
1. Файл отчета (Word 2007).
2. Презентация по выполненной работе (PowerPoint 2007).
3. Программная реализация для всех этапов проектирования (MathCAD 2000, MathCAD 2001, но не более свежие версии!).
Литература
1. Гмурман, В.Е. Теория вероятностей и математическая статистика: учебное пособие / В.Е. Гмурман. – Минск: Высш. шк., 1998. – 479 с.
2. Сигорский, В.П. Математический аппарат инженера / В.П. Сигорский. – Киев: Технiка, 1975. – 768 с.
3. Математика для экономистов на базе MathCAD / А.А. Черняк [и др.]. – СПб.: БХВ-Петербург, 2003. – 496 с.
Приложение
Пример листа с заданием
(Лицевая сторона листа)

(Обратная сторона листа)

Оглавление
Пример конкурирующих стратегий.............................................. 3
Построение алгоритмической модели конкурирующих стратегий 4
Программная реализация в среде MATHCAD
|
|
|
алгоритмической модели конкурирующих стратегий................. 7
Полученные результаты тестирования......................................... 8
Различные законы распределения случайных величин................ 8
Пример программной реализаций закона распределения Коши
в среде MATHCAD....................................................................... 10
Задание по курсовой работе........................................................ 14
Варианты заданий........................................................................ 15
Указания по оформлению работы............................................... 16
Литература................................................................................... 17
Приложение.................................................................................. 18
Учебное издание
МОДЕЛИРОВАНИЕ
КОНКУРИРУЮЩИХ СТРАТЕГИЙ
к курсовым и лабораторным работам
для студентов специальностей
1-53 01 02 «Автоматизированные системы обработки
информации», 1-40 01 01 «Программное обеспечение
информационных технологий»,
1-40 01 02 «Информационные системы и технологии»
Составители:
НАПРАСНИКОВ Владимир Владимирович
НАПРАСНИКОВА Юлиана Владимировна
СОЛОВЬЕВ Аркадий Николаевич и др.
Технический редактор О.В. Песенько
Подписано в печать 14.10.2011.
Формат 60´84 1/16. Бумага офсетная.
Отпечатано на ризографе. Гарнитура Таймс.
Усл. печ. л. 1,22. Уч.-изд. л. 0,95. Тираж 100. Заказ 384.
Издатель и полиграфическое исполнение:
Белорусский национальный технический университет.
ЛИ № 02330/0494349 от 16.03.2009.
проспект Независимости, 65. 220013, Минск.