Нормальный закон распределения часто называют законом Гаусса. Этот закон играет важную роль и наиболее часто используется на практике по сравнению с другими законами распределения.
Основная особенность этого закона состоит в том, что он является предельным законом, к которому приближаются другие законы распределения. В теории надежности его используют для описания постепенных отказов, когда распределение времени безотказной работы в начале имеет низкую плотность, затем максимальную и далее плотность снижается.
Распределение всегда подчиняется нормальному закону, если на изменение случайной величины оказывают влияние многие, примерно равнозначные факторы.
Нормальный закон распределения описывается плотностью вероятности
(8)
где е = 2,71828 — основание натурального логарифма; π= 3,14159; т и σ - параметры распределения, определяемые по результатам испытаний.
Колоколообразная кривая плотности распределения приведена на рис. 2.

Рис. 2. Кривые плотности вероятности (а) и функции надежности (б) нормального распределения.
|
|
|
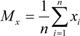
Параметр т = Мx представляет собой среднее значение случайной величины X, оцениваемое по формуле
(9)
параметр σ — среднее квадратическое отклонение случайной величины X, оцениваемое по формуле
(10)
Интегральная функция распределения имеет вид
(11)
вероятность отказа и вероятность безотказной работы соответственно Q (x) =F (x), Р (х)=1 -F (x).
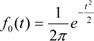
Вычисление интегралов заменяют использованием таблиц нормального распределения, при котором Мx = 0 и σ = 1. Для этого распределения функция плотности вероятности имеет одну переменную t и выражается зависимостью
(12)
Величина t является центрированной (так как Мt = 0) и нормированной (так как σ t = 1).
Функция распределения соответственно запишется в виде:
(13)
Из этого уравнения следует, что
или
.
При использовании табл. 1 приложения следует в формулу (13) вместо t подставить ее значение:

при этом t называют квантилью нормированного нормального распределения (обычно обозначают up).
Плотность распределения и вероятность отказа соответственно равны: f (x)=ƒ0(t)/σ; Q(x)=F0(t); тогда вероятность безотказной работы Р (х) = l - F 0(t), где f 0(t) и F 0(t), определяют по таблицам.
В табл. 1 приложения приведены значения Ф* (х) в зависимости от t = x =

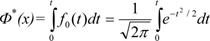
В работах по надежности часто вместо интегральной функции распределения F0 (t) используют функцию Лапласса:
(14)
Очевидно, что
(15)
Вероятности отказа и безотказной работы, выраженные через функцию Лапласса:
(16)
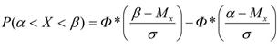
Вероятность попадания случайной величины Х в заданный интервал значений от α до β вычисляют по формуле:
(17)
Пример 3. Определить вероятность безотказной работы в течение t = 2·104 ч подшипника скольжения, если ресурс по износу подчиняется нормальному закону распределения с параметрами Mt = 4·104 ч, σ = 104 ч.
|
|
|
Р е ш е н и е. Находим квантиль

По табл. П.1 приложения определяем, что Р (t) =0,0228.
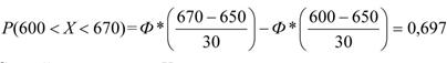
Пример 4. Пусть случайная величина Х представляет собой предел текучести стали. Опытные данные показывают, что предел текучести имеет нормальное распределение с параметрами M = 650 МПа, σ = 30 МПа. Найти вероятность того, что полученная плавка стали имеет предел текучести в интервале 600 — 670 МПа.
Р е ш е н и е. Для определения вероятности воспользуемся формулой (17)

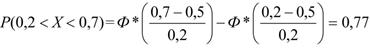
Пример 5. Случайная величина X распределена по нормальному закону и представляет собой ошибку измерения датчика давления. При измерении датчик имеет систематическую ошибку в сторону завышения на 0,5 МПа, среднее квадратическое отклонение ошибки измерения составляет 0,2 МПа.
Найти вероятность того, что отклонение измеряемого значения от истинного не превзойдет по абсолютной величине 0,7 МПа.
Р е ш е н и е. По формуле (17) с использованием табл.П.1 приложения определим

Ответ: P (X) = 0,77.