Диаграмма Парето – инструмент, позволяющий разделить факторы, влияющие на возникшую проблему, на важные и несущественные для распределения усилий по ее решению.
Сама диаграмма является разновидностью столбчатого графика с кумулятивной кривой, в которой факторы распределены в порядке уменьшения значимости (силы влияния на объект анализа).
В основе диаграммы Парето лежит принцип 80/20, согласно которому 20% причин приводят к 80% проблем, поэтому целью построения диаграммы является выявление этих причин для концентрации усилий по их устранению.
Принцип 80/20 основан на утверждении, что диспропорция является неотъемлемым свойством соотношения между причинами и следствием, вкладываемым усилиям и получаемым результатом. Сам дисбаланс не обязательно равен 80/20, он может составлять 70/30, 75/25, 95/5 и даже близок к 50/50 (хоть и очень редко), но диспропорция 80/20 встречается намного чаще других соотношений, поэтому она и положена в основу диаграммы Парето.
Методика построения:
1. Определите проблему для исследования, выполните сбор данных (влияющих факторов) для анализа. В случае использования диаграммы Исикавы определите и проставьте коэффициенты значимости (степень влияния на проблему) для каждого фактора.
Для сбора данных могут использоваться контрольные листки, журналы регистрации данных, диаграмма Исикавы.
Для построения диаграммы Парето рекомендуется представить данные в денежном выражении, иначе исследование может оказаться неэффективным.
2. Проведите разбиение выявленных факторов на 7-10 групп, при этом факторы, не вошедшие в основные группы, объединяются в группу «прочие». Это оправданно, если влияющих факторов очень много, к примеру, больше 18-20.
3. Распределите факторы в порядке убывания коэффициента значимости. Вычислите итоговую сумму значимости факторов путем арифметического сложения коэффициентов значимости всех рассматриваемых факторов.
4. В случае разбиения факторов на группы, определите коэффициенты значимости для каждой группы путем арифметического суммирования коэффициентов значимости факторов, входящих в группу.
Коэффициент значимости для группы «прочие» может оказаться больше, чем для некоторых основных групп, но он не должен быть слишком большим, т.к. в этом случае слишком много значимых факторов окажется вне наблюдения. Если такое произошло, необходимо пересмотреть принцип классификации по группам или увеличить количество групп для учета большего числа факторов.
5. Начертите горизонтальную ось. Проведите две вертикальные оси: на левой и правой границе горизонтальной оси.
6. Горизонтальную ось разделите на интервалы в соответствии с количеством контролируемых факторов (групп факторов).
7. Левую вертикальную ось разбейте на интервалы от 0 до числа, соответствующего итоговой сумме значимости факторов.
8. Правую вертикальную ось разбейте на интервалы от 0 до 100%. При этом отметка 100% должна лежать на такой же высоте, что и итоговая сумма значимости факторов.
9. Для каждого фактора (группы факторов) постройте столбик, высота которого равна коэффициенту значимости для этого фактора. При этом факторы (группы факторов) располагаются в порядке уменьшения их значимости, а группа «прочие» помещается последней, независимо от ее коэффициента значимости.
10. Постройте кумулятивную кривую. Для этого нанесите на диаграмму точки накопленных сумм для каждого интервала. Положение точки соответствует: по горизонтали – правой границе интервала, по вертикали – величине суммы коэффициентов значений факторов (групп факторов), лежащих левее рассматриваемой границы интервала. Соедините полученные точки отрезками прямых.
11. На уровне 80% итоговой суммы проведите горизонтальную линию от правой оси диаграммы до кумулятивной кривой. Из точки пересечения опустите перпендикуляр на горизонтальную ось. Этот перпендикуляр разделяет факторы (группы факторов) на значимые (располагаются слева) и незначительные (располагаются справа).
Рекомендуется использовать различные методы классификации факторов и составлять для них множество диаграмм Парето для выявления как можно меньшего количества первоочередных факторов.
12. Выпишите значимые факторы для принятия первоочередных мер.
Факторы, которые легко скорректировать рекомендуется устранять незамедлительно, даже, если они не вошли в список первоочередных для принятия мер.

Диапазон и масштаб для левой вертикальной оси выбирается исходя из удобства отображения и построения диаграммы. При этом 100% на правой оси будет соответствовать точке, в которой график кумулятивной суммы пересечется с правой осью, а высоту для деления шкалы 80% можно вычислить, умножив итоговую сумму на 0,8. Остальные отметки на правую ось наносить необязательно.
Перпендикуляр, разделяющий факторы на значимые и незначительные далеко не всегда проходит рядом с границей, разделяющей факторы. В связи с этим возникает вопрос: стоит ли включать фактор, в интервал которого попал перпендикуляр, в список первоочередных для принятия мер? Необходимо руководствоваться правилом – если перпендикуляр проходит по центру или правее центра интервала, то фактор необходимо включать в список первоочередных, если левее, можно не включать (а можно и включить, если вам хочется охватить для корректировки большее количество факторов).
Если факторы имеют одинаковый коэффициент значимости и один входит в 80%, а другой нет, то в каком порядке их располагать? (Естественно, что если все такие факторы входят в 80% или наоборот, ни один из них не входит, то разница в порядке расположения отсутствует). Самый надежный способ - провести дополнительные исследования, для выявления более значимого фактора. К сожалению это не всегда возможно, кроме того требует дополнительных затрат времени и сил. Если в качестве данных для построения диаграммы Парето используются результаты диаграммы Исикавы с коэффициентами значимости, определенными «групповым методом», можно немного увеличить индекс значимости для фактора, который вам «ближе» (т.е. в котором вы больше разбираетесь или на который вам легче воздействовать). Можно расположить факторы в порядке увеличения затрачиваемых усилий на их корректировку (раз факторы дадут равнозначный результат, то логичнее выбрать фактор, который легче скорректировать). Можно расположить факторы в любом другом порядке, главное, чтобы вы смогли убедить комиссию, перед которой вы будете защищать проект, в целесообразности выбранного размещения.
Метод стратификации. Стратификация (расслоение) – процесс сортировки (разделения) полученных данных на отдельные группы (страты) согласно некоторым критериям или факторам, результаты которого часто представлены в виде диаграмм или графиков.
В результате измерений всегда есть разброс параметров. Если осуществлять расслоение по факторам, порождающим этот разброс, можно выявить главную причину его появления, что позволит уменьшить ее воздействие или даже устранить.
Рассматривая каждый фактор, по которому проводится расслоение, можно обнаружить критерии второго порядка, влияющие на разброс параметров. На их основе также необходимо провести стратификацию. Затем каждый фактор второго порядка необходимо рассмотреть на возможность разбиения на критерии третьего порядка и т.д.
В качестве критерия, согласно которому проводится расслоение данных, может быть выбран любой параметр, определяющий особенности условий возникновения полученных данных. Если вы не можете выбрать критерий для стратификации, можно воспользоваться приемом «4М … 6М».
Прием 4М … 6М - определяет основные группы факторов, которые оказывают влияние практически на любой процесс:
1. Man (человек) – квалификация, стаж работы, возраст, пол и т.д.
2. Machine (машина, оборудование) – вид, марка, конструкция и т.д.
3. Material (материал) – сорт, партия, фирма-поставщик и т.д.
4. Method (метод, технология) – температурный режим, смена, цех и т.д.
5. Measurement (измерения, контроль) – тип измерительных приборов, метод измерения, класс точности прибора и т.д.
6. Media (окружающая среда) – температура, влажность воздуха, электрические и магнитные поля и т.д.
Стратификация - основа для других инструментов, таких как анализ Парето или диаграммы рассеивания. Такое сочетание инструментов делает их более мощными.
На рисунке приведен пример анализа источника возникновения дефектов. Все дефекты (100%) были классифицированы на четыре категории - по поставщикам, по операторам, по смене и по оборудованию. Из анализа представленных донных наглядно видно, что наибольший вклад в наличие дефектов вносит в данном случае «поставщик 1».

Рис. Стратификация данных (о качестве)
Пример – изготовление скоб для степлера.

В примере мы получили, что для выяснения причин образования полученной формы гистограммы необходимо провести стратификацию.
Проводим стратификацию по сменам, стажу работы персонала, фирмам поставляющим сырье, но форма гистограммы для каждого признака стратификации также получается без высокой центральной части. Следующим по порядку в качестве критерия стратификации рассматриваем оборудование. Для производства скоб используется 3 станка, для которых получены следующие данные:

Получаем следующие гистограммы станков:



Гистограммы наглядно показывают, что если настроить 2 и 3 станки таким образом, чтобы центр гистограммы совпадал с центром поля допуска, то можно получить приблизительный результат:


Т.е. с помощью стратификации удалось выяснить основную причину появления несоответствующих деталей – неправильная настройка оборудования, а с помощью анализа гистограмм определить возможность приведения процесса производства скоб в контролируемое состояние.
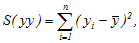
Диаграмма (график) разброса. Диаграмма рассеивания (разброса, поле корреляции) – инструмент позволяющий выявить вид и степень зависимости (корреляцию) между парами переменных x, y, которые могут представлять:
- характеристику качества и воздействующий на нее фактор;
- две характеристики качества;
- два фактора, воздействующие на одну и ту же характеристику качества.
Сама диаграмма представляет собой множество (совокупность) точек, координаты которых равны значениям параметров x и y.
Методика построения:
1. Сведите полученные значения пар данных x, y в таблицу для удобства дальнейшего использования.
Для получения достоверного результата рекомендуется использовать не менее 30 пар данных.
2. Постройте горизонтальную и вертикальную оси.
Для удобства прочтения графика рекомендуется выбрать масштаб и диапазон шкал для осей таким образом, чтобы размер рабочих частей осей для отображения полученных значений пар x, y примерно совпадал.
В случае если одна из переменных – фактор, а другая – характеристика качества, рекомендуется для фактора выбрать ось x, а для характеристики качества – ось y.
3. Нанесите точки полученных пар значений x, y на график.
Если в результате разных наблюдений получены одинаковые пары значений x, y, то отметьте эти точки каким-либо знаком или поставьте рядом вторую точку.
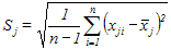
4. Вычислите коэффициент корреляции (он позволяет количественно определить силу линейной связи между x и y) по формуле:

где



n – количество пар данных,
– среднее арифметическое значение параметра x,
– среднее арифметическое значение параметра y.
Проверьте, что значение полученного коэффициента корреляции не выходит за пределы -1 < r < +1. Если при подсчете получено абсолютное значение r больше 1, значит, в вычислениях произошла ошибка и коэффициент корреляции необходимо пересчитать.
5. Определите вид связи между x и y, проведя анализ формы построенного графика и вычисленного коэффициента корреляции.
Типичные разновидности диаграммы рассеивания:
1. Ярко выраженная тенденция увеличения y с увеличением x соответствует сильной положительной корреляции.

2. Ярко выраженная тенденция уменьшения y с увеличением x соответствует сильной отрицательной корреляции.

3. Слабо выраженная тенденция увеличения y с увеличением x свидетельствует о слабой положительной корреляции.

4. Слабо выраженная тенденция уменьшения y с увеличением x свидетельствует о слабой отрицательной корреляции.

5. Наблюдаемая тенденция нелинейного изменения y с увеличением x соответствует криволинейной корреляции.

6. Отсутствие наблюдаемой на графике зависимости между x и y свидетельствует об отсутствии корреляции.

Тип связи между x и y по значению коэффициента корреляции оценивается следующим образом: Значение r > 0 соответствует положительной корреляции, r < 0 – отрицательной корреляции. Чем больше абсолютное значение r, тем сильнее корреляция, а |r| = 1 соответствует точной линейной зависимости между парами значений наблюдаемых переменных. Чем меньше абсолютное значение r, тем слабее корреляция, а |r| = 0 свидетельствует об отсутствии корреляции. Абсолютное значение r близкое к 0 может быть также получено при определенном виде криволинейной корреляции.
Для увеличения результативности следует строить и производить сравнение графиков рассеяния, полученных в разные моменты времени. Также рекомендуется проводить стратификацию диаграмм разброса для различных средств и условий производства продукции.
Диаграмма Исикавы. Причинно-следственная диаграмма, «рыбий скелет» – инструмент качества, служащий для наглядного представления причинно-следственных связей между объектом анализа и влияющими на него факторами.
Также используется для первоначального ранжирования (определения значимости, силы влияния) факторов, воздействующих на исследуемый объект и выбора приоритетов для устранения проблемы или улучшения показателя.
Методика построения:
1. Выберите показатель качества для улучшения (анализа). Запишите его в середине правого края чистого листа бумаги.
Показатель необходимо сформулировать как можно точнее, иначе даже правильно построенную причинно-следственную диаграмму будет затруднительно использовать для решения конкретной проблемы.
Через центр листа проведите прямую горизонтальную линию («хребет» диаграммы), слева упирающуюся в край листа, а справа в показатель для анализа.
2. Определите главные факторы (факторы первого порядка), влияющие на показатель качества. Для этого рекомендуется воспользоваться мнемоническим приемом 4М … 6М.
Равномерно распределите по верхнему и нижнему краю листа и запишите главные факторы.
Проведите стрелки («большие кости») от названий главных факторов к «хребту» диаграммы.
На диаграмме для выделения показателя качества и главных факторов рекомендуется заключить их в рамку.
3. Определите и запишите факторы второго порядка рядом с «большими костями» факторов первого порядка, на которые они влияют.
Соедините стрелками («средние кости») названия факторов второго порядка с «большими костями».
4. Определите и запишите факторы третьего порядка рядом со «средними костями» факторов второго порядка, на которые они оказывают влияние.
Соедините стрелками («малые кости») названия факторов третьего порядка со «средними костями».
Для определения факторов второго, третьего и т.д. порядков рекомендуется использовать метод «мозгового штурма».
Если есть возможность, рекомендуется провести исследование (подтверждение) зависимости полученных факторов на объект исследования, к примеру, с помощью «Диаграммы рассеивания».
Для эффективного применения диаграммы Исикавы рекомендуется производить разбиение факторов (на факторы четвертого, пятого и т.д. порядков) до выявления наиболее простых причин, оказывающих влияние на объект анализа. Однако на практике, если вам нужно сделать курсовую или проект для получения корочек, то обычно требуют построить причинно-следственную диаграмму третьего уровня, т.е. до выявления факторов третьего порядка. Построение двухуровневой схемы в этом случае считается огромным недостатком, т.к. предполагается, что вы плохо разбираетесь в исследуемом вопросе или не до конца освоили инструмент качества «Диаграмму Исикавы». Строить же многоуровневую диаграмму и углубляться в исследуемый вопрос притом, что это нигде не будет использовано – только ваш выбор и затраты времени.
При нанесении стрелок на схему их наклон и размер не имеют значения. При построении диаграммы необходимо правильно отобразить соподчиненность и взаимозависимость факторов, а также оформить диаграмму таким образом, чтобы она легко читалась. В связи с этим наименования факторов рекомендуется записывать в горизонтальном положении.
5. Удалите факторы, на которые невозможно повлиять или скомпенсировать их воздействие.
Это правило можно использовать во время определения факторов, влияющих на объект анализа, т.е. на 2-4 этапах построения диаграммы.
6. Оцените степень влияния (значимость) каждого, наиболее мелкого фактора, на который можно повлиять.
Если для коррекции будет выбран фактор, на который воздействуют более мелкие факторы, то степень его влияния на показатель рассчитывается арифметическим суммированием значимости факторов, влияющих на него.
Предпочтительно для оценки влияния факторов использовать данные измерений (контрольные листки, журналы измерений и т.д.). Если такой возможности нет, предлагается использовать метод командной оценки.
7. Выпишите и используйте для улучшения показателя качества наиболее значимые факторы. Для этого рекомендуется воспользоваться диаграммой Парето.




Рис. Пример диаграммы Исикавы
Описанный выше порядок построения диаграммы (определение основных факторов, а затем разбиение их на мелкие) является более простым и удобным: для него уже есть методика определения главных факторов, от которой можно оттолкнуться, а некоторые группы факторов, например «персонал», можно копировать из уже существующих диаграмм с минимальными доработками.
Существуют методики, при которой сначала проводится определение всех возможных факторов, влияющих на показатель качества (методом «мозгового штурма» и опроса как можно большего количества людей, имеющих отношение к рассматриваемой проблеме), и только после этого производится определение взаимосвязи этих факторов между собой и их структурирование. На мой взгляд, такой подход является более продуктивным и позволяет выявить практически все действительно важные факторы.
Метод «мозгового штурма». Целью метода является количество, а не качество идей.
Общие правила проведения «мозгового штурма»:
- необходимо установить определенную цель;
- участвовать в обсуждении должны все участники команды;
- сотрудники должны ощущать безопасность участия и высказывания своего мнения;
- не допускается никакой критики, все идеи записываются, ни одна идея сразу не отвергается;
- предложения не ограничиваются только факторами, относящимися к деятельности говорящего;
- рекомендуется исключить бесплодные разговоры, ценя идеи и сознательное оперирование фактами;
- членов команды следует поощрять для раскрытия творческого потенциала;
- лицам руководящего состава не рекомендуется высказываться первыми;
- членам команды следует подхватывать и развивать идеи других.
Рекомендуется привлекать людей, не имеющих отношение к исследуемому объекту, так как они могут обнаружить неожиданный подход к определению и анализу факторов, который могут не заметить участники, привычные к существующей рабочей обстановке.
Метод командной оценки:
1. Каждый участник команды, независимо от других участников, оценивает значимость каждого фактора на объект анализа и наносит ее на личный экземпляр диаграммы Исикавы.
Производится рассмотрение только наиболее мелких факторов (для которых не выявлены влияющие на них факторы). Оценка производится путем проставления баллов (в 3-х, 5-ти или 10-ти бальной системе).
2. Лидер команды рассчитывает значимость каждого фактора путем арифметического суммирования баллов проставленных фактору участниками команды.
3. Команда проводит обсуждение мнений участников относительно полученной значимости факторов. В случае сильного расхождения мнений проводится новый тур для определения значимости, в ходе которого повторяются действия с пункта 1.
На этом этапе выбор факторов ограничивается теми, которые на предыдущем этапе получили наибольшее количество баллов.
Для установления приемлемой точности результатов рекомендуется проводить 3 тура анализа.
4. Лидер команды по наивысшему числу полученных баллов определяет 2-4 наиболее значимых, с точки зрения всех участников команды, фактора, на которых следует сосредоточиться для решения проблемы или улучшения показателя.
Контрольные карты (контрольные карты В. Шухарта) – инструмент, позволяющий отслеживать изменение показателя качества во времени для определения стабильности технологического процесса, а также корректировки процесса для предотвращения выхода показателя качества за допустимые пределы.
Контрольные карты делятся на два вида:
1. для контроля непрерывных величин:
- x - карта контроля измеряемых значений;
-
- карта контроля средних значений и среднеквадратичных отклонений;
-
- карта контроля средних значений и размахов;
-
- карта контроля медиан и среднеквадратичных отклонений;
-
- карта контроля медиан и размахов;
2. для контроля дискретных величин:
- p - карта контроля доли неисправных изделий в выборке (применяются как при постоянном, так и при переменном объеме выборки);
- np - карта контроля числа неисправных изделий в выборке (применяются только при постоянном объеме выборки);
- с - карта контроля числа несоответствий в выборке (применяются только при постоянном объеме выборки);
- u - карта контроля числа несоответствий на одно изделие в выборке (применяются как при постоянном, так и при переменном объеме выборки).
Наилучший контроль показателя качества дает использование
карт. При использовании вычислительной техники ее построение не вызывает трудностей. При ручном счете легче вычислять медиану и размах измеренных значений показателя качества, поэтому широкое применение нашли
и
карты.
карты практически не применяются, т.к. если есть возможность вычислить среднеквадратичное отклонение, то расчет медианы вместо среднего арифметического объяснить трудно.
Методика построения
,
,
карт:
1. В зависимости от того заданы ли стандартные значения показателя качества или нет первый этап разбивается на два варианта:
I Стандартные значения не заданы:
- Соберите предварительные данные о протекании процесса. Для этого необходимо провести измерения показателя качества в нескольких подгруппах (например, измерения в нескольких партиях изделий).
- В зависимости от выбранного типа карты вычислите необходимые статистические показатели
или
,
или
для каждой подгруппы полученных значений по формулам:
- среднеарифметическое значение показателя качества в подгруппе;
- медиана подгруппы. Вычисляется следующим образом:
= расположите измеренные значения в порядке возрастания или убывания;
= если количество измеренных значений нечетное, то медиана равна значению, которое располагается в середине ряда. Если количество измеренных значений четное, то медиана равна среднему арифметическому двух значений, расположенных в середине ряда;
- среднеквадратичное отклонение показателя качества в подгруппе;
- размах показателя качества в подгруппе,
где i – индекс измеренного показателя качества в подгруппе;
j – индекс подгруппы;
n - количество изделий в подгруппе;
– максимальное значение в подгруппе,
– минимальное значение в подгруппе.
- Рассчитайте среднеарифметические значения вычисленных на предыдущем шаге статистических показателей
или
,
или
по формулам:
- среднеарифметическое средних значений подгрупп;
- среднеарифметическое медиан подгрупп;
- среднеарифметическое значение среднеквадратичных отклонений подгрупп;
- среднеарифметическое размахов подгрупп; где k – количество подгрупп.
При использовании метода медиан можно определить вместо
, а вместо
.
- Вычислите значения для центральной линии, нижнего и верхнего контрольного пределов для
карты:

или 
или 
для
карты:



для R карты:



для S карты:



Все коэффициенты определяются в соответствии с таблицей, приведенной ниже.
II Стандартные значения заданы (т.е. заданы
,
и возможно
или
):
1. Вычислите значения для центральной линии, нижнего и верхнего контрольного пределов для
и
карты:



для R карты:
или 


для S карты:
или 


2. В левой стороне листа начертите 2 вертикальные оси.
Оси рекомендуется располагать одну под другой и использовать верхнюю для построения графика значений
или
, нижнюю – графика значений S или R.
Выберите масштабы и отображаемые диапазоны значений, разметьте в соответствии с ними вертикальные оси.
3. Начертите горизонтальные оси и разбейте их на интервалы, представляющие собой подгруппы.
Для удобства применения контрольной карты рекомендуется использовать одну горизонтальную ось и провести тонкие вертикальные линии через границы интервалов каждой подгруппы, причем они должны проходить через всю карту.
4. Нанесите на карту вычисленные в п.1 центральные линии, нижние и верхние контрольные пределы.
5. В соответствии с получаемыми данными наносите точки контролируемых параметров показателя качества и проводите анализ контрольной карты.
Для удобства использования рекомендуется использовать различный тип значков, для
или
и S или R графиков, а также значений выходящих за пределы контрольных линий.


Методика построения контрольных карт для индивидуальных значений и скользящих размахов:
1. В зависимости от того заданы ли стандартные значения показателя качества или нет первый этап разбивается на два варианта:
I Стандартные значения не заданы:
- Соберите предварительные данные о протекании процесса. Для этого необходимо произвести несколько измерений показателя качества.
- На основе собранных данных рассчитайте среднее значение показателя качества:

и среднее значение скользящего размаха:

где N – число произведенных измерений при предварительном сборе данных.
- Вычислите значения для центральной линии, нижнего и верхнего контрольного пределов для x карты:



для R карты:



II Стандартные значения заданы (т.е. заданы
,
и возможно
):
- Вычислите значения для центральной линии, нижнего и верхнего контрольного пределов для x карты:



для R карты:
(если
задано) или
(если
не задано);


2. Следуйте методике с п.2, приведенной для построения
,
,
карт, при этом на горизонтальной оси вместо номеров подгрупп следует использовать номера измерений показателя качества.
Часто используется только контрольная карта индивидуальных значений, без скользящих размахов. Понятно, что это только упрощает работу – методика остается прежней, зато вычисления пределов и построение графика для скользящих размахов проводить не нужно.
Сигнальные признаки на контрольной карте, при которых следует производить коррекцию процесса:
Предварительно необходимо разделить интервалы между центральной линией и нижним контрольным пределом, а также центральной линией и верхним контрольным пределом на 3 равные части.

1. Одна или более точек вышли за контрольные пределы.

2. Серия из семи или более точек лежат с одной стороны от центральной линии.
Сюда же относят случаи, если не менее 10 из 11 точек или не менее 12 из 14 точек или не менее 16 из 20 точек лежат с одной стороны от центральной линии.


3. Серия из шести или более точек образуют непрерывно повышающуюся (понижающуюся) кривую.

4. Серия из четырнадцати или более, попеременно возрастающих и убывающих точек.

5. Точки образуют кривую с повторяющейся формой и примерно одинаковыми интервалами.

6. Две из трех последовательных точек лежат в крайней трети диапазона контрольных пределов.

7. Четыре из пяти точек подряд лежат с одной стороны от центральной линии и не попадают в центральную треть диапазона контрольных пределов.

8. Серия из восьми точек расположена с двух сторон от центральной линии, при этом ни одна точка не попадает в центральную треть диапазона контрольных пределов.

Методика построения контрольных карт p, np, c, u типов:
- Начертите вертикальную ось. Выберите масштаб и отображаемый диапазон значений, разметьте в соответствии с ними ось.
- Начертите горизонтальную ось и разбейте ее на интервалы, представляющие собой подгруппы.
- Нанесите на карту вычисленные в п.1 центральную линию, нижний и верхний контрольные пределы.
- В соответствии с получаемыми данными наносите точки контролируемых параметров показателя качества и проводите анализ контрольной карты.
I Стандартные значения не заданы:
- Соберите предварительные данные о протекании процесса. Для этого зафиксируйте наличие или отсутствие выбранных признаков у каждого изделия рассматриваемой подгруппы.
- В зависимости от выбранного типа карты определите для p и np карт:
- доля дефектных изделий в подгруппе;
для c карт:
- число несоответствий в подгруппе;
для u карт:
- число несоответствий на единицу в подгруппе;
где i – индекс измеренного показателя качества в подгруппе;
j – индекс подгруппы;
n - количество изделий в подгруппе;
2. Рассчитайте среднеарифметические значения вычисленных на предыдущем шаге статистических показателей
или
или
:
- среднеарифметическое значение доли дефектных единиц во всех подгруппах;
- среднеарифметическое значение несоответствий во всех подгруппах;
- среднеарифметическое значение несоответствий на единицу во всех подгруппах;
где k – количество подгрупп.
- Вычислите значения для центральной линии, нижнего и верхнего контрольного пределов для p карты:



для np карты:



для c карт:



для u карты:



II Стандартные значения заданы (т.е. заданы
или
или
):
1. Вычислите значения для центральной линии, нижнего и верхнего контрольного пределов
для p карты:



для np карты:



для c карт:



для u карты:



Когда объем выборки меняется незначительно (не более ±25% среднего объема подгруппы), то можно ограничиться одним набором контрольных границ, рассчитанным для среднего объема подгруппы. Если объем выборки меняется существенно, то для каждой подгруппы рассчитывают свои контрольные границы.
Альтернативой при существенном изменении размера подгрупп является использование нормированных значений. Например, вместо значений p на график наносят нормированные значения, вычисленные по формуле:
(если
не задано) или
(если
задано).
При этом значения для центральной линии и контрольных пределов остаются неизменными, независимо от объема выборки и равны:
CL = 0;
LCL = -3;
UCL = +3.
Таким образом, контрольные карты - специальный вид диаграммы, впервые предложенный В. Шухартом в 1925 г. Они отображают характер изменения показателя качества во времени.
1. Контрольные карты по количественным признакам - это как правило сдвоенные карты, одна из которых изображает изменение среднего значения процесса, а 2-я - разброса процесса. Разброс может вычисляться или на основе размаха процесса R (разницы между наибольшим и наименьшим значением), или на основе среднеквадратического отклонения процесса s. В настоящее время обычно используются x - s карты, x - R карты используются реже.
2. Контрольные карты по качественным признакам:
- Карта для доли дефектных изделий (p-карта). В p-карте подсчитывается доля дефектных изделий в выборке. Она применяется, когда объем выборки - переменный.
- Карта для числа дефектных изделий (np-карта). В np-карте подсчитывается число дефектных изделий в выборке. Она применяется, когда объем выборки - постоянный.
- Карта для числа дефектов в выборке (с-карта). В с-карте подсчитывается число дефектов в выборке.
- Карта для числа дефектов на одно изделие (u-карта). В u-карте подсчитывается число дефектов на одно изделие в выборке.
Таким образом, СЕМЬ ИНСТРУМЕНТОВ КОНТРОЛЯ КАЧЕСТВА - простые и надежные средства для систематического решения большего количества (до 95%) проблем, касающихся контроля качества в самых разных областях. При осуществлении контроля качества производится обязательный сбор данных, а затем их обработка с помощью статистических инструментов контроля качества.
Методы применяются как непосредственно в производстве, так и на различных стадиях жизненного цикла продукции. Причем необязательно в процессе решения задачи должны использоваться все семь методов. Каждый метод может находить свое самостоятельное применение в самых различных случаях.
Достоинство метода - наглядность, простота освоения и применения.
Недостаток метода - низкая эффективность при проведении анализа сложных процессов.
На базе поведенческой науки, операционного анализа, статистики и теории оптимизации был разработан набор инструментов, получивший название « НОВЫЕ ИНСТРУМЕНТЫ УПРАВЛЕНИЯ КАЧЕСТВОМ ». К ним относят:
- диаграмма сродства (KJ-метод)
- диаграмма связей
- дерево решений (древовидная диаграмма)
- таблица качества (матричная диаграмма)
- стрелочная диаграмма (сетевой график, диаграмма Ганта)
- диаграмма процесса осуществления программы (PDPC)
- матрица приоритетов
Диаграмма сродства (KJ-метод) – инструмент, используемый для выявления основных нарушений процесса, а также возможностей его улучшения, путем объединения родственных данных. Служит для объединения множества идей, интересов и мнений, собранных специалистами по рассматриваемой теме, в небольшое число групп. Применяется в процессе «Мозгового штурма».
Принцип создания KJ-диаграммы приведен на рисунке:

Методика построения:
1. Выберете проблему или тему, которая требует решения или улучшения.
Тему следует определять в самых широких понятиях, чтобы не ограничивать варианты решения проблемы или отыскания новых путей улучшения процесса.
2. Соберите данные по выбранной теме. Запишите каждую идею на отдельной карточке.
Обычно для сбора данных используют метод «мозгового штурма».
3. Перемешайте карточки и расположите их в случайном порядке на столе.
4. Сгруппируйте взаимосвязанные карточки.
Группировку можно выполнить следующим образом: найдите карточки, которые кажутся вам взаимосвязанными (родственными) и сложите их вместе. Затем еще раз. Эти действия следует выполнять до тех пор, пока все данные не будут собраны в предварительные группы родственных данных.
При группировке данных следует учесть, что одна карточка не может составлять всю группу, а количество групп желательно ограничить не более 10.
5. Определите направленность каждой группы данных. Выберете из имеющихся карточек или придумайте и запишите на новой карточке заголовок, отражающий выявленную направленность для каждой группы. Карточки с заголовками поместите поверх карточек, составляющих группы.
При возникновении разногласий, а также для поиска альтернативных взаимосвязей, пункты 3-5 можно повторить, пробуя создать группы с другой направленностью.
Анализ завершается, когда все данные будут сгруппированы в соответствие с подходящим количеством ведущих направлений, а все разногласия будут устранены.
6. Перенесите полученные данные с карточек на бумагу в виде диаграммы:

или таблицы:

Д иаграмма сродства очень напоминает причинно-следственную диаграмму, только подход к проблеме у них идет с противоположных сторон. В диаграмме Исикавы сначала определяются главные факторы, влияющие на проблему, которые затем разбиваются на более мелкие, а те в свою очередь на еще более мелкие, пока не определяются корневые причины вызывающие проблему, т.е. порядок определения факторов - от основных к второстепенным.
В диаграмме сродства, наоборот, сначала определяются в основном корневые, малозначительные причины (хотя в процессе сбора данных также могут быть найдены и главные причины), которые затем последовательно объединяются во все более крупные группы, т.е. порядок определения факторов – от второстепенных к основным.
Данные диаграммы также отличаются уровнем вложенности. Если у диаграммы Исикавы она никак не ограничена, то в диаграмме сродства уровень вложенности всегда второй, т.е. все причины, влияющие на рассматриваемую проблему, делятся на факторы только 1-го и 2-го порядка.
Диаграмма связей (граф взаимозависимости) – инструмент, используемый для выявления логических связей между основной проблемой, которая требует решения, причинами, которые оказывают на нее влияние и другими данными.
Диаграмму связей рекомендуется использовать в следующих случаях:
- рассматриваемая проблема (тема) настолько сложна, что взаимосвязи между полученными данными не могут быть определены в ходе обычного обсуждения;
- решающим фактором является временная последовательность, в соответствии с которой делаются шаги;
- существуют подозрения, что рассматриваемая проблема является следствием воздействия более фундаментальной, еще не затронутой проблемы.
Работа над диаграммой связи, также как и над диаграммой сродства, должна проводится в группах по улучшению качества.
Методика построения:
1. Выберете тему (проблему), которая требует улучшения (решения) и запишите ее в центре чистого листа бумаги.
2. Определите факторы, влияющие на проблему, и расположите их вокруг записанной проблемы.
Исходные данные для построения диаграммы могут быть получены с использованием диаграммы сродства, диаграммы Исикавы или непосредственно с использованием метода «мозгового штурма».
3. Определите звенья, которые связывают отдельные причины (факторы), влияющие на проблему, и проставьте зависимости между факторами и проблемой, а также факторов между собой с помощью стрелок.
Старайтесь обнаружить звенья, ведущие к критическому результату.
4. Определите ключевые факторы для оказания на них воздействия.
Определение ключевых факторов производится с учетом имеющихся в наличии ресурсов, а также с учетом данных, характеризующих эти факторы.
Принцип создания графа взаимозависимости приведен на рисунке:

Дерево решений (древовидная диаграмма, систематическая диаграмма) – инструмент, используемый для систематического рассмотрения проблемы (темы) в виде составляющих факторов (элементов), расположенных на различных уровнях и удобного представления логических связей между этими факторами (элементами).
Древовидная диаграмма строится в виде многоступенчатой древовидной структуры, составными частями которой являются различные элементы (факторы, причины) рассмотрения идеи или решения проблемы.
Дерево решений рекомендуется использовать в случаях:
- когда необходимо изучить все возможные элементы рассматриваемой темы (проблемы);
- когда необходимо неясные пожелания потребителя в отношении разрабатываемого продукта преобразовать в установленные потребности потребителя;
- когда достигнуть краткосрочных целей нужно раньше получения результатов всей работы.
Методика построения:
1. Четко определите тему (проблему) для рассмотрения. Запишите ее в центре левого края чистого листа бумаги.
2. Определите основные элементы (факторы) рассматриваемой темы (проблемы). Запишите их один под другим, расположив правее от наименования темы. Проведите ответвления (линии) от наименования темы к основным элементам.
Для определения основных элементов можно использовать метод «мозгового штурма» или использовать карточки с заголовками, если ранее для этой темы строилась диаграмма сродства.
3. Для каждого элемента определите составляющие их подэлементы (элементы второго порядка). Запишите элементы второго порядка один под другим, расположив их правее от перечня основных элементов. Начертите ответвления от основных элементов к составляющим их подэлементам.
4. Для каждого подэлемента определите составляющие их элементы третьего порядка. Элементы третьего порядка запишите один под другим, расположив их правее элементов второго порядка. Проведите ответвления от подэлементов к составляющим их элементам третьего порядка.
Деление следует продолжать до тех пор, пока не будут определены все элементы рассматриваемой темы.
При работе в группе это означает – до тех пор, пока все члены группы не согласятся, что дерево решений завершено или пока не исчерпаются все идеи.

Д ерево решений по своей сути практически тождественна диаграмме Исикавы. Отличия заключаются лишь в измененном способе их изображения и небольших отличиях по применению (а цель применения - изучение всех возможных элементов (факторов) рассматриваемой темы (проблемы), общая для обеих диаграмм). Суть построения у обеих диаграмм полностью совпадает и перевести одну диаграмму в другую не представляет никаких сложностей.
Таблица качества (матричная диаграмма, матрица связей) – инструмент, используемый для организации и графического изображения логических связей между большим количеством данных, а также силы этих связей.
Обычно исследуются связи между данными, имеющими отношение к следующим категориям:
- проблемы качества;
- причины возникновения проблем качества;
- требования, установленные потребностями потребителя;
- функции и характеристики продукции;
- функции и характеристики процессов;
- функции и характеристики производственных операций и оборудования.
Матричная диаграмма показывает соответствие и степень зависимости между определенными явлениями (факторами), вызвавшими их причинами и мерами по устранению возникших последствий.
Таблица качества (L-карта) является одной из разновидностей матричной диаграммы, которая получила наибольшее распространение по сравнению с другими видами матрицы связи. Также распространены T- и X-карты.
Свое название карты получили по причине того, что строки и столбцы матричной диаграммы напоминают:
- букву L повернутую на +90°;

· букву T повернутую на -90°;

· букву X повернутую на 45°.

Методика построения:
1. Сформулируйте название темы (объекта) анализа.
2. Определите перечень компонентов A (a1, a2, … ai, … an) и B (b1, b2, … bj, … bk), относящихся к теме (предмету) исследования.
3. Выясните возможные виды связи между компонентами и выберите соответствующие этим видам связи условные обозначения.
Для определения перечня компонентов и видов связи воспользуйтесь методом «мозгового штурма».
Для построения матричной диаграммы обычно используются следующие типы связи между компонентами:
- слабая (
);
- средняя (
);
- сильная (
).
При необходимости более подробного анализа можно использовать следующие типы взаимосвязи между факторами:
- слабая (
);
- существенная (
);
- средняя (
);
- сильная (
);
- очень сильная (
).
Если между компонентами может быть как отрицательная, так и положительная виды связи, то при их обозначении рекомендуется воспользоваться следующими символами:
- сильная положительная (
);
- средняя положительная (
);
- слабая положительная (
);
- слабая отрицательная (
);
- средняя отрицательная (
);
- сильная отрицательная (
).
4. Нарисуйте таблицу с количеством столбцов равным k+1 и количеством строк равным n+1.
5. В крайнем левом столбце проставьте компонетны ai, начиная со второй строки.
6. В верхней строке проставьте компоненты bj, начиная со второго столбца.
7. Напечатайте необходимое количество построенного шаблона L-карты и раздайте членам группы для самостоятельного заполнения.
При заполнении таблицы качества необходимо просмотреть все варианты взаимодействия компонентов ai и bj и при наличии между ними связи проставить символ, соответствующий степени этой взаимосвязи, на пересечении соответствующих строки и столбца.
8. Сравните полученные результаты заполнения матричной диаграммы и в ходе обсуждения выработайте общее мнение по наличию связей между компонентами A и B.
9. Оформите результирующую таблицу качества.

Чтобы матрица связи была легко понятна даже для человека, не принимавшего участия в работе команды, рядом с ней рекомендуется указать:
- название и основные характеристики темы (объекта) анализа;
- руководителя и состав команды;
- основные результаты работы;
- сроки проведения работы;
- другие необходимые сведения.
Построение других разновидностей матрицы связей (T- и X-карт) производится аналогично методике построения таблицы качества.
Стрелочная диаграмма (сетевой график, диаграмма Ганта) – инструмент, используемый для планирования оптимальных сроков выполнения всех работ, необходимых для успешного достижения поставленной цели.
Данный инструмент можно использовать только после того, когда для установленной проблемы определены средства и мероприятия по ее устранению, а также сроки и этапы их осуществления. Т.е. стрелочная диаграмма применяется только после использования хотя бы одного из инструментов:
- диаграммы сродства;
- диаграммы связей;
- дерева решений;
- таблицы качества.
С трелочная диаграмма является завершающим инструментом, используемым в ходе работы по улучшению к