В теории автоматического управления часто используют операторную форму записи дифференциальных уравнений. При этом вводится понятие дифференциального оператора p = d /dt,так что, dy / dt = py, а pn = dn / dtn. Это лишь другое обозначение операции дифференцирования. Обратная дифференцированию операция интегрирования записывается как 1/p.
В теории автоматического управления широко применяется операторный метод описания линейных систем автоматического управления, использующий интегральное преобразование Лапласа (L – преобразование), имеющее следующий вид:

Данное преобразование называется прямым односторонним преобразованием Лапласа, преобразует функцию времени х(t) – оригинал, в функцию комплексной переменной
X (р) - изображение. Переменная р представляет собой комплексное число:
р = (a + jb) (1.17.)
где a, b - вещественные (действительные) части числа, j – мнимая единица.
Существует также обратный процесс перехода от изображения к оригиналу, называемый обратным преобразованием Лапласа (L-1 – преобразование), имеющее следующий вид:
|
|
|

Существуют требования, являющиеся достаточными условиями, при которых возможно применение преобразования Лапласа:
- функция оригинала х(t) должна быть непрерывна и однозначна при всех t ≥ 0. Непрерывность может быть нарушена только в отдельных точках, которые являются точками разрыва непрерывности первого рода,
- функция оригинала х(t) = 0 для всех t < 0,
- функция оригинала х(t) должна иметь ограниченный порядок возрастания, т.е должны выполняться следующие условия: должны существовать постоянные a > 0, b > 0,
при которых х(t) < аеbt, при t > 0.
Для часто применяющихся функций и облегчения применения преобразования Лапласа существуют таблицы, пример приведен на рисунке 23.
| № п/п | Вид функции (оригинал) | Изображение функции по Лапласу |
| 1. | x(t) | X(p) |
| 2. | | |
| 3. | A x(t) | A X(p) |
| 4. | 1(t) | 1/p |
| 5. | d(t)=1’(t) | |
| 6. | di x(t)/dti, i=1…n | pi X(p) |
| 7. | | X(p)/p |
| 8. | x(t-t) | e-pt X(p) |
| 9. | e±at | 1/(p±a) |
| 10. | (1/l) e-atSinlt | 1/[(p+a)2+l2] |
| 11. | (1/a)(1-e-at) | 1/(p+a)p |
Рис.23. Таблица преобразования по Лапласу наиболее часто встречающихся функций
Использование преобразования Лапласа дает возможность перейти от производных и интегралов к более простому алгебраическому выражению - функции комплексного переменного р. Используя преобразование Лапласа для дифференциального уравнения системы (1.14.) при нулевых начальных условиях, мы получим операторное описание системы в виде алгебраического уравнения:

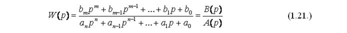
Представив отношение изображения выходного параметра системы ко входному, получим передаточную функцию системы, которая не зависит от характера входного воздействия, а характеризует только собственные свойства системы. Данная функция имеет вид:
|
|
|

и в развернутом виде представляется, как:

Следовательно, передаточной функцией называется отношение величины выходного параметра, к величине входного параметра, преобразованных по Лапласу, при нулевых начальных условиях.
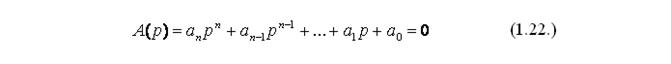
Приравняв полином знаменателя передаточной функции к нулю, получим из первоначального дифференциального уравнения характеристическое уравнение системы:

Решение однородного дифференциального уравнения определяется корнями характеристического уравнения. Значение переменной р, при котором передаточная функция W(p)= 0, называется нулем, а значение, при котором W(p) = ∞ называется полюсом передаточной функции. Из (1.21.) следует, что нулями являются корни полинома B(p), а полюсами – корни полинома А(p).
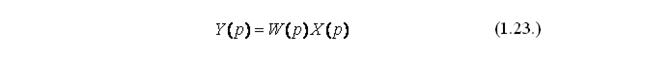
Из выражения (1.20.) можно получить зависимость изображения по Лапласу выходной величины от изображения входной величины, которая будет иметь вид:

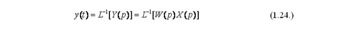
Первоначальное дифференциальное уравнение можно решить, применив к изображению выходной величины обратное преобразование Лапласа (1.18.), определив тем самым переходной процесс:

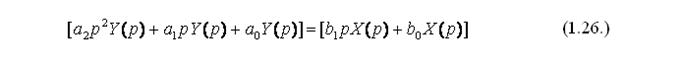
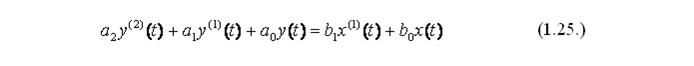
Применим к решению линейного дифференциального уравнения второго порядка, представленного ниже, преобразование Лапласа:
Для этого зададим начальные условия (значения y(1)(t) и y(t) в начальный момент времени t = 0) и изменение во времени x(t). Примем нулевые начальные условия: y(1)(0) = 0, y(0) = 0 и x(t) = 1 (t). С помощью таблицы (рисунок 23) преобразовав по Лапласу первоначальное дифференциальное уравнение, получаем: 
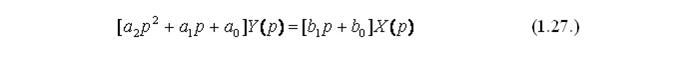
Вынесем за скобки Y (р) и X (р), и получим:

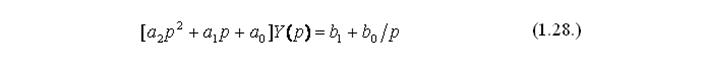
Используя таблицу (рисунок 23), находим X (p) = L [1 (t)] =1/ p и подставим данное значение в полученное уравнение, которое примет вид:

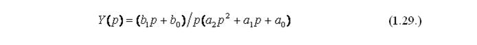
Решение уравнения относительно изображения выходной величины будет выглядеть таким образом:

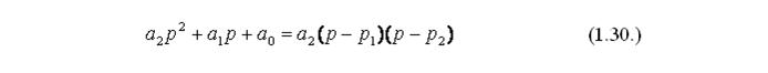
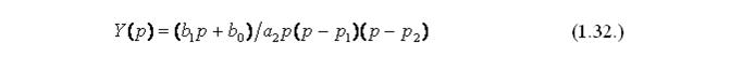
Для того, чтобы найти решение дифференциального уравнения, необходимо произвести операцию обратного преобразования Лапласа с изображением Y (р), поэтому для удобства пользования таблицей преобразования необходимо привести трехчлен, находящийся в знаменателе, к удобному виду. Для этого данный трехчлен необходимо разложить на множители:

в котором p 1 и p 2 — будут являться корнями уравнения

Получаем следующее выражение:

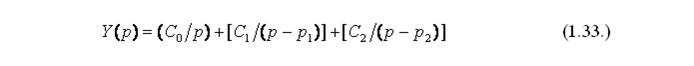
которое можно представить в виде суммы:

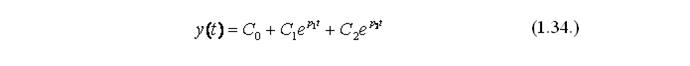
где С 0, С 1, С 2 - коэффициенты, которые можно найти, решив тождественное уравнение, полученное путем сравнения числителя выражения (1.28.) и выражения (1.27.), деленного на а2. Далее по таблице преобразования Лапласа (рисунок 23) найдем оригиналы для каждого слагаемого и получим следующее решение:

где С 0, С 1, С 2 – коэффициенты, выступающие в качестве постоянных интегрирования, которые могут быть найдены по формулам начальных условий.
Пример применения преобразования Лапласа
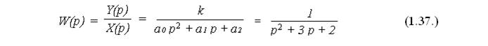
Пусть система описывается следующим уравнением:
а0 y ′′ + a1 y ′ + a2 y = k x (1.35.)
Необходимо найти передаточную функцию W(p) системы при
k = 1, а0 = 1, a1 = 3, a2 = 2.
Решение:
Преобразуем уравнение системы с помощью преобразования Лапласа.
Получим следующее выражение:
(a0 p2 + a1 p + a2)Y (p) = kX (p) (1.36.)
Подставив имеющиеся числовые значения и преобразовав предыдущее выражение, получим значение передаточной функции, равное:

Задание выполнено.