Таблица производных
Производная сложной функции
Правило вычисления производных
Если функции f и g имеют конечные производные при
, то:
1) 
- постоянные;
2) 
;
3) 
.
Если функции 

имеют конечные производные
и
, то 
. Значком внизу обозначена переменная, по которой вычисляется производная.
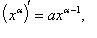
Если x - независимая переменная, то справедливы формулы:
1) 
;
2) (ax)' = ax ln a, a > 0, (ex)' = ex;
3) (sin x)' = cos x;
4) (cos x)' = - sin x;
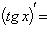
5) 
;
6) 
;
7) 
;
8) 
;
9) 
;
10) 
;
11) 

;
12) (sh x)' = ch x;
13) (ch x)' = sh x;
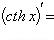
14) 
;
15) 
;
16) 
;
17) 
;
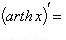
18) 
;
19) 
.
Если функции
и
имеют конечные производные, то



