Пусть случайная величина X имеет нормальное распределение с неизвестным математическим ожиданием
и известной дисперсией s2. Пусть произведено n независимых опытов и на основании статистических данных получено выборочное среднее: 
Задаем достаточно высокую доверительную вероятность g. Требуется построить доверительный интервал
. Прежде всего, заметим, что случайная величина
также имеет нормальное распределение
. Действительно,
; 
Вероятность попадания случайной величины
с нормальным законом распределения в симметричный интервал с центром в точке
и радиусом ε равен

где
– функция Лапласа.
Обозначая
, имеем Ф (t) = g/2. Затем по табл. 4 приложения находим t по значению Ф (t) = g/2; отсюда находится
:
. Таким образом, доверительный интервал имеет вид

.
Задача. Случайная величина X имеет нормальное распределение с известным s=3. Найти доверительный интервал для оценки неизвестного математического ожидания а по его выборочному среднему
, если известны объем выборки
и
.
Решение. Имеем
t =
,
.
Из табл. 4 t = 1,96. Тогда
. Таким образом,
.
2. Доверительный интервал для оценки математического ожидания
нормального распределения с неизвестным s
В отличие от предыдущего, случайная величина X имеет нормальное распределение N (a,s) с неизвестным s. Пусть произведено n независимых испытаний, построены выборочная средняя
и “исправленная” выборочная дисперсия S 2. Требуется построить доверительный интервал для оценки
математического ожидания.
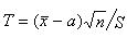
Рассмотрим случайную величину
.
Распределение является t – распределение или распределением Стьюдента с
степенями свободы.
Действительно, по определению, если
– случайная величина с нормальным распределением
, а V – случайная величина, распределенная по закону c2 с k степенями свободы, то случайная величина
распределена по закону Стьюдента с k степенями свободы.
Случайная величина
распределена по нормальному закону
. Случайная величина

распределена также по нормальному закону (как линейная функция относительно нормального аргумента
) с законом
.
Известно, что случайная величина

распределена по закону c2 с
степенями свободы. Поэтому случайная величина T распределена по закону Стьюдента.
С ростом степеней свободы распределение Стьюдента приближается к нормальному
и уже при
практически не отличается от него. Следовательно, при оценке неизвестных параметров по выборке малого объема
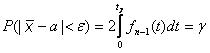
используют распределение Стьюдента При построении доверительного интервала для математического ожидания речь идет о вероятности Имеем
или с учетом
.
Обозначая
, получаем
.
Таким образом, имеем
.
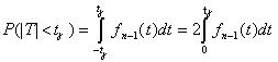
Значение
определяется по вероятности
из табл. 5 приложения распределения Стьюдента. Затем, принимая во внимание, что
, находим
. Таким образом, доверительный интервал для оценки математического ожидания с неизвестным s имеет вид
.
Задача 5.3.2. Случайная величина X имеет нормальное распределение. По выборке объемом n = 15 найдены выборочная средняя
, “исправленное” среднее квадратическое отклонение
. Определить интервальную оценку математического ожидания с доверительной вероятностью
.
Решение. По табл. 5 приложения находим
. Тогда
. По формуле (5.3.11) получим доверительный интервал
.
Замечание. Пусть производится n независимых равноточных измерений некоторой физической величины, истинное значение которой
неизвестно и которая имеет нормальное распределение. Пусть
– результаты отдельных измерений, рассматриваемые как независимые случайные величины с одним и тем распределением, и имеют одно и то же математическое ожидание (истинное значение измеряемой величины), одинаковые дисперсии s2 (измерения равноточные). В этом случае истинное значение измерений физической величины оценивается с помощью среднего выборочного
, для которого можно построить доверительный интервал (с неизвестным s) по методу, указанному в п. 2.
Задача 5.3.3. По данным 16-ти независимых равноточных измерений физической величины найдено выборочное среднее
и “исправленное” среднее квадратическое отклонение
. Требуется оценить истинное значение случайной величины с надежностью
.
Решение. Истинное значение измеряемой величины равно ее математическому ожиданию
. Поэтому задача сводится к оценке математического ожидания (при неизвестном s) для нормального распределения с помощью доверительного интервала. Доверительный интервал находится с помощью формулы (5.3.11).
Используя табл. 5 приложения по
=0,95 и
, находим
. Имеем
,
.