Как было рассмотрено ранее, при изучении объектов автоматизированного управления по отдельным векторам (товары, услуги, потребление товаров и услуг), в основе лежат конкретные виды деятельности - общественно-полезной деятельности как в локальном смысле, так и в интегральном.
В этой связи первостепенное значение принадлежит глубокому пониманию существа дела.
В основе функционирования структуры любой АСУ лежат две структуры:
1. Организационная структура ОУ
2. Функциональная структура ОУ
Т.о. функциональная структура АСУ есть синтез двух отмеченных структур.
Организационные структуры организационных и административных систем.
Существует два принципиальных подхода построения таких структур:
1. Линейная структура
![]() |
Организационная структура линейного типа строится по иерархическому принципу, т.е. каждое звено нижележащего уровня подчиняется звену вышележащему.
Каждое звено вышележащего уровня, в принципе, несёт ответственность за функции нижележащих уровней.
|
|
|
В таких системах могут быть и исключения, когда один или два звена нижележащего уровня имеют подчинённость не непосредственно вышележащим уровням, а «перепрыгивают» через 1 или 2 уровня наверх.
В матричной организации какой-либо деятельности структурная единица (кафедра) выполняет работу по ряду функций (учебный процесс, научный процесс, и т.д.). В этом случае, по каждой из функций такая структурная единица подчиняется различным управляющим органам вышележащих уровней.
![]() |
Функциональная структура объекта управления.
Каждое звено организационной структуры имеет свои функции управления. Чем выше в системной иерархии организации звено, тем общее круг функций у самого низшего звена организационной структуры (исполнитель), тем уже, но конкретней его задачи.
Обычно, для систематизации функциональной структуры ОУ используется табличный способ.
Таблица 1.
![]() |
Обычно, в организационно-административных системах управления функции каждой единицы организационной структуры регламентируются должностной инструкцией. Эти должностные инструкции, отражающие функции, утверждаются руководителем вышестоящего уровня. Свод всех функциональных обязанностей в укрупнённом изложении сводится в так называемый устав.
Функциональная структура АСУ
![]() |
Как было сказано выше, функциональная структура АСУ есть синтез организационных и функциональных структур ОУ. Поэтому, внешне, схематично функциональная структура АСУ повторяет организационную структуру ОУ.В частности, АСУ банка в целом нужно генерировать директору банка. Обычно, функции заместителя директора воплощаются в отделах, подчинённых ему. Другими словами, каждый функциональный отдел имеет для себя функциональную подсистему, например «1»,...... «n».
|
|
|
В каждом отделе, обычно, выделяется круг задач - круг однотипных функций, которые получили название «комплексных задач». Отдельные операции по обработке информации для принятия элементарных решений названных задач.
Таким образом, отдельные задачи входят в конкретный комплекс задач, комплекс задач объединяется в подсистему, которые вместе и есть АСУ.
Обычно, названные задачи, комплексы задач и подсистем носят условный характер, например, п/с «Аудит» в банке, п/с «Валютные операции».
Поэтому названные подсистемы пишутся в «» в именительном падеже.
Обычно в системах управления организациями и административными объектами можно выделить типовые функции, например, «Управление кадрами», «Управление капитальными средствами», «Бухгалтерия», «Управление финансовыми потоками». Такие подсистемы получили название типовых. Для различных видов деятельности выделяют специфические подсистемы, так например, для горных предприятий (метро, шахты, карьеры) специфической системой является «Управление геолого-меркшейдерскими работами».
Метопы разработки (Ьункииональных частей АСУ.
Существуют три метода построения функциональных частей АСУ:
1. Позадачный метод
2. Функционально-процедурный (блочный) метод.
Позапачный метод разработки АСУ.
В каждой организационной единице ОУ, начиная с самой нижней, выделяются отдельные задачи, которые объединяются в комплексные задачи и подсистемы. В этом случае для каждых различных функций управления («Управление кадрами», «Управление капитальным строительством») разрабатываются задачи, начиная от функциональной части и заканчивая обеспечивающими частями (математическая часть, информационная часть, алгоритмы и т.д.)
Задачи по своей структуре в части математического описания, алгоритмов решения могут быть одинаковы. Это связано с тем, что, например, учёт имеет один и тот же алгоритм, независимо от того, что учитывают, т.е. содержание задач различно, а алгоритмы одинаковы.
В системе управления объектом множество содержательных задач гораздо больше, чем множество алгоритмов их решающих. Этот метод имеет свои преимущества и недостатки.
Положительная сторона заключается в том, что возможно разрабатывать параллельно по комплексам и по подсистемам задач.
Недостаток этого метода - значительные затраты ресурсов на их разработку (кадровых, финансовых, материальных).
Функционально-процедурный (блочный) метод построения функииональной части АСУ.
Он заключается в том, что на основе анализа функциональных задач создаются отдельные блоки, которые объединяют задачи по однородным процедурам или функциям.
В организационно-административной АСУ наибольшее распространение получили следующие функциональные процедуры:
2. учёт (статистический)
3. оперативное управление и т.д.
Например, в бизнес-планирование входят вопросы планирования основного производства, планирование финансовой деятельности, кадровое планирование и т.д.
Алгоритмы планирования (бизнес-планирования) в основе своей одинаковы и имеются готовые пакеты алгоритмов и программ бизнес-планирования.
Другим характерным примером функционально-процедурного метода являются так называемые «Автоматизированные рабочие места" (АРМ) различных специалистов, например, АРМ-экономист, -механик, -электрик. Различные АРМ представляют собой комплекс задач, обслуживающий конкретные функции, в основе которых лежат различные функциональные задачи, но единая БД, унифицированные алгоритмы и другие элементы АСУ, систематизированные под эти задачи.
|
|
|
Преимущество блочного метода разработки - он даёт возможность сэкономить ресурсы. Это связано с тем, что, независимо от функциональной структуры задачи, алгоритм используются многократно, т.е. множество функциональных задач описываются множеством алгоритмов, число которых меньше первого множества.
Недостатки блочного метода разработки заключаются в том, что он требует предварительного анализа всех функциональных задач с позиций:
· идентичности математических моделей
· идентичности информационного обеспечения
· идентичности других общесистемных вопросов.
Применение первого (позадачного) метода обычно осуществляется на начальной стадии разработки, когда ещё нет анализа всех функциональных задач. Второй метод (блочный) применяется, когда уже есть значительные наработки задач в АСУ.
Автоматизированный метод разработки функциональной части АСУ.
Потресов Д.К. «Автоматизация процессов проектирования систем управления». Учебное пособие ч.1 МГЦ М.1987г. Стр. 12-14
Математические метопы, используемые в АСУ.
В основе выбора из всего множества математических методов для использования в АСУ лежит степень структуризации (полнота структуризации) функциональных задач.
Под структуризацией будем понимать следующие моменты:
1. Структуру показателей описания математических моделей функциональных задач.
2. Известны числовые значения параметров моделей.
3. Имеются критерии или цели решений поставленных задач.
4. Имеется алгоритм решения сформулированной задачи.
При выборе математического метода решения функциональной задачи лежит следующая схема, принятия решений:
![]() |
Для выбора математического метода решения задачи используется алгоритм, представленный на рисунке, где отмечена последовательность операций.
Если правильно был определён (по степени структуризованности) класс задач и математический метод её решения, то на основе анализа (8) выполнения решения либо заканчивается процедура, либо процесс возвращается к постановке задачи и содержанию задачи (если решение не удовлетворяет).
|
|
|
Математические методы решения задач в стандартной ситуации.
В самом простом случае экономико-организационные задачи представляются в виде обработки форм входной информации в формы выходной информации.
Обычно данные представляются в виде таблицы.
Таблица А. Таблица Б.
![]() |
В этом случае входом (входные данные) являются две матрицы, которые оформлены в виде таблиц А и В. Каждая таблица имеет зоны, которые называются "шапка", где указаны конкретные реквизиты
, над которыми проводятся различные операции. Значение каждого реквизита имеет своё конкретное значение (bj), которое получило название "тело" таблицы. Матрица - таблица характеризуется некоторым оператором F (
,
), который характеризует определённые вычисления, проводимые над
в строке bj. Так описывается каждая таблица.
В случае обработки входных матриц А и В по определённому алгоритму
, решением является функционал:

В математическом смысле алгоритм
носит шаблонный характер, т.к. решается простая система уравнений. В этом случае число неизвестных в выходной таблицы меньше или равно числу уравнений в
, 
(
;
)
Такая задача является полностью структурированной - стандартной ситуацией.
Математические методы решения хорошо структурированных задач.
Наиболее распространёнными в практике функциональных задач, которые могут быть отнесены к классу хорошо структурированных, являются оптимизационные задачи. В этих задачах значение максимума (минимума) находится строго математически. Эти задачи отличаются от полностью структурированных (шаблонных) тем, что число неш-eecmwb/x больше числа ураенении, которые описыеа/от забачу. Для решения таких задач используются методы исследования операций (математические). Для оптимизации задач обычно используются методы математического программирования (линейного, нелинейного, выпуклого, невыпуклого).
Содержательная задача: получение максимальной прибыли от производства хлебопродуктов сЬиомы «Хлеб".
Математическая задача ставится следующим образом: найти вектор-план недельной прибыли производства хлеба { Xnk } при удовлетворении следующего условия:

Содержательно значение функции F(x) характеризует прибыль фирмы.
i - конкретный продукт, выпускаемый фирмой
j - конкретный завод, выпускающий продукцию
k - конкретная технология производства продукции.
Суть метода решения оптимизационных задач, где число неизвестных больше числа уравнений, заключается в том, что основное уравнение (1) добавляется дополнительными уравнениями, которые получили название «система ограничений».
Введём следующие обозначения:
Сijk - цена хлеба на i-ю продукцию на j-м предприятии k-м способом.
Хijk - план производства (за неделю) i-й продукции на j-м предприятии k-м способом.
Qi - установленный предельный уровень производства i-й продукции на комбинате.
Pijk - ограничение на выпуск i-й продукции на j-м предприятии k-м способом.
tjjkl - норматив затрат l-го ресурса (соль, сахар) на производства i-й продукции на j-м предприятии k-м способом.
kijkl - коэффициент использования l-го ресурса i-й продукции на j-м предприятии k-м способом.
Фjkl - фонд l-го ресурса на j-м предприятии для производства продукции k-м способом.
Фjkl - фонд l-го ресурса на j-м предприятии.

jkl - фонд l-го ресурса в отрасли.
Решение аналогичных задач осуществляется с использованием компьютерной техники. Это связано с тем, что все системы уравнений имеют вид рекуррентных высказываний (сумм). Для решения таких задач, в частности линейных, используются стандартные пакеты так называемых симплекс-методов.
Математические методы решения слабо структурированных задач.
В практике АСУ всё большее значение приобретают системы, где объекты представляют собой сложную гамму моделей различной природы, например, физической, химической, экономическое описание и т.д.
Такую систему необходимо представить, как целую и находить алгоритмы управления, где используются различные теории и языки.
Характерным примером слабо структурированной задачи, где описание моделей ведётся различными содержательными языками, является хозяйственный механизм управления.
![]() |
Хозяйственный механизм - есть средство управления обществом. Хозяйственный механизм может быть представлен следующими пятью типами механизмов:
1. Социальный тип механизма — это определённая социальная среда, которая оказывает мотивацию на активную роль человека в обществе.
2. Экономический тип — это рычаги, управляющие деятельностью. (цена, договорные отношения, планы, бизнес-план)
3. Организационный тип — это распределение функций и взаимоподчинённых звеньев управления в системе.
4. Правовой тип — это юридически закреплённые функции и ответственности, как внутри объекта (должностные инструкции), так и вне объекта (процессуальный, уголовный кодекс), так и на государственном уровне.
5. Информационный тип — это организация потоков информации, отбор и хранение данных, разработка альтернатив решений. В настоящее время (а возможно и никогда) не имеется аналитически зависимостей, увязывающих в единое целое все типы хозяйственного механизма, однако при управлении хозяйством необходимо учитывать влияние всех типов механизма.
В хозяйственном механизме управления решение принимает человек (ЛПР - лицо, принимающее решение).
Все рассмотренные типы механизмов являются источниками для принятия решений, которые принимает ЛПР. В принятии решений принимает участие 2 класса моделей: Концептуальная модель и Информационная модель.
Концептуальная модель - это правило, алгоритм, которые лежат в основе структуры решений. В организационно-административной системе хозяйственной деятельности концептуальная модель - это знания, навыки, опыт, интуиция человека, принимающего решение.
Информационная модель - это конкретные данные, которые наполняют концептуальную модель в конкретном, частном случае хозяйственной ситуации.
В рассмотренном ранее хозяйственном механизме управления алгоритм поведения человека (ЛПР) определяет совокупность всех типов механизма. Это совокупность получила название социально-экономический генотип ЛПР (СЭГ).
Особую роль в хозяйственном механизме управления играет информационный тип механизма. Он участвует в формировании СЭГ и одновременно даёт ЛПР конкретную частную информацию.
По мере функционирования хозяйственного объекта, уточняются все типы механизмов. Это происходит на основе анализа результативности принятых решений (обратная связь) и формирования воздействий на все типы механизмов (см. схему принятия решения - справа - развитие).
Макромодель информационного механизма управления.
Различают три типа моделей: метамодели, макромодели и микромодели.
Метамодель — это принципиальная схема различных частей системы. Характерный пример - рассмотренный хозяйственный механизм управления.
Макромодель — показывает взаимодействие отдельных элементов в какой-либо части.
Микромодель — это содержательное описание какого-либо процесса, например, экономическо-математическая модель оптимизации управления. (см. хорошо структурированную задачу)
Макромодель информационного механизма управления может быть представлена тремя следующими взаимодействующими элементами:
Потоки данных - предназначены для решения конкретных задач, необходимый организационный сбор и передачу данных в то место, где принимается решение (ЭВМ или человек).
Источником данных являются датчики информации. В технике -технические датчики (термометры, барометры,...)
В зависимости от содержания информации, может быть много источников, а следовательно и много потоков информации. Требуется организовать этот поток информации.
Отбор и хранение данных.
Для принятия решений человеком необходимо отобрать необходимое и достаточное количество информации. В частности, в одном и том же документе могут быть данные для различных задач. Требуется отобрать только те данные, которые нужны для конкретных задач.
Хранение данных.
Данные, или показатели, характеризуют состояние реального объекта в конкретный момент времени. Со временем данные меняются. Поэтому в информационном механизме необходимо осуществлять ведение данных, то есть слежение за реальным состоянием объекта во времени, а также хранить эти изменяемые данные.
Разработка альтернатив решений.
Альтернативы решений - это те привила, по которым рассчитывается решение. Этими правилами могут быть: математические модели, алгоритмы и другие формализованные операции расчёта.
Для решения конкретного круга задач необходимо организовать потоки данных, отбор и хранение данных и разработку альтернативных решений.
· Управление потоками данных
· Управление хранением данных
· Управление разработкой альтернативных решений
В перспективе, все эти элементы изменяются. Это связано с тем, что одни функциональные задачи отмирают, возникают новые задачи.
Заранее предсказать точно, каковы будут эти изменения, невозможно. Это неопределённость можно представить как возмущение по каждому из элементов:
· Синтактическое возмущение
· Семантическое возмущение
· Прагматическое возмущение
Существует наука семиотика - это наука об отображении любых объектов и процессов в знаках. Процесс этого отображения характеризуется только с трёх позиций:
1) Соответствие структурной модели структуре реального объекта или процесса. Это соответствие получило название Синтактической адекватности реального объекта или модели.
2) Соответствие параметров модели параметрам реального объекта и процесса — Семантическая адекватность.
3) Полезность построения семиотических моделей для практики оценивается Прагматической адекватностью.
Исходя из семиотики, все возмущения в информационном механизме можно представить как синтактические, семантические и прагматические возмущения.
Управление функционирования информационного механизма.
Чтобы ликвидировать неопределённость информационных механизмов по причине отмеченных возмущений, необходимо управлять управлением: УПД, УХД, УРА.
С целью уменьшить влияние семиотической неопределённости (синтактический, семантический, прагматический шум), необходимо иметь второй контур управления информационным механизмом управления.
Математические методы решения неструктурированных задач.
В том случае, когда неизвестны математические модели и алгоритмы принятия решений, ЛПР базируется на своих знаниях, опыте, интуиции, но они не всегда адекватны реальным действиям.
С этой целью разрабатываются специальные математические модели, которые позволяют формализовать интуицию и опыт человека при принятии решения. Такие задачи, где отсутствуют методы описания выработки решения, получили название неструктурированных функциональных задач
Для их решения используются математические методы, называемые искусственным интеллектом.
В этом направлении выделяются следующие отдельные группы методов решения таких задач:
Имитация творческой деятельности.
В основе (в идеологии) методов искусственного интеллекта лежит имитация творческой деятельности. В этом направлении можно выделить большой круг неструктурированных задач, которые получили своё алгоритмическое решение. К ним можно отнести: алгоритм написания музыки, стихов, доказательства теорем. Все эти задачи являются предметом творческой деятельности человека. Однако, есть теория в каждой их этих областей.
В этой связи расширение круга моделирования творческой деятельности пополняет математические методы искусственного интеллекта.
Интеллектуализация ЭВМ.
Такая технология решения функциональных задач имеет следующую последовательность операций:
1. Постановка задачи
2. Содержательное описание задачи
3. Математическая модель задачи
4. Алгоритм решения задачи
5. Программная реализация
6. Анализ решения
В современных информационных технологиях стоит задача решения функциональных задач не специалистом системщиком, а специалистом конкретной области.
В такой постановке желательно исключить позиции 3, 4 и 5.
В настоящее время широкое распространение получили специализированные автоматизированные рабочие места (АРМ). Такими АРМами могут быть места бухгалтера, операционщика в банке, электрика, механика.
В этих АРМ класс задач определён. Математические методы, алгоритмы и программы реализации известны и жёстко зашиты в системном программном обеспечении.
Последующее развитие процедур интеллектуализации ЭВМ заключается не в механическом вводе и выводе информации, а в диалогах с ЭВМ на естественном языке, близком к разговорному.
Создание роботов.
При выполнении технологической операции человеку часто приходится выполнять механические действия, например, монтаж радиоэлектронных схем, установка деталей на станок и выбор инструмента, сборка машин и т.д.
В настоящее время большинство этих операций на основании математического описания механических действий выполняются автоматически.
Интеллектуальный интерфейс.
В зависимости от сложности неструктурированости функциональных задач, имеются различные способы представления знаний и опыта человека.
Можно выделить три типа (способа) формализованного представления знаний:
1) интеллектуально-поисковые
2) расчётно-логические
3) экспертные
Интеллектуально-поисковые — в этих системах выделяют следующие формы моделей представления знаний. Продукционная модель: «если
, то
», …, «если An, то Вn».
Это значит, что если есть исходная матрица А какого-то состояния, где числовые значения равны
, то решение будет равно
.
Семантическая сеть представления знаний.
-
Каждый узел представляет сбой определенную операцию
- Дуга – последующую операцию
Уровень 1 – сходное состояние
Уровень 2 – решение
Расчётно-логические интеллектуальные системы.
Они используются для решения сложных проблем типа «Планирование производственных операций». В основе этого метода лежит параллелизм работы многих звеньев системы.
Существует три способа организации вычислений:
1) полностью централизованная система - классический последовательный алгоритм
2) полностью децентрализованная система - параллельный алгоритм решения.
3) транспьютерная система - параллельно-последовательные операции.
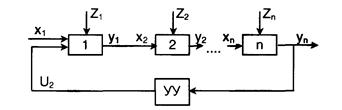
Полностью централизованная система.
Входом каждого звена является воздействие (
).
Выход каждого звена - есть вход последующего (
). Функционирование каждого звена обычно не полностью структуризировано, то есть нам не всё известно о звене. Это высказывание может быть представлено, как неконтролируемое воздействие Z на каждое звено. На основе результатов последовательных вычислений (
) управляющим устройством вырабатывается управление - команда
, поступающее на первое звено. В этой системе последовательных вычислений неопределённости предыдущих звеньев полностью распространяются на последующие, поэтому общая неопределённость в системе весьма высокая.

Преимущество последовательных алгоритмов:: простота управления выполнением операции.
Недостаток последовательных алгоритмов: высокая неопределённость результатов решения при существенных значениях неопределённости Z.
Полностью децентрализованная система.

В этих системах, в отличие от первой, каждое звено имеет своё УУ и свою управляющую команду U. Выход каждого звена соединяется с последующим входом через разрыв цепи, то есть ключ К. Функционирование системы осуществляется следующим образом: пока в каждом звене (предыдущем) не будет скомпенсировано возмущение Z, сигнал с этого звена не поступает на последующее.
Преимущество системы: в теории - полная компенсация неопределённостей, то есть результат расчёта
над входной операцией
полностью определён.
Недостатки системы: необходимо иметь столько УУ, сколько звеньев. Время расчёта определяется временем процесса компенсации возмущения в каждом индивидуальном УУ.
Транспьютерные системы управления.
В том случае, когда некоторыми неопределённостями можно пренебречь, например,
<<
,...,Zn, то нет необходимости звенья без возмущений охватывать индивидуальным УУ, например, как это сделано с блоком 2. В этом случае частично компенсируются недостатки и второго способа/

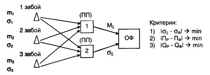
Характерным примером практики транспьютерных систем, относящихся к расчётно-логическому типу систем искусственного интеллекта, являются многокритериальные задачи.

На рисунке обозначены:
- среднее значение и дисперсия качества продукции в i-м забое. В нашем примере i =
.
ППj - промежуточные усреднительные пункты, где j = 
ОФ - обогатительная фабрика - потребитель продукции. Он предъявляет требования к качеству продукции, которая оценивается
и дисперсией
.
Задача управления качеством продукции, поступаемой заказчику (ОФ), оценивается двумя величинами: плановым объёмом Qp и суммарной дисперсией
. Ввиду того, что в каждом забое своё среднее значение и дисперсия оценки продукции, на производстве устанавливаются пункты смешения этой продукции. В каждом пункте ППj среднее значение определяется как:

Дисперсия, то есть средневзвешенная величина каждой дисперсии определяется как:

Задача управления поступлением продукции на фабрику заключается в том, чтобы выдержать «коридор» разброса продукции относительно среднего значения.
![]() |
Заказчик требует от поставщика определённое количество продукции в каждый момент времени (t) и минимальный разброс от Мо, то есть:

Одновременно поставщик должен обеспечивать минимальный простой своего оборудования:

Решение такой задачи формализовано полностью быть не может. Необходимо найти компромисс между каждым из трёх минимумов. Это делается на основе опыта человека.
ЭКСПЕРТНЫЕ СИСТЕМЫ
ЭС — это интеллектуальные системы - советчики, которые предназначены для выдачи рекомендаций в тех случаях, когда для принятия решения нужно иметь много неформализованных знаний.
Аккумулируя в себя знания многих экспертов-специалистов, они позволяют даже малоопытному ЛПР (врачу, инженеру, экономисту, технологу) работать на уровне специалистов высокой квалификации. Иногда ЭС называют системами гибридного интеллекта. Этот термин справедлив тогда, когда в принятии решения участвуют множество специалистов со своими разнородными знаниями и ЭВМ.
Интеллект ЭС заложен в алгоритмах и стратегиях логического вывода, которые были рассмотрены ранее в расчётных логических информационно-поисковых системах. Из всех типов промышленных интеллектуальных систем ЭС получили наибольшее распространение.
Общие характеристики ЭС
Чёткого определения что такое ЭС не существует, поэтому ЭС называют широкий класс систем, удовлетворяющих следующим требованиям:
- получение результатов на основе логических рассуждений и эвристики, а не строгих вычислений.
- сложность и практическая значимость решаемых задач способность приобретать знания от экспертов.
- способность объяснять решение пользователю
- дружеское общение с пользователем на близком к естественному языке
К основным типам задач, решаемых с помощью ЭС можно отнести следующие:
1. Задачи анализа (а том числе диагностики и интерпретации данных)
2. Задачи непрерывного слежения и контроля
3. Задачи бизнес-планирования, планирования производства и прогноз.
4. Задачи проектирования объектов с заданными свойствами в том случае, когда этих свойств более одного.
Типовая архитектура ЭС имеет следующий вид:

В типовой схеме представлены следующие блоки:
1. Блок интерфейса пользователя
Он обеспечивает общение с пользователем на естественном или близком к естественному языке, ввод и вывод графической информации, формирование на экране дисплея различных меню, и окон для дружественного диалога, а также связь с ОО, в том -числе с монитором, управляющим работой ЭС.
2. База знаний
Она хранит знания экспертов о предметной области. Форма представления знания может быть различной. Чаще всего используют продукционные модели.
3. Рабочая память
Она играет роль базы данных и содержит сообщённые пользователем конкретные сведения о решаемой задаче, которые позволяют означить абстрактные образы А и В в правилах и тем самым активизировать работу машины ввода.
4. Машина ввода
Этот блок иногда называют блоком логического вывода, интерпретатором, решателем, который реализует в ЭС концепцию, стратегию и алгоритм поиска решения, (концепция на основе дерева состояний или на основе дерева операций «И», «ИЛИ» с использованием метода доказательства теорем, стратегии прямой или обратной волны, алгоритма поиска в глубину или ширину).
5. Блок поддержки экспертной системы
Этот блок содержит ряд подсистем. Подсистема «отладочное средство» используется на этапе разработки и отладки системы. Она позволяет трассировать последовательность вызова и выполнение отдельных подпрограмм ЭС, а также решать контрольные и тестовые задачи. Подсистема «редактирование базы знаний» также используется на этапе исполнения ЭС и позволяет извлекать знания из экспертов, записывать их в базу знаний, соответствующе предварительной синтаксической и семантической проверке, выявлять и устранять противоречивые знания. Особую роль играет в ЭС подсистема «Объяснение решений» (блок объяснений), которая обеспечивает психологическую поддержку пользователя. Блок объяснения в современных ЭС подразделяется на несколько типов:
1) объяснение результата путём трассировки цепочки правил, которые приведены в нём.
2) встроенные объяснения, которые возникают по ходу решения, и имеющие либо пассивный характер комментария к активизированным правилам, либо активный характер с указанием необходимости вмешательства пользователя для принятия одного из альтернативных решений.
3) объяснения возможных альтернативных решений или отсутствия решения.







