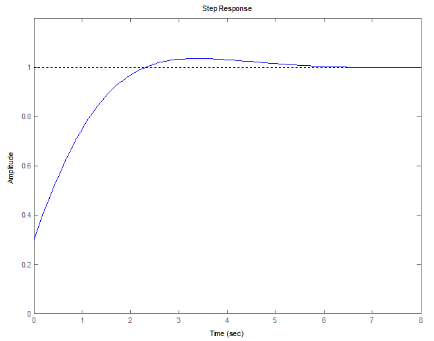
Переходная характеристика

Переходной характеристикой (переходной функцией) называется реакция системы (при нулевых начальных условиях) на единичный ступенчатый сигнал (единичный скачок)

.

Импульсная и переходная функции связаны выражениями

, .

Для систем без интеграторов переходная характеристика стремится к постоянному значению. Переходная характеристика системы с дифференцирующим звеном (числитель передаточной функции имеет нуль в точке ) стремится к нулю. Если система содержит интегрирующие звенья, переходная характеристика асимптотически стремится к прямой, параболе и т.д., в зависимости от количества интеграторов.

По определению предельное значение переходной функции при есть статический коэффициент усиления:

.

Эта величина имеет смысл только для устойчивых систем, поскольку при неустойчивости переходный процесс не сходится к конечному значению.

Если передаточная функция правильная, но не строго правильная (матрица модели в пространстве состояний не равна нулю), скачкообразное изменение входного сигнала мгновенно приводит к скачкообразному изменению выхода. Величина этого скачка равна отношению коэффициентов при старших степенях числителя и знаменателя передаточной функции (или матрице модели в пространстве состояний).

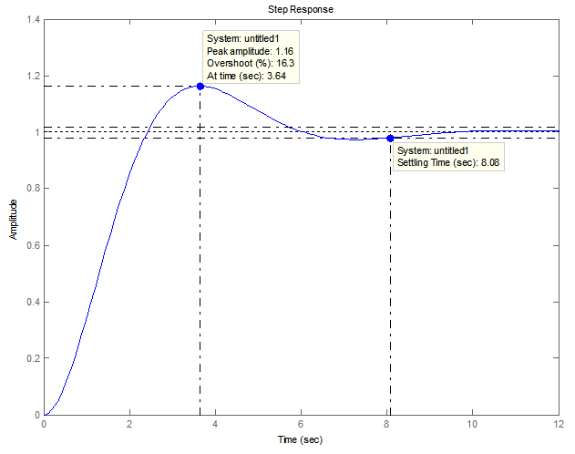
По переходной характеристике можно найти важнейшие показатели качества системы – перерегулирование (overshoot) и время переходного процесса (settling time).

Перерегулирование определяется как

,

где – максимальное значение функции , а – установившееся значение выхода.

Время переходного процесса – это время, после которого сигнал выхода отличается от установившегося значения не более, чем на заданную малую величину (в среде Matlab по умолчанию используется точность 2%).





Подборка статей по вашей теме: