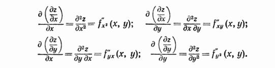
Частные производные функции нескольких переменных являются функциями тех же переменных. Эти функции, в свою очередь, могут иметь частные производные- вторые частные производные (или частные производные второго порядка) исходной функции. Так, например, функция z=f(x,y) двух переменных имеет четыре частных производных второго порядка, которые определяются и обозначаются: 
Аналогично определяются и обозначаются частные производные третьего и более высокого порядка функции нескольких переменных: частной производной n-ого порядка функции нескольких переменных называется частная производная первого порядка от частной производной (n-1)-го порядка той же функции.

43. Экстремум функции z=f(x,y). Необходимое и достаточное условия экстремума функции двух переменных.
Наименьшее или наибольшее значение функции в данной области называется абсолютным экстремумом функции (абсолютным минимумом или абсолютным максимумом соответственно) в этой области.
Согласно теореме Вейерштрасса - непрерывная в замкнутой ограниченной области функция достигает в ней своих наибольшего и наименьшего значений.
|
|
|
Абсолютный экстремум достигается функцией либо в критических точках, либо на границе области.
Теорема. Пусть функция f (x, y) определена и имеет непрерывные частные производные второго порядка в некоторой окрестности точки (x 0, y 0), в которой f'x = f'y = 0. Если при этом в этой точке выполнено условие D = f''xx × f''yy – f''xy 2 > 0, то точка (x 0, y 0) является точкой экстремума, причем точкой максимума, если f''xx < 0, и точкой минимума, если f''xx > 0.
Если же в этой точке f''xx × f''yy – f''xy 2 < 0, то экстремума в точке (x 0, y 0) нет.
В том случае, если f''xx × f''yy – f''xy 2 = 0 в точке (x 0, y 0), теорема ответа не дает.