Экономическое содержание, виды и методы определения прибыли предприятия.
ТЕМА 10. РЕЗУЛЬТАТЫ ХОЗЯЙСТВЕННОЙ ДЕЯТЕЛЬНОСТИ ПРЕДПРИЯТИЯ
1. Экономическое содержание, виды и методы определения прибыли предприятия.
3. Экономическая сущность и виды рентабельности.
Прибыль является одним из важнейших экономических показателей успешной деятельности любого хозяйствующего субъекта.
Прибыль — конечный финансовый результат предпринимательской деятельности. В условиях рыночных отношений это превращенная форма прибавочной стоимости.
По своей экономической природе прибыль выступает как часть стоимости (цены) прибавочного продукта, созданного для общества трудом работников материального производства. Источником образования прибавочного продукта является прибавочный труд.
В настоящее время изучение содержания прибыли продолжается и ведется на микро- и макроэкономическом уровне.
На микроэкономическом уровне рассматривается вопрос формирования прибыли в рамках предприятия, а на макроэкономическом — выявляется роль прибыли в доходе страны.
Таким образом, с одной стороны прибыль можно рассматривать как экономическую категорию, выражающую определенные производственные экономические отношения, а с другой - как часть стоимости совокупного национального продукта (ВВП), стоимости и прибавочной стоимости (прибавочного продукта). В реальной экономической жизни прибыль может принимать форму денежных средств, материальных ценностей, фондов, ресурсов и выгод. Конкретные формы проявления прибыли тесно связаны с национальным регулированием экономики.
В российской и зарубежной практике прибыль определяется не всегда однозначно. Так, можно встретить следующие понятия прибыли:
— прибыль по разовой сделке — разница между продажной ценой реализуемых товаров (услуг) и затратами на их производство (приобретение);
— прибыль за определенный период производственной деятельности - как разница в величине чистых активов на конец и на начало периода;
— в экономической теории прибылью называется доход на капитал.
По мере развития экономической теории содержание понятия «прибыль» постоянно изменялось и усложнялось. Однако во всех экономических формациях прибыль воспринимается одной из основных экономических категорий товарного производства.
В науке до сих пор нет единого мнения, что относить к функциям прибыли. Как правило, выделяют две функции:
1) прибыль как мера эффективности общественного производства;
2) прибыль как стимул.
Функция прибыли как меры эффективности производства заключается в том, что прибыль является стандартом успешной работы предприятия.
Стимулирующая функция обусловлена тем, что прибыль не только позволяет получать личный доход участникам предпринимательской деятельности, связанный с выплатой дивидендов, но и создает возможности для наращивания капиталов, а, следовательно, повышает возможности предприятия в производственной, сбытовой, научно-технической, внешнеэкономической и др. деятельности. За счет прибыли осуществляются мероприятия по социальному развитию предприятия, в т. ч. увеличению фонда оплаты труда его работников.
Прибыль является не только источником обеспечения внутрихозяйственных потребностей предприятия, но приобретает все большее значение в формировании бюджетных ресурсов, внебюджетных и благотворительных фондов.
При формировании прибыли устанавливаются все стороны хозяйственной деятельности промышленного предприятия. В соответствии с российским законодательством, и, в частности, 25 главой Налогового кодекса РФ, прибылью признается доход, полученный организацией, уменьшенный на величину произведенных расходов.
При этом доходы предприятия (организации) в зависимости от их характера, условия получения и направлений деятельности подразделяются на:
а) доходы от обычных видов деятельности;
К доходам от обычных видов деятельности относятся:
— выручка от продажи продукции, товаров, услуг;
— доход от сдачи в аренду активов;
— доходы, полученные от долевого участия в деятельности других предприятий и др.
К внереализационным доходам относят:
— штрафы, пени, неустойки за нарушение условий договора;
— курсовые разницы;
— поступления в возмещение причиненных предприятию убытков;
— прочие внереализационные доходы.
К операционным доходам могут быть отнесены:
— прибыль, полученная в результате совместной деятельности;
— поступления от продажи основных средств и других активов;
— доходы от продажи прав на изобретения, промышленные образцы и других видов интеллектуальной собственности;
— прочие операционные доходы.
В составе доходов в особую группу выделяют чрезвычайные доходы, т. е. поступления, возникающие вследствие чрезвычайных обстоятельств хозяйственной деятельности (стихийного бедствия, пожара, аварии, национализации и т. п.). Эти доходы могут быть получены в форме страхового возмещения или стоимости материальных ценностей, остающихся от списания не пригодных к восстановлению и дальнейшему использованию активов и т. п.
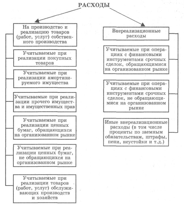
Прибыль предприятия зависит не только от доходных, но расходных статей. Так, в соответствии с действующим законодательством расходы также делятся на расходы по обычным видам деятельности и прочие расходы, в т. ч. операционные и внереализационные расходы.
Операционными расходами являются:
— расходы, связанные со списанием, пропажей и выбытием основных средств;
— проценты за пользование кредитными займами;
— расходы, связанные с оплатой услуг, оказываемых кредитными организациями;
— отчисления в резервы по сомнительным долгам;
— резервы, создаваемые в связи с признанием условных фактов хозяйственной деятельности и т. д.
К внереализационным расходам относят:
— штрафы, пени, уплаченные за нарушение условий договоров;
— отрицательные курсовые разницы;
— сумма уценки активов;
— отчисления на оплату спортивных мероприятий, отдыха, развлечений культурно-просветительского характера и т. д.
Определение конечных финансовых результатов непосредственно связано с определением выручки.
Выручку от продаж определяют, исходя из объема реализации продукции, товаров, работ, услуг и применяемых цен (тарифов) без налога на добавленную стоимость, акцизов и аналогичных платежей.
Прибыль является показателем, наиболее полно отражающим эффективность производства, качество произведенной продукции, уровень себестоимости. Поэтому важная задача каждого хозяйствующего субъекта — получить больше прибыли при наименьших затратах путем соблюдения строгого режима экономии в расходовании средств и наиболее эффективного их использования.
Прибыль как главный стимул предпринимательской деятельности обеспечивает потребности самого предприятия и государства в целом. Поэтому важно определить не только состав прибыли предприятия, но и раскрыть механизм ее формирования, определить долю каждого фактора ее роста или снижения.
Правильное понимание того, в чем состоит экономическое содержание прибыли, необходимо как для решения чисто теоретических оценок, так и для грамотного применения бухгалтерских стандартов учета доходов и расходов организации, исчисления налогооблагаемой прибыли, анализа финансовых показателей и т. п.
В современной литературе выделяют несколько видов прибыли: валовая (общая) прибыль, прибыль от продаж, чистая прибыль (экономическая), бухгалтерская прибыль, маржинальная прибыль, прибыль налогооблагаемая, прибыль от обычной деятельности.
Под валовой прибылью понимают выраженный в денежной форме чистый доход предпринимателя на вложенный капитал, представляющий собой разницу между совокупным доходом и совокупными затратами в процессе осуществления хозяйственной деятельности.
Валовая прибыль = выручка — себестоимость реализованной продукции.
Чистая прибыль (убыток) представляет собой конечный финансовый результат, выявленный за определенный период за вычетом причитающихся за счет прибыли налогов и иных обязательных платежей, включая санкции за несоблюдение правил налогообложения.
Для целей финансового анализа чистая прибыль (убыток) рассчитывается путем сложения финансового результата от обычных видов деятельности, а также прочих доходов и расходов.
П=Под+ЧД-ЧР, (34),
где Под — прибыль от обычной деятельности;
ЧД — чрезвычайные доходы;
ЧР — чрезвычайные расходы.
Бухгалтерская прибыль (убыток) есть конечный финансовый результат, выявленный в отчетном периоде на основании бухгалтерского учета всех хозяйственных операций организаций и оценки статей бухгалтерского баланса. Она определяется как сумма прибыли (убытка) до налогообложения и чрезвычайных доходов, уменьшенная на чрезвычайные расходы.
Маржинальная прибыль (доход) — это экономический показатель, отражающий превышение выручки от продаж над переменными затратами на производство продукции, которое позволяет возместить постоянные затраты и получить прибыль. Другими словами, прибыль от продажи продукции в сумме с постоянными затратами понимается как маржинальный доход предприятия.
Основную часть прибыли предприятия получают от реализации продукции, товаров, услуг, работ (прибыль от продаж).
Прибыль от продаж определяется путем вычитания из валовой прибыли коммерческих и управленческих расходов:
Пп = Пв - Кр - Ур, (35),
где Пв — валовая прибыль;
К — коммерческие расходы предприятия;
У — управленческие расходы предприятия.
Увеличение объема продаж рентабельной продукции приводит к увеличению прибыли и улучшению финансового состояния предприятия. Рост объема реализации убыточной продукции уменьшает сумму прибыли.
Общий объем прибыли предприятия представляет собой валовую прибыль.
Валовая прибыль является одной из разновидностей финансового результата.
Финансовый результат — конечный итог хозяйственной деятельности, который выражается в виде валовой прибыли или убытка от совершения различных хозяйственных операций.
То есть финансовым результатом может выступать не только прибыль, но и убыток, образованный, например, по причине чрезмерно высоких затрат на производство, срыва реализации продукции в связи с нарушением хозяйственных договоров и т. п. (рис.1).
В любом случае финансовый результат определяется как соотношение доходов и расходов предприятия. Состав доходов предприятия представлен на рис. 2.
На величину валовой прибыли оказывает влияние совокупность многих факторов как зависящих, так и не зависящих от предприятия.

Рис.1. Формирование финансовых результатов

Рис. 2. Состав доходов предприятия
Состав расходов предприятия представлен на рис. 3.

Рис. 3. Состав расходов предприятия
Важными факторами роста прибыли, зависящими от деятельности предприятия, являются рост объема производимой продукции в соответствии с договорными условиями, снижение ее себестоимости, повышение качества, улучшение ассортимента, повышение эффективности использования основного капитала, рост производительности труда.
К факторам, не зависящим от деятельности предприятий, относятся изменения государственной налоговой, структурной, инвестиционной и ценовой политики, влияние природных, географических и других условий.
Можно назвать основные факторы, воздействующие на прибыль от реализации и, следовательно, на прибыль отчетного периода.

В настоящее время хозяйствующие субъекты самостоятельно определяют направления использования прибыли, остающейся в их распоряжении, государство не имеет права вмешиваться в процесс ее использования.
Рыночные условия хозяйствования определяют приоритетные направления использования чистой прибыли. Развитие конкуренции вызывает необходимость совершенствования техники и технологии производства, решения социальных проблем трудового коллектива: удовлетворение потребительских и социальных нужд.
Прибыль, остающаяся в распоряжении предприятия, может служить не только базой финансирования производственного и социального развития, но и являться источником для уплаты различных штрафов и санкций, выплачиваемых предприятиями в случае нарушения действующего законодательства.
В условиях рыночных отношений у предприятий возникает необходимость резервировать часть средств в связи с проведением рисковых операций. Поэтому предприятия вправе создавать финансовый резерв, т. е. рисковый фонд.
По мере развития предприятия, роста его доходности часть чистой прибыли может быть направлена на расширение спонсорской деятельности, благотворительные нужды.
Таким образом, рост чистой прибыли, создающий условия хозяйственного развития предприятия, является важнейшим фактором укрепления предпринимательской деятельности.