Таблица 6.1
Методика расчета систем вентиляции и кондиционирования
В расчете и проектировании систем вентиляции можно выделить следующие основные этапы:
1. Выбор типа вентиляции.
2. Определение количества поступающих в помещение вредных выделений (избыточное тепло, влага, вредные пары, газы).
3. Определение необходимого воздухообмена, т.е. количества воздуха, которое необходимо подать в помещение или удалить из него для обеспечения заданных условий микроклимата.
4. Определение параметров технических средств, с помощью которых будет осуществляется выбор электродвигателя для привода вентиляторов, производительности калориферов, размеров устройств для очистки воздуха, размещение воздухораспределительных устройств и др.
Для естественной вентиляции определяются площади вентиляционных проемов, диаметр воздуховодов при канальной естественной вентиляции.
При расчете и проектировании вентиляции наиболее ответственным сложным этапом является определение количества вредных выделений. Существующие для этого формулы носят эмпирический характер и не точны, что естественно, вносит погрешность во все последующие расчеты. Вид формул для расчета количества вредных выделений зависит от вида этих выделений и их источников (таблицы 6.1, 6.2).
| Формулы для расчета количества вредных тепловыделений. | |||
| Источник теплоты | Формула для расчета | Примечание | |
| электродвигатели | | N kl k2 η | - номинальная мощность электродвигателя, Вт; -коэффициент загрузки, равный 0,7-0,9; -коэффициент одновременности работы, равный 0,5-1; -КПД электродвигателя при данной нагрузке. |
| |||
| осветительные приборы | | ||
| люди | | n q | -количество людей в помещении; -явное количество теплоты, выделяемое одним человеком. При температуре 20°С и тяжелой работе q>>120 Вт, при легкой работе qs90 Вт. |
| открытые водные поверхности | | V- Т- F- | скорость воздуха над поверхностью воды, м/с; температура воды,°С; площадь поверхности воды, м2. |
| Источник влаги | Расчетное количество влаги, кг/с | Примечание |
| открытая некипящая водная поверхность | | Р - коэффициент массоотдачи; F-площадь поверхности испарения, м2; Рн1, Рн2 - парциальные давления насыщенного водяного пара при определенной температуре воды и воздуха в помещении, Па; РБ - барометрическое давление. Па. |
| мокрая поверхность пола | | F - площадь мокрой поверхности пола, м2; tc, 1м - температуры воздуха по сухому и мокрому термометрам,°С. |
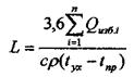
По известным количествам вредных выделений может быть определен необходимый воздухообмен. Так, если в помещении имеет место выделение избыточного явного тепла, то объем приточного вентиляционного воздуха L (в м/ч) для ассимиляции этого тепла можно вычислить по формуле:

ΣQ- суммарное количество избыточных тепловыделений, Вт;
с - удельная теплоемкость воздуха, равная 1 кДж/(кг*К);
tyx - температура уходящего воздуха,°С;
tnp - температура приточного воздуха,°С;
Температура уходящего воздуха определяется как:

где tp.3 - температура воздуха в рабочей зоне (берется по нормам),°С;
ψ- коэффициент нарастания температуры по высоте помещения, равный 0,5-1,5 °С/м;
Н - расстояние по высоте от пола до центра вытяжных отверстий, м.
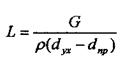
Если в помещении выделяется избыточная влага, то необходимый воздухообмен можно вычислить по формуле:

р (dyx -dnp), где G - количество влаговыделений, кг/ч; dyx и dnp - влагосодержание уходящего и приточного воздуха, кг. (на кг сухого воздуха).
В некоторых случаях, оговоренных в нормативных документах, необходимый воздухообмен L определяется по кратности k, показывающей, сколько раз воздух за 1 ч меняется в помещении. В таких случаях L=kV, где V - объем помещения, м3.
Зная L и допустимые скорости движения воздуха v по воздуховодам, определяем их сечение F (в м2):

3600v где v=6-12 м/с - для магистральных воздуховодов и не более 8 м/с - для ответвлений.
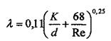
Движение воздуха по воздуховодам сопряжено с преодолением сопротивления трения воздуха о стенки воздуховодов и местных сопротивлений (отводы, тройники, переходники, решетки). Потери давления Р на преодоление этих сопротивлений:

где ג- коэффициент сопротивления трению, равный:

где k - абсолютная шероховатость стенок воздуховодов, мм; 1 - длина воздуховодов, м; d - диаметр воздуховодов, мм;
Σζ- сумма коэффициентов местных сопротивлений; Re - число Рейнольдса. Для стальных воздуховодов К=0,1 мм.
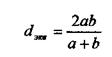
Для воздуховодов прямоугольной формы при расчетах по приведенным выше формулам пользуются понятием эквивалентного диаметра:

где а и b - стороны воздуховода.
Напор Н вентилятора должен быть достаточным для компенсации потерь давления Р и создания некоторого динамического давления Рд на выходе воздуха из вентиляционной сети, т.е. Н==Р+Рд. Величина Рд=рVр2/2 где Vp -допустимая скорость воздушной струи в рабочей зоне (м/с).
По величинам L и Н, пользуясь специальными графиками, подбирают нужный вентилятор, стремясь к тому, чтобы КПД его был максимальным. Мощность электродвигателя (на валу) Мдв (в кВт) для привода вентилятора:

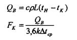
где TiBr|H- КПД вентилятора и привода соответственно, В некоторых вентиляционных системах для подогрева наружного воздуха используют калориферы. Подбор их заключается в определении расхода теплоты QB (Вт/ч) на подогрев воздуха и расчете поверхности нагрева калориферной установки ж (в м) по формулам:

k - коэффициент теплопередачи калорифера, Вт^м^К);
Δtcp - разность температур теплоносителя калорифера (пар, вода) и воздуха,°С.
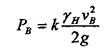
При расчете естественной вентиляции сначала находят располагаемое давление (гравитационное или ветровое, или их сумму). При ветре давление РВ в плоскости вентиляционных фрамуг

где k - аэродинамический коэффициент, равный для области повышенных давлений 0,75-0,85; пониженных - 0,4-0,45;
Ун - удельный вес наружного воздуха, НУмЗ; VB - скорость ветра, м/с.
Перепад давлений АР в плоскости фрамуг.
Необходимая площадь вентиляционных фрамуг рассчитывается как

где μ- коэффициент расхода, зависящий от конструкции фрамуг и угла открытия створок, равный ОД 5-0,65.
Общая величина гравитационного давления Рг, под влиянием которого также может происходить естественный воздухообмен в производственных помещениях:

где Н - расстояние между центрами нижнего и верхнего рядов вентиляционных отверстий; Ун, Ув - удельный вес наружного и внутреннего воздуха соответственно, Н/м3
При канальной естественной вентиляции диаметр трубы дефлектора ориентировочно можно определить по выражению:

где УД - скорость воздуха в трубе дефлектора, равная половине скорости ветра, м/с.
Подбор кондиционеров осуществляется таким образом, чтобы их производительность по воздуху, холоду и теплу обеспечивала создание требуемых условий микроклимата в обслуживаемых помещениях.
Лекция 13
РАЗРАБОТКА ВОПРОСОВ ОХРАНЫ ТРУДА ПРИ РАБОТЕ С ЭВМ.
Имеющийся в настоящее время в нашей стране комплекс разработанных организационных мероприятий и технических средств защиты, накопленный передовой опыт работы ряда вычислительных центров показывает, что имеется возможность добиться значительно больших успехов в деле устранения воздействия на работающих опасных и вредных производственных факторов. Однако состояние условий труда и его безопасностив ряде ВЦ еще не удовлетворяют современным требованиям. Операторы ЭВМ, операторы по подготовке данных, программисты и другие работники ВЦ еще сталкиваются с воздействием таких физически опасных и вредных производственных факторов, как повышенный уровень шума, повышенная температура внешней среды, отсутствие или недостаточная освещенность рабочей зоны, электрический ток, статическое электричество и другие.
Многие сотрудники ВЦ связаны с воздействием таких психофизических факторов, как умственное перенапряжение, перенапряжение зрительных и слуховых анализаторов, монотонность труда, эмоциональные перегрузки. Воздействие указанных неблагоприятных факторов приводит к снижению работоспособности, вызванное развивающимся утомлением. Появление и развитие утомления связано с изменениями, возникающими во время работы в центральной нервной системе, с тормозными процессами в коре головного мозга. Например, сильный шум вызывает трудности с распознанием цветовых сигналов, снижает быстроту восприятия цвета, остроту зрения, зрительную адаптацию, нарушает восприятие визуальной информации, уменьшает на 5-12% производительность труда. Длительное воздействие шума с уровнем звукового давления 90 дБ (норма 80 дБ) снижает производительность труда на 30-60%.
Медицинские обследования работников ВЦ показали, что помимо снижения производительности труда высокие уровни шума приводят к ухудшению слуха. Длительное нахождение человека в зоне комбинированного воздействия различных неблагоприятных факторов может привести к профессиональному заболеванию. Анализ травматизма среди работников ВЦ показывает, что в основном несчастные случаи происходят от воздействия физически опасных производственных факторов при заправке носителя информации на вращающийся барабан при снятом кожухе, при выполнении сотрудниками несвойственных им работ. На втором месте случаи, связанные с воздействием электрического тока.
2.Обеспечение электробезопасности.
Электрические установки, к которым относится практически все оборудование ЭВМ, представляют для человека большую потенциальную опасность, так как в процессе эксплуатации или проведении профилактических работ человек может коснуться частей, находящихся под напряжением. Специфическая опасность электроустановок:
токоведущие проводники, корпуса стоек ЭВМ и прочего оборудования, оказавшегося под напряжением в результате повреждения (пробоя) изоляции, не подают каких-либо сигналов, которые предупреждают человека об опасности. Реакция человека на электрический ток возникает лишь при протекании последнего через тело человека. Исключительно важное значение для предотвращения электротравматизма имеет правильная организация обслуживания действующих электроустановок ВЦ, проведения ремонтных, монтажных и профилактических работ. При этом под правильной организацией понимается строгое выполнение ряда организационных и технических мероприятий и средств, установленных действующими «Правилами технической эксплуатации электроустановок потребителей и правила техники безопасности при эксплуатации электроустановок потребителей» (ПТЭ и ПТБ потребителей) и "Правила установки электроустановок" (ПУЭ). В зависимости от категории помещения необходимо принять определенные меры, обеспечивающие достаточную электробезопасность при эксплуатации и ремонте электрооборудования. Так, в помещениях с повышенной опасностью электроинструменты, переносные светильники должны быть выполнены с двойной изоляцией или напряжение питания их не должно превышать 42В. В ВЦ к таким помещениям могут быть отнесены помещения машинного зала, помещения для размещения сервисной и периферийной аппаратуры. В особо опасных же помещениях напряжение питания переносных светильников не должно превышать 12В, а работа с электротранспортируемым напряжением не выше 42В разрешается только с применением СИЗ (диэлектрических перчаток, ковриков и т.п.). Работы без снятия напряжения на токоведущих частях и вблизи них, работы, проводимые непосредственно на этих частях, или при приближении к ним на расстояние менее установленного ПЭУ. К этим работам можно отнести работы по наладке отдельных узлов, блоков. При выполнении такого рода работ в электроустановках до 1000В необходимо применение определенных технических и организационных мер, таких как: ограждения расположенные вблизи рабочего места и других токоведущих частей, к которым возможно случайное прикосновение; работа в диэлектрических перчатках или стоя на диэлектрическом коврике; применение инструмента с изолирующими рукоятками, при отсутствии такого инструмента следует пользоваться диэлектрическими перчатками. Работы этого вида должны выполнятся не менее чем двумя работниками.
В соответствии с ПТЭ и ПТВ потребителям и обслуживающему персоналу электроустановок предъявляются следующие требования:
лица, не достигшие 18-летнего возраста, не могут быть допущены к работам в электроустановках;
лица не должны иметь увечий и болезней, мешающих производственной работе;
лица должны после соответствующей теоретической и практической подготовки пройти проверку знаний и иметь удостоверение на доступ к работам в электроустановках.
В ВЦ разрядные токи статического электричества чаще всего возникают при прикосновении к любому из элементов ЭВМ. Такие разряды опасности для человека не представляют, но кроме неприятных ощущений они могут привести к выходу из строя ЭВМ. Для снижения величины возникающих зарядов статического электричества в ВЦ покрытие технологических полов следует выполнять из однослойного поливинилхлоридного антистатического линолеума. Другим методом защиты является нейтрализация заряда статического электричества ионизированным газом. В промышленности широко применяются радиоактивные нитрализаторы. К общим мерам защиты от статического электричества в ВЦ можно отнести общее и местное увлажнение воздуха.
3.Обеспечение санитарно-гигиенических требований к помещениям ВЦ.
Помещения ВЦ, их размеры (площадь, объем) должны в первую очередь соответствовать количеству работающих и размещаемому в них комплекту технических средств. В них предусматриваются соответствующие параметры температуры, освещения, чистоты воздуха, обеспечивают изоляцию, от производственных шумов и т.п. Для обеспечения нормальных условий труда санитарные нормы СН245-71 устанавливают на одного работающего, объем производственного помещения не менее 15м3, площадь помещения выгороженного стенами или глухими перегородками не менее 4,5м2.
Для эксплуатации ЭВМ следует предусматривать следующие помещения:
машинный зал, помещение для размещения сервисной и периферийной аппаратуры, помещение для хранения запасных деталей, инструментов, приборов (ЗИП);
помещения для размещения приточно-вытяжных вентиляторов;
помещение для персонала;
помещение для приема-выдачи информации.
Основные помещения ВЦ располагаются в непосредственной близости друг от друга. Их оборудуют общеобменной вентиляцией и искусственным освещением. К помещению машинного зала и хранения магнитных носителей информации предъявляются особые требования. Площадь машинного зала должна соответствовать площади необходимой по заводским техническим условиям данного типа ЭВМ.
Высота зала над технологическим полом до подвесного потолка должна быть 3-3,5м. Расстояние подвесным и основным потолками при этом должно быть 0,5-0,8м. Высоту подпольного пространства принимают равной 0,2-0,6м.
В ВЦ, как правило, применяется боковое естественное освещение. Рабочие комнаты и кабинеты должны иметь естественное освещение. В остальных помещениях допускается искусственное освещение. В тех случаях, когда одного естественного освещения не хватает, устанавливается совмещенное освещение. При этом дополнительное искусственное освещение применяется не только в темное, но и в светлое время суток.
Искусственное освещение по характеру выполняемых задач делится на рабочее, аварийное, эвакуационное.
Рациональное цветовое оформление помещения направленно на улучшение санитарно-гигиенических условий труда, повышение его производительности и безопасности. Окраска помещений ВЦ влияет на нервную систему человека, его настроение и, в конечном счете, на производительность труда. Основные производственные помещения целесообразно окрашивать в соответствии с цветом технических средств. Освещение помещения и оборудования должно быть мягким, без блеска.
Снижение шума, создаваемого на рабочих местах ВЦ внутренними источниками, а также шума проникающего извне, является очень важной задачей. Снижение шума в источнике излучения можно обеспечить применением упругих прокладок между основанием машины, прибора и опорной поверхностью. В качестве прокладок используются резина, войлок, пробка, различной конструкции амортизаторы. Под настольные шумящие аппараты можно подкладывать мягкие коврики из синтетических материалов, а под ножки столов, на которых они установлены, прокладки из мягкой резины, войлока, толщиной 6-8мм. Крепление прокладок возможно путем приклейки их к опорным частям. Возможно также применение звукоизолирующих кожухов, которые не мешают технологическому процессу. Не менее важным для снижения шума в процессе эксплуатации является вопрос правильной и своевременной регулировки, смазывания и замены механических узлов шумящего оборудования.
Рациональная планировка помещения, размещения оборудования в ВЦ является важным фактором, позволяющим снизить шум при существующем оборудовании ЭВМ. При планировке ВЦ машинный зал и помещение для сервисной аппаратуры необходимо располагать в дали от шумящего и вибрирующего оборудования. Снижение уровня шума, проникающего в производственное помещение извне, может быть достигнуто увеличением звукоизоляции ограждающих конструкций, уплотнением по периметру притворов окон, дверей. Таким образом, для снижения шума создаваемого на рабочих местах внутренними источниками, а также шума, проникающего из вне следует:
ослабить шум самих источников (применение экранов, звукоизолирующих кожухов);
снизить эффект суммарного воздействия отраженных звуковых волн (звукопоглащающие поверхности конструкций);
применять рациональное расположение оборудования;
использовать архитектурно-планировочные и технологические решения изоляций источников шума.
Пожары в ВЦ представляют особую опасность, так как сопряжены с большими материальными потерями. Характерная особенность ВЦ-небольшие площади помещений. Как известно пожар может возникнуть при взаимодействии горючих веществ, окисления и источников зажигания. В помещениях ВЦ присутствуют все три основные фактора, необходимые для возникновения пожара.
Горючими компонентами на ВЦ являются: строительные материалы для акустической и эстетической отделки помещений, перегородки, двери, полы, перфокарты и перфоленты, изоляция кабелей и др.
Противопожарная защита- это комплекс организационных и технических мероприятий, направленных на обеспечение безопасности людей, на предотвращение пожара, ограничение его распространения, а также на создание условий для успешного тушения пожара. Источниками зажигания в ВЦ могут быть электронные схемы от ЭВМ, приборы, применяемые для технического обслуживания, устройства электропитания, кондиционирования воздуха, где в результате различных нарушений образуются перегретые элементы, электрические искры и дуги, способные вызвать загорания горючих материалов.
В современных ЭВМ очень высокая плотность размещения элементов электронных схем. В непосредственной близости друг от друга располагаются соединительные провода, кабели. При протекании по ним электрического тока выделяется значительное количество теплоты» При этом возможно оплавление изоляции. Для отвода избыточной теплоты от ЭВМ служат системы вентиляции и кондиционирования воздуха. При постоянном действии эти системы представляют собой дополнительную пожарную опасность. Энергоснабжение ВЦ осуществляется от трансформаторной станции и двигатель-генераторных агрегатов. На трансформаторных подстанциях особую опасность представляют трансформаторы с масляным охлаждением. В связи с этим предпочтение следует отдавать сухим трансформаторам.
Пожарная опасность двигатель-генераторных агрегатов обусловлена возможностью коротких замыканий, перегрузки, электрического искрения. Для безопасной работы необходим правильный расчет и выбор аппаратов защиты. При поведении обслуживающих, ремонтных и профилактических работ используются различные смазочные вещества, легковоспламеняющиеся жидкости, прокладываются временные электропроводники, ведут пайку и чистку отдельных узлов. Возникает дополнительная пожарная опасность, требующая дополнительных мер пожарной защиты. В частности, при работе с паяльником следует использовать несгораемую подставку с несложными приспособлениями для уменьшения потребляемой мощности в нерабочем состоянии.
Для большинства помещений ВЦ установлена категория пожарной опасности В.
Одной из наиболее важных задач пожарной защиты является защита строительных помещений от разрушений и обеспечение их достаточной прочности в условиях воздействия высоких температур при пожаре. Учитывая высокую стоимость электронного оборудования ВЦ, а также категорию его пожарной опасности, здания для ВЦ и части здания другого назначения, в которых предусмотрено размещение ЭВМ, должны быть 1 и 2 степени огнестойкости.
Для изготовления строительных конструкций используются, как правило, кирпич, железобетон, стекло, металл и другие негорючие материалы. Применение дерева должно быть ограниченно, а в случае использования необходимо пропитывать его огнезащитными составами. В ВЦ противопожарные преграды в виде перегородок из несгораемых материалов устанавливают между машинными залами.
К средствам тушения пожара, предназначенных для локализации небольших загорании, относятся пожарные стволы, внутренние пожарные водопроводы, огнетушители, сухой песок, асбестовые одеяла и т. п. В зданиях ВЦ пожарные краны устанавливаются в коридорах, на площадках лестничных клеток и входов.
Вода используется для тушения пожаров в помещениях программистов, библиотеках, вспомогательных и служебных помещениях. Применение воды в машинных залах ЭВМ, хранилищах носителей информации, помещениях контрольно-измерительных приборов ввиду опасности повреждения или полного выхода из строя дорогостоящего оборудования возможно в исключительных случаях, когда пожар принимает угрожающе крупные размеры. При этом количество воды должно быть минимальным, а устройства ЭВМ необходимо защитить от попадания воды, накрывая их брезентом или полотном.
Для тушения пожаров на начальных стадиях широко применяются огнетушители. По виду используемого огнетушащего вещества огнетушители подразделяются, на следующие основные группы.
Пенные огнетушители, применяются для тушения горящих жидкостей, различных материалов, конструктивных элементов и оборудования, кроме электрооборудования, находящегося под напряжением.
Газовые огнетушители применяются для тушения жидких и твердых веществ, а также электроустановок, находящихся под напряжением. В производственных помещениях ВЦ применяются главным образом углекислотные огнетушители, достоинством которых является высокая эффективность тушения пожара, сохранность электронного оборудования, диэлектрические свойства углекислого газа, что позволяет использовать эти огнетушители даже в том случае, когда не удается обесточить электроустановку сразу.
Для обнаружения начальной стадии загорания и оповещения службу пожарной охраны используют системы автоматической пожарной сигнализации (АПС). Кроме того, они могут самостоятельно приводить в действие установки пожаротушения, когда пожар еще не достиг больших размеров. Системы АПС состоят из пожарных извещателей, линий связи и приемных пультов (станций).
Эффективность применения систем АПС определяется правильным выбором типа извещателей и мест их установки. При выборе пожарных извещателей необходимо учитывать конкретные условия их эксплуатации: особенности помещения и воздушной среды, наличие пожарных материалов, характер возможного горения, специфику технологического процесса и т.п. В соответствии с ”Типовыми правилами пожарной безопасности для промышленных предприятий” залы ЭВМ, помещения для внешних запоминающих устройств, подготовки данных, сервисной аппаратуры, архивов, копировально-множительного оборудования и т.п. необходимо оборудовать дымовыми пожарными извещателями. В этих помещениях в начале пожара при горении различных пластмассовых, изоляционных материалов и бумажных изделий выделяется значительное количество дыма и мало теплоты. В других помещениях ВЦ, в том числе в машинных залах дизель генераторов и лифтов, трансформаторных и кабельных каналах, воздуховодах допускается применение тепловых пожарных извещателей. Объекты ВЦ кроме АПС необходимо оборудовать установками стационарного автоматического пожаротушения. Наиболее целесообразно применять в ВЦ установки газового тушения пожара, действие которых основано на быстром заполнении помещения огне тушащим газовым веществом с резким снижением содержания в воздухе кислорода.
Заключение.
В главах1 и 2 рассматривались вопросы, связанные с тем, что работники ВЦ: операторы ЭВМ, операторы по подготовке данных, программисты по прежнему подвергаются воздействию физически опасных и вредных производственных факторов таких, как повышенный уровень шумов, повышенная температура внешней среды, отсутствие или недостаток естественного света, недостаточная освещенность рабочей зоны, электрический ток, статическое электричество и др. Определялись пути решения этих проблем, чтобы обеспечить безопасные условия труда для работников BЦ. Особое внимание уделяется пожарной безопасности, так как пожары в ВЦ сопряжены с опасностью для человеческой жизни и большими материальными потерями.
Лекция 14
ОПАСНЫЕ ЗОНЫ ПРИ РАБОТЕ ПРОИЗВОДСТВЕННОГО ОБОРУДОВАНИЯ.
Опасной зоной называется пространство, в котором возможно возникновение опасного или вредного производственного фактора.
К опасным относятся зоны, расположенные рядом с не огражденными перепадами по высоте, неизолированными токоведущими частями электрооборудования, перемещающимися орудиями лова, машинами, их частями и работающими органами. Опасными зонами считаются также места, в которых производятся или хранятся вредные вещества в концентрациях выше предельно допустимых, вредные излучения и места, над которыми перемещаются грузы, в которых шум превосходит предельно допустимые нормы. Опасные зоны возникают также при разрушении тех или иных конструкций.
Опасные и вредные производственные факторы могут присутствовать постоянно, возникать периодически или появляться внезапно в результате разрушения оборудования или иных аварий. Поэтому опасные зоны по характеру действия указанных факторов могут быть как стационарными (постоянными), так и не стационарными.
Нестационарные опасные зоны обычно возникают под действием множества изменяющихся опасных факторов, предвидеть которые не всегда удается. Установить их действие возможно только при тщательном изучении обстоятельств, при которых эта зона образовалась. Для определения пространственной протяженности опасные зоны предварительно определяются ее габаритные размеры на основе монографического и топографического анализа опасных и травматических ситуаций. Степень опасности и ее показатель даже в пределах одной зоны не являются величиной постоянной во времени, так как внешние факторы периодически меняются. В зависимости от качества внешних факторов и частоты их степени. На судне в силу специфики производственного процесса значительная его часть осуществляется непосредственно в опасной зоне. Как показывает анализ промысловых расписаний 54 % рабочих мест матросов-добытчиков расположено в опасных зонах, где выполняются производственные задания.
Вся промысловая палуба во время движения сетного полотна представляет собой опасную зону, так как работающие находятся в контакте с перемещающимися орудиями лова при значительной скорости их движения. Движение может быть обусловлено самой организацией технологического процесса, но может быть и не преднамеренным, случайным, возникающим под влиянием крена судна и отсутствия креплений.
Для повышения уровня безопасности при передвижении матрос по технологическим маршрутам необходимо совершенствовать промысловое расписание, направляя усилие на исключение технологических маршрутов и рабочих мест из опасной зоны, в том числе и натянутых канатов, около перемещающихся элементов промыслового вооружения, на заливаемых участках палубы. Одним из перспективных путей повышения уровня безопасности труда в этих условиях является повышение непрерывности промысловых операций, внедрение различного рода автоматов и роботов, удлинение промысловой палубы, проводка канатов таким образом,
чтобы при их обрыве была максимально уменьшена вероятность травмирования обслуживающего персонала, сокращение площади опасной зоны.
Для профилактики несчастных случаев в опасных зонах целесообразна реализация ниже следующих мероприятий:
I). Устройство предохранительных и защитных приспособлений, блокировок, дублирующих средств безопасности на производственном оборудовании.
а) ограждение опасных зон – движущихся частей машин и механизмов, зон выделения отлетающих частиц отработанного материала, токоведущих частей электрооборудования, зон высоких температур, вредных излучений, зон, опасных в отношении взрыва, люков и других приемов, работающих площадок, расположенных на высоте,
б) предохранительные устройства: от механических перегрузок – фрикционные и пружинные муфты, шпильки, штифты и др., - от превышения давления (предохранительные и редукционные клапаны, регуляторы давления и др.), от температурных перенапряжений
(автоматические приборы, регулирующие температуру), от перемещения движущихся частей за установленные пределы (ограничители хода, автоматические выключатели подъема и т.д.), от воспламенения и взрыва различных веществ (гидравлические затворы), от перенапряжения электрического тока.
II). Усовершенствование в соответствии с правилами электробезопасности различных приспособлений для автоматического защитного отключения трансформаторных установок, камер, подстанций, линий эл. передач, систем.
III). Установка пусковых приборов и устройство приспособлений с необходимыми блокировками и сигнализацией автоматического или дистанционного управления различными двигателями, агрегатами, машинами для быстрейшей их остановки в целях обеспечения безопасности работающих.
YI). Установка приборов контроля статического электричества, измерение сопротивления изоляции, контроля взрывоопасной и газо-насыщенной среды.
Y). Устройство и усовершенствование средств сигнализации в целях совершенствования безопасности работающих на машинах и механизмах внутризаводского транспорта, на путях движения транспортных средств, на грузоподъемных устройствах, на агрегатах и оборудовании при достижении предельно-допустимых параметров в процессе производства, в холодильных камерах, в трюмах и т.д., для быстрой связи между людьми, пребывающими в разобщенных помещениях и отсеках.
YI). Установка средств телевизионного и радиоуправления технологическим процессами, подъемными и транспортными устройствами, если это вызывается требованиями безопасности.
YII). Приведение в соответствие с требованиями правил безопасности паровых, водяных, газовых, кислотных и других производственных помещений в том числе окраска и маркировка в сигнально предупреждающие и опознавательные цвета.
Оградительные и предохранительные устройства.
В целях безопасности обслуживающего персонала движущиеся части оборудования, открытые проемы и отверстия в оборудовании, через некоторые в процессе эксплуатации могут выделяться пламя, газы, пыль, лучистая теплота и др. должны быть надежно ограждены.
Эти ограждения по возможности следует изготавливать конструктивно встроенными в оборудование и они не должны препятствовать нормальной его эксплуатации.
Открывающееся или съемное ограждение особо опасных мест рекомендуется блокировать с пусковым устройством механизмов и машин, а для фиксации в открытом или закрытом положении – специальными автоматическими устройствами.
Для ограждения опасных мест, возникающих на судне в процессе промысловых работ, должны быть предусмотрены съемные леера. Нормами и правилами техники безопасности предусмотрены ограждения рабочих органов оборудования и зон их действия, доступ в которые может привести к травмированию.
Для исключения самопроизвольного перемещения органов управления оборудования должны иметься устройства, фиксирующие рукоятки, маховики, штурвалы в рабочем положении. Для экстренной остановки при несчастном случае или аварийной ситуации механизмы должны быть снабжены дублирующим выключателем.
Режущие инструменты снабженные механическим приводом обязательно оснащаются прочными конструктивными ограждениями (укрытиями), способными выдержать удары при разрушении режущего инструмента. Эти ограждения должны препятствовать проникновению к режущему инструменту или доступу рук в зону их действия, а также быть сблокированы с пусковыми – остановочными устройствами машины и станков.
У машин, встраиваемых в специализированные автоматические линии, а также у крупного оборудования при наличии двух и более рабочих мест предусматривается звуковая и световая сигнализация, предупреждающая о пуске оборудования; и аварийные кнопки «СТОП» на каждом рабочем месте.
Звуковая и световая сигнализации применяются при выполнении технологических процессов на случай достижения предельных значений времени, температуры, давления, уровня жидкости или сыпучих материалов. Предусматриваются предохранительные устройства и блокировки, срабатывающие при выходе параметра за пределы допустимых значений и автоматически устраняющих возникшую опасность.
Оборудование, в процессе работы которого возможно выделение газов, паров, аэрозолей, пыли и других вредных веществ, должны быть снабжены местными отсасывающими вентиляционными устройствами, являющиеся конструктивной частью машины, иметь герметический корпус. При этом вентиляционные и аспирационные системы необходимо блокировать с пусковыми устройствами технологического оборудования.
В машинах для разделки рыбы следует предусматривать ограждения, обеспечивающие максимальную безопасность выполнения рабочих операций, щитки, ограждающие от разбрызгивания. Рыборазделочные машины с дисковыми ножами необходимо обеспечить затачивающими приспособлениями. В комплект машин, перерабатывающих рыбу с острыми шипами, включаются вилки, пики и др. специализированные инструменты для подачи рыбы без прикосновения рук.
Основными причинами травм на рыбодобывающем оборудовании являются захваты одежды работающих подвижными частями конвейера и затягивание рук под дисковые ножи.
При забивании дисковых ножей рыбными тушами, очистку их необходимо производить при остановленной машине. Во время работы машины опасно поправлять рыбу руками в секциях конвейера вблизи ножей или загружать ее непосредственно под режущий нож.
Если загрузочные устройства имеют иглы, предназначенные для накалывания рыбы при ее подаче в машину, то они во избежание ранения рук не должны быть острыми, минимальный радиус закругления на конце иглы должен быть не менее 2 мм.
При обслуживании чешуе съемных машин, во избежание травмы рук, запрещается загружать вручную работающий барабан.
Особую опасность для травмирования рук представляют плавникорезки и головоотсекающие машины. Рабочая часть режущих инструментов этих машин должна закрываться автоматически действующими ограждениями, открывающимися на необходимую высоту или ширину во время прохождения рыбы, или неподвижным ограждением, блокированным с пусковым и тормозным устройствами.
В целях безопасности все ножевые диски филеровочных машин должны иметь радиальные ограждения с блокировками, исключающих вращение ножей без оградительных устройств.
В моечных машинах барабаны должны закрепляться легкими кожухами для предотвращения разбрызгивания. Машины для мойки банок оборудуются ограждениями, исключающими возможность ожогов обслуживающего персонала.
Блонширователи должны иметь надежную изоляцию. Наружной поверхности, мест входа и выхода пара. На них должны быть установлены термометры и предохранительные клапаны. Дверцы сушильных камер должны плотно закрываться предохранительными затворами. Паровые котлы должны быть оборудованы запорными вентилями для отключения пара, подаваемого на котел, клапаном для спуска конденсата, манометром и предохранительным подрывным клапаном.
При работе закаточных машин особую опасность представляют подающие звездочки. Основными причинами травм являются захваты одежды движущимися частями и затягивание рук под звездочку или прижатие кисти рук к закаточному патрону. Поэтому при работе на закаточных машинах опасно направлять руками банки, неправильно установленные на патроне, снимать на ходу смятую или заклинившую банку, направлять банку на конвейере вблизи узла закатки, брать руками банки после первой операции.
Закаточные машины должны иметь блокировку, обеспечивающую остановку машины в случае смятия банок.
При работе на закаточных машинах с индивидуальным приводом чаще всего наблюдаются порезы рук деформированными крышками. Поэтому необходимо работать в защищенных перчатках.
Высокие температуры и давление пара и воды в автоклаве при неправильной эксплуатации могут явиться причиной травмирования обслуживающего персонала. Для обеспечения безопасной работы автоклавы должны быть снабжены контрольно-измерительными приборами, предохранительной, редуцирующей и запорной арматурой, в том числе приспособлениями для отключения автоклава от трубопровода, подводящего пар и воду, приспособлениями для выпуска из автоклава пара и воды, а также блокирующими устройствами, исключающими возможность пуска пара при не полностью закрытой крышке или наличии в автоклаве давления выше атмосферного.
Основными видами травматизма машинистов рыбомучной установки являются захваты рук шнеками, зубьями дробилок, размельчителей, отравление ядовитыми веществами, ожог различных участков тела горячей водой: паром, нагретыми поверхностями. Для безопасной эксплуатации указанного оборудования необходимо четкое соблюдение действующих инструкций по ТЭ и ТБ.
Лекция 15
1. Системы освещения. Основные светотехнические единицы. Общие требования к производственному освещению.
2. Характеристики и расчет естественного освещения.
3. Искусственное освещение. Методы расчета.