6.1 Влияние профилактики на коэффициент готовности СВТ
Техническое обслуживание (профилактика) включает регламентированные в КД и (или) ЭД операции по поддержанию работоспособного и исправного состояния. В техническое обслуживание входят наблюдение за состоянием оборудования, правильной его эксплуатацией, контроль технического состояния, ежедневный или периодический (с периодом, неравным дню) осмотр техники, включающий своевременное регулирование блоков и механизмов и устранение мелких неисправностей (например, отошли вилки от розеток в разъёмах сетевых и сигнальных шнуров), очистка (например, корпуса компьютера от накопившейся пыли), и т.д.
Зачастую цена, которую Вы платите за компьютер, фактически является только долей всех расходов. Стоимость жизненного цикла оборудования может быть гораздо больше, чем начальные расходы. Эта стоимость растёт очень быстро за счёт расходов на дополнительное программное обеспечение, дополнительные СВТ, приобретаемые в течение жизненного цикла, расходов на книги, на подписку на журналы, расходов на техобслуживание и ремонт. Цена обслуживания может доходить до третьей части всех расходов. Компьютеры сами не выгорают. Они изнашиваются или выводятся из строя человеком или неблагоприятными условиями работы. Если Вы неправильно пользуетесь компьютером, не защищаете его от окружающей среды, то пеняйте на себя. Несколько минут, затраченных на профилактику, окупятся многими часами исправной работы.
Влияние профилактики на коэффициент готовности СВТ однозначно просматривается из формулы (3.19) темы 3. Пусть без профилактики средняя наработка на отказ СВТ Т= 200 ч,а среднее время восстановления ТВ= 2 ч. Коэффициент готовности при этом равен 200/202=0,9901. Пусть среднедневная наработка СВТ равняется 20 часов, т.е. без профилактики отказ наступает примерно через 10 дней.
Введём ежедневно 5-минутную профилактику, что даст возможность предотвращения прогрессивного износа и предупреждения отказов СВТ и тем самым повысит среднюю наработку на отказ в 2 раза – с 200 до 400 часов. Тогда при том же ТВ коэффициент готовности СВТ увеличится с 0,9901 до 400/402=0,9951 (примерно на полпроцента). Справедливости ради при расчёте коэффициента готовности ежедневную дополнительную 5-минутную профилактику следует учесть в величине ТВ, т.е. с учётом профилактики принять ТВ= 2 + (5/60)*10=2,83 (часа). Тогда коэффициент готовности СВТ составит 400/402,83=0,9930, т.е. реальное его увеличение будет не полпроцента, а примерно 0,3 %. Такое уточнение вполне обосновано при использовании КГ для расчёта фактической производительности ПФ станка по формуле (3.22) по известной его номинальной производительности ПН и известном КГ.
6.2. Состав работ по профилактике отдельных устройств СВТ
Правильная профилактика начинается с осознания того, с чем надо бороться
Исследователи проблем профилактики СВТ полагают, что на работу компьютера влияют 6 основных факторов, характеризующих параметры внешней среды, в которой происходит эксплуатация СВТ. Эти факторы – температура окружающей среды; пыль; шумовые помехи; нарушения в силовом питании; коррозия; магнитные поля. Рассмотрим отдельно эти факторы, каждый из них может вывести из строя компьютер, а также состав работ по профилактике вредного действия этих факторов на работоспособность СВТ.
6.2.1. Первый фактор – это температура эксплуатации. Влияние этого фактора было открыто ещё в 19-м веке Сванте Аррениусом. Этот швед изучал влияние температуры на скорость протекания физико-химических реакций. Согласно закону Аррениуса, данная скорость равна
(6.00)
где А0 -– константа, зависящая oт заряда электрона, удельного сопротивления металла, времени пробега электрона между столкновениями с ионами металла, частотного коэффициента самодиффузии металла в металл; Е – энергия активации, G = 8,62*10 -5эВ/0К - газовая постоянная; Т – температура окружающей среды, 0К.
Если считать, что процесс деградации, приводящий к отказу, этотоже какой-то неизвестный физико-химический процесс, то время
, прошедшее при некоторой абсолютной температуре Т с начала эксплуатации объекта до момента
, при котором процент отказов равен некоторому заданному числу
, будет обратно пропорционально скорости V физического процесса, вызывающего отказ. Таким образом, при некоторой постоянной Вζ
(6.01)
Подставим (6.00) в (6.01):
. (6.02)
Логарифмируя (6.02), получим уравнение линии Аррениуса
, (6.03)
где
(6.04)
Из (6.03) следует, что чем выше абсолютная температура Т, тем меньше время
, при котором процент отказов равен некоторому заданному числу
. При этом степень влияния температуры зависит, во-первых, от величины коэффициента
, во-вторых, от величины коэффициента пропорциональности
в (6.03), (6.04). Последний коэффициент в свою очередь зависит от энергии активации Е деградационного процесса, так как газовая постоянная G – это константа. Таким образом, при больших Е влияние деградационного процесса на время
, будет значительным, а при малых Е – практически незаметным. Следовательно, чипы и другие устройства в компьютере чувствительны к высоким температурам при высоких энергиях активации Е деградационных процессов, приводящих к их отказам.
С помощью несложных преобразований уравнение (6.03) линии Аррениуса приводится к виду
(6.05)
где
. (6.06)
причём в (6.05) свободный член
равен свободному члену
из (6.04) при проценте отказов
, равном
=50 %, т.е.
, (6.07)
а коэффициент пропорциональности
в соответствии с (6.05) прямо пропорционален энергии активации деградационного процесса Е.
Кроме того, согласно основам теории надёжности в (6.06) предполагается, что интенсивность отказов
го ЭРЭ
(при общепринятом предположении об экспоненциальном распределении отказов ЭРЭ на стадии нормальной эксплуатации, исключающей периоды ранних отказов и старения и износа элементов) связана с нею же в номинальных условиях
и с поправочными коэффициентами по температуре
и по нагрузке
соотношением:
(6.08)
Говоря о линиях Аррениуса, следует отметить интересные результаты о влиянии температуры и нагрузки на безотказность комплектующих (электрорадиоэлементов, ЭРЭ), установленные в результате исследований группы студентов, а затем инженеров и магистрантов БГУИР, опубликованных в работах [53 – 58] – Владимира Сергеевича Будённого (выпуск ПОИТ ИИТ 2009 года), Антона Николаевича Соловьянчика (выпуск факультета телекоммуникаций БГУИР, ныне магистр технических наук).
6.2.1.1 Влияние температуры и нагрузки на безотказность комплектующих (электрорадиоэлементов, ЭРЭ). Построение линий Аррениуса вручную – трудоёмкая задача. Эти линии быстрее строить в среде Маткад методами регрессионного анализа. В первом приближении предположим, что наша регрессия – линейная. Рассчитать линейную регрессию по методу наименьших квадратов в MathCAD можно двумя альтернативными способами. Выберем наиболее простой из них – метод, который использует специальную функцию Маткада line(x,y), где x и y – соответствующие векторы экспериментальных данных (Кроме функции line(x,y) Маткад даёт возможность применить для тех же целей другие встроенные функции Маткада, однако остановимся на функции line(x,y) как наиболее простой и понятной). Пример записи вектора экспериментальных данных (третья и четвёртая строка, взятые из столбцов D и J табл. 6.1):
«…Стабилитроны кремниевые
k:=0,1
х:=(0.003355705 0.00330033 0.003246753 … 0.002512563) (6.09)
у:=(22,5558473 22,5558473 22,15038219.. 18,95853504)
Функция line(x,y) будет аппроксимировать зависимость (6.05). ример записи вектора аппроксимирующей прямой (получается в Маткаде после обработки им с помощью функции line(x,y) вектора (6.09):
, у=6,035+4,429*103*х, (6.010)
где согласно (6.05) – х=1/Т – величина, обратная температуре в градусах Кельвина.
Чтобы использовать функцию line(x,y), необходимые исходные данные надо будет обработать с помощью Microsoft Excel в виде табл. 6.1, как это сделано в прил. А, где приведены все предварительные расчёты.
Таблица 6.1 Вид таблицы для предварительной обработки исходных данных с помощью Microsoft Excel перед построением линий Аррениуса в Маткаде
| Номера строк эксельной таблицы | Температура в градусах Кельвина | Поправочный коэффициент, учитывающий влияние температуры | Столбец В, умноженный на 10-6 | 1, делённая на столбец А (величина, обратная температуре, аргумент (10)) | Натуральный лога- рифм (с минусом) столбца В | |
| Номера столбцов (A) эксельной таблицы | B | C | D | E | ||
| … | К=1 – поправочный коэффициент, учитывающий влияние электрической нагрузки | |||||
| … | ||||||
| Продолжение табл. 6.1 вниз | ||||||
| Номера столбцов (A) эксельной таблицы | B | C | D | E | ||
| 0,02 | 0,00000002 | 0,003355705 | 17,72753356 | |||
| Продолж. табл. 6.1 вправо | ||||||
| Номера строк эксельной таблицы | Поправочный коэффициент, учитывающий влияние электрической нагрузки | Натуральный логарифм (с минусом) столбца F | Интенсив- ность отказов, умноженная на 106 | Натуральный логарифм (с минусом) столбца H | Сумма столбцов Е, G, I, функция, ло- гарифм натуральный наработки до отказа | |
| Номера столбцов (F) эксельной таблицы | G | H | I | J | ||
| 0,1 | 2,302585093 | 0,2 | 1,60943791 | 21,63955657 | ||
При этом, используя табл. 6.1, следует помнить, что в столбцах Е, G, I таблиц указаны натуральные логарифмы первой (поправочный коэффициент, учитывающий влияние температуры, умноженный на 10-6), второй (поправочный коэффициент, учитывающий влияние электрической нагрузки) и третьей (интенсивность отказов, умноженная на 106). Все перечисленные логарифмы – отрицательные, но в табл. 6.1 они приведены с противоположным знаком для того, чтобы не расширять таблицы вправо за счёт знака «минус» (см. формулу (6.08). Зато логарифм натуральный наработки до отказа согласно (6.05) и (6.08) получается положительным, как и показано в столбцах J табл. 6.1 Здесь также надо отметить, что реально вышеупомянутые коэффициенты 10-6 и 106 взаимоуничтожаются, так как
10-6 * 106 =1
Исходные данные для построения линий Аррениуса в первом приближении можно взять из справочника [48]. Этот справочник построен таким образом, что все ЭРЭ, собранные в нём, разбиты примерно на десяток групп – например, полупроводниковые приборы, дроссели и трансформаторы, резисторы и конденсаторы и т.д. Каждой группе посвящён отдельный раздел справочника. Группа может делиться на подгруппы и далее на ещё более мелкие составные части.
Таблицы, в которые сведены данные справочника, делятся на 3 вида (см. табл. 6.2-6.7). Эти таблицы по своей форме являются универсальными для всех приборов. Первым видом таблиц такой универсальной формы является перечень ЭРЭ (рассмотрим, например, перечень варикапов, табл. 6.2, и перечень керамических конденсаторов, табл. 6.3). сведения о надежности которых приведены в справочнике. Изделия непосредственно разделены на виды, а для каждого вида дан ссылочный документ (ГОСТ или ТУ), по которому изделие этого вида изготавливается.
Таблица 6.2. Перечень кремниевых варикапов, сведения о надежности которых приведены в справочнике [48]
| Тип изделия | Номер - ТУ, ГОСТ |
| Варикапы кремниевые | |
| КВ109А, Б, В, Г | ТТ4.660.016 ТУ |
Таблица 2.2 Перечень керамических конденсаторов, сведения о надежности которых приведены в справочнике [48]
| Тип изделия | Номер - ТУ, ГОСТ |
| Керамические конденсаторы напряжением до 1600В | |
| К10-17 | ОЖ0.460.172 ТУ |
Варикапы, под которыми понимаются полупроводниковые диоды, принцип действия которых основан на зависимости барьерной ёмкости p-n перехода от обратного напряжения, известны давно, однако до сих пор широко применяются в радиоэлектронной промышленности. Широкий спектр варикапов для использования в селекторах каналов метрового диапазона типа СКМ 24 и дециметрового диапазона типа СКД 24 выпускает минский завод «Транзистор». Согласно каталога [21, с. 32] варикапы кремниевые КВ109А, Б, В, Г (аналог ВВ417) в соответствии с ТТ4.660.016 ТУ имеют целый ряд модификаций, которые рассчитаны на различные величины барьерных емкостей (от 1,8 до 17 пФ) и рабочую температуру (температуру эксплуатации) от -60 до +1000 С, и выпускаются в корпусах КД – 17 / КТ 46А.
Керамические конденсаторы К10-17 в соответствии с ОЖ0.460.172 ТУ, ОЖ0.460.107 ТУ предназначены для работы в цепях постоянного, переменного токов и в импульсных режимах. Их выпускает Витебское ПО «Монолит». Согласно каталога [22, с. 13] конденсаторы К10-17 имеют целый ряд модификаций (К10-17а, К10-17б, К10-17в, К10-17-4в.
Вторым видом таблиц универсальной формы являются таблицы, в которой собраны характеристики надежности ЭРЭ (интенсивности отказов
) по результатам эксплуатации (для варикапов табл. 6.4, для керамических конденсаторов табл. 6.5).
Таблица 6.4. Характеристика надежности кремниевых варикапов по результатам эксплуатации
| Группа диодов | Тсум,.млн. изд.–ч | λ *106, 1/ч |
| Варикапы кремниевые | 650,9 | 0,03 |
Таблица 6.5. Характеристика надежности керамических конденсаторов по результатам эксплуатации
| Группа конденсаторов | Тсум,.млн. изд.–ч | λ *106, 1/ч |
| Керамические конденсаторы напряжением до 1600 В | 101,0 | 0,04 |
Третьим видом таблиц универсальной формы являются таблицы, в которых приведены зависимости от температуры
(в градусах Цельсия) поправочных коэффициентов отдельных групп ЭРЭ (для варикапов табл. 6.6, для керамических конденсаторов табл. 6.7). При этом в табл. 6.6 обозначено:
— выпрямленный ток, соответствующий рабочему значению;
— предельно (максимально) допустимое значение выпрямленного тока. Отношение
представляет собой коэффициент нагрузки (поправочный коэффициент по нагрузке) варикапа. Для керамического конденсатора в табл. 6.7 обозначено:
— выпрямленный ток, соответствующий рабочему значению;
— предельно (максимально) допустимое значение выпрямленного тока. Отношение
представляют собой коэффициент нагрузки (поправочный коэффициент по нагрузке).
Данные в ячейках табл. 6.6, 6.7 представляют собой поправочные коэффициенты по температуре и нагрузке.
Таблица 6.6. Функциональные зависимости поправочных коэффициентов отдельных групп кремниевых варикапов
| Поправочный коэффициент Кр при | |||||||||
| 0,1 | 0,2 | 0,3 | 0,4 | 0,5 | 0,6 | 0,7 | 0,8 | 0,9 | 1,0 | |
| 0,021 | 0,03 | 0,05 | 0,08 | 0,13 | 0,20 | 0,32 | 0,47 | 0,73 | 1,0 | |
| 0,021 | 0,04 | 0,07 | 0,09 | 0,16 | 0,24 | 0,39 | 0,57 | 0,80 | ||
| 0,03 | 0,06 | 0,08 | 0,11? | 0,18 | 0,28 | 0,45 | 0,67 | 0,87 | ||
| И т.д. |
Таблица 6.7. Функциональные зависимости поправочных коэффициентов отдельных групп керамических конденсаторов (при обозначениях (16))
| Поправочный коэффициент Кр при | |||||||||
| 0,1 | 0,2 | 0,3 | 0,4 | 0,5 | 0,6 | 0,7 | 0,8 | 0,9 | 1,0 | |
| 0,14 | 0,17 | 0,22 | 0,28 | 0,35 | 0,44 | 0,52 | 0,66 | 0,80 | 1,00 | |
| 0,15 | 0,18 | 0,24 | 0,30 | 0,37 | 0,46 | 0,55 | 0,70 | 0,86 | 1,05 | |
| 0,16 | 0,20 | 0,26 | 0,32 | 0,40 | 0,48 | 0,60 | 0,75 | 0,92 | 1,10 | |
| И т.д. |
Из табл. 6.4 исключено приведенное в справочнике распределение отказов по видам в %. Это распределение показано в табл. 6.8.
Таблица 6.8. Распределение отказов кремниевых варикапов по видам
| Вид варикапов | Распределение отказов варикапов по видам, %. | ||||
| Обрыв | Короткое замыкание | Пробой | Параметрические | ||
| Все согласно табл. 2.1 |
Как следует из табл. 6.8, большинство отказов кремниевых варикапов имеют параметрический характер, т.е. относятся к группе постепенных отказов. А те отказы, которые являются внезапными (обрыв, короткое замыкание, пробой) скорее всего также имеют параметрический характер, который ничем не фиксируется до момента выхода параметра, определяющего работоспособность, за своё предельное (граничное) значение. Именно в этот момент и фиксируется внезапный отказ, который до этого момента был скрытым параметрическим. Таким образом, параметрический характер отказов кремниевых транзисторов полностью подтверждает правильность нашего выбора линий Аррениуса для исследования процессов приближения ЭРЭ к отказам.
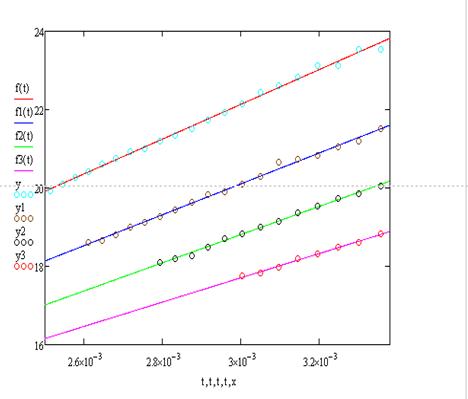
Результаты исследования безотказности кремниевых варикапов и керамических конденсаторов с помощью линий Аррениуса в среде MathCAD приведены на графиках (рис.1 и рис. 2). На каждом рисунке приведены 4 линии Аррениуса – для поправочных коэффициентов нагрузки 0,1, 0,3, 0,5 и 0,7 соответственно сверху вниз. Эти линии на графиках и в прил. Г обозначены как «у, f(t), line(x,y)» – для коэффициента 0,1, «у1, f1(t), line(x1,y1)» – для коэффициента 0,3, и т.д.

Рис. 6.1 – Линии Аррениуса для кремниевых варикапов

Рис. 6.2 – Линии Аррениуса для керамических конденсаторов с напряжением до 1600В
В принципе, любой PC в процессе нормальной работы выделяет тепло, терпимое для своих внутренних компонентов, так как слотов и вентиляционных отверстий достаточно для отвода тепла из корпуса. Остатки теплого воздуха прогоняются через блок питания встроенным вентилятором и выбрасываются наружу через заднюю панель. В случаях, когда встроенного вентилятора недостаточно, используют другие способы отвода лишнего тепла. Это, во-первых, конструкция корпуса системного блока РС. Во-вторых, это установка внешних охлаждающих вентиляторов, еслисистема при перегреве работает неустойчиво. В-третьих, это технология, использующая элементы Пельтье – к радиатору процессора крепятся пластинки Пельтье, которые отводят тепло. Считается, что элементы Пельтье – наилучший на настоящее время кулер (правда, для одного охлаждаемого компонента PC. В-четвёртых, для охлаждения серверных станций применяют жидкостное охлаждение (водяное или более дорогое фреоновое) – в этом случае радиатор охлаждаемого компонента частично погружают в жидкость, трубочки из которой соединены с охлаждающей системой. Лишнее тепло от радиатора нагревает жидкость, последняя электромотором направляется по трубочкам в охлаждающую систему, там охлаждается и снова поступает к радиатору. На таком принципе работали градирни ЕС ЭВМ, трубочки с водой которых размещались в стенах машинного зала. Теплая вода электромотором направлялась в охлаждающую систему, которая представляла собой фонтан во дворе помещения ИВЦ.
Для предотвращения неисправностей, вызываемых лишним теплом, необходимо:
если наблюдаются мерцающие ошибки, извлечь и вставить заново чипы, находящиеся в гнездах;
держать открытыми вентиляционные отверстия;
регулярно удалять пыль снаружи и изнутри компьютера (пыль затрудняет теплоотвод).
6.2.2. Второй фактор – пыль. Пыль - это грязь, а компьютер - вещь нежная. Пыль и грязь притягиваются к компьютеру и монитору зарядом статического электричества, накапливающимся на них. Кроме того, пыль сама по себе постепенно накапливает небольшое количество статического электричества. Поэтому большие ЭВМ стояли в прохладных и чистых машинных залах, требовали специального кондиционирования и спецодежды, так как выделяли больше тепла и были более чувствительны к сбоям из-за накопления пыли.
Накапливающиеся пыль и грязь изолируют устройства и мешают нормальному теплообмену. Если тепло не отводится от устройства, температура внутри элементов поднимается выше нормы, что приводит к более быстрому износу из-за повышения скорости деградационного процесса. Считается, что одна из самых больших угроз пыли заключается в том, что забивая рёбра радиаторов, она ухудшает теплоотдачу в системном блоке. Пыль и грязь, попадающие в корпус системного блока и со временем накапливающиеся в нем, рано или поздно приводят к нестабильности работы компьютера. Если внутри системного блока накопилось много пыли, то “кулеры” (вентиляторы) становятся более шумными, а компьютер из-за плохого охлаждения во время выполнения сложных задач, может подвисать. Системный блок от загрязнения способен гудеть. Пыль и грязь — это главная причина сбоев в чипах памяти.
Сильно страдают от загрязнения
компоненты системы охлаждения. В зависимости от степени загрязненности кулеров и вентиляторов их производительность может падать. Соответственно риск перегрева охлаждаемых компонентов возрастает.
Обычно самыми загрязненными местами на компьютерной технике являются монитор, клавиатура и мышка. Так, на мониторе помимо пыли и разводов можно обнаружить следы от пальцев; на клавиатуре – грязь и жирные пятна, под клавишами различные, а мышка содержит на себе грязь и уже отказывает также исправно работать и скользить по коврику для мышки. Клавиатура ПК и мышь – это те компоненты, которые чаще всего приходится использовать в работе. Со временем клавиши пачкаются, замыливаются, буквы стираются. К тому же под клавиши попадает куча различного мусора, крошки от еды, волосы и прочее, которое потом портит внешний вид, а в самых запущенных случаях и воздух. В местах скопления мусора начинает обитать множество разных микробов.
Грязь на мониторе обычно проявляется в виде пятен на его экране. Дети ли играли на компьютере или это вы тыкали в монитор пальцем, или… да мало ли что бывает! В результате и изображение на экране хуже, и вид экрана не эстетичный. Клавиатура, на которую пролили напиток, может начать работать нестабильно – некоторые клавиши либо будут залипать, либо просто не передавать соответствующие сигналы компьютеру. У грязной мыши падает точность позиционирования курсора, и она плохо скользит по столу. Проблемы и с клавиатурой, и с мышью вызывают дискомфорт у пользователя и даже способны привести к нервному срыву.
Пыль со временем может стать причиной выхода из строя DVD/CD rom'а. Система фокусировки лазера при попадании внутрь нее пыли или грязи не может обеспечить нужную степень точности. Как следствие, привод перестает нормально читать и записывать диски.
Механические устройства (например, принтеры) ломаются чаще, чем монолитные электронные устройства, потому что механические и электромеханические устройства имеют движущиеся части, которые легче загрязняются, приводя перегреву и преждевременным ошибкам. Посмотрите внутрь принтера, и вы увидите грязь и пыль, собравшуюся там. Маленькие кусочки бумаги отрываются от листов при протягивании через принтер. Эти частицы становятся препятствием для оттока тепла, выделяемого во время нормальной работы. Пыль, накапливающаяся внутри печатающих устройств, ухудшает качество подачи бумаги. Это происходит из-за того, что резиновые подающие ролики проскальзывают по листам бумаги. Кроме того, пыль вызывает падение качества печати и отрицательно сказывается на ресурсе принтера, способствуя износу механических деталей.
Считается, что некоторые компоненты ПК из-за особенностей своей конструкции не подвержены внешнему загрязнению. К ним относятся:
· Жесткие диски и SSD-накопители. Оба этих типа устройств не боятся пыли и грязи. В классических жестких дисках рабочее пространство (где вращаются магнитные пластины) герметизировано, а SSD-накопители вообще не имеют механических частей и к тому же выполнены в прочном глухом корпусе.
· Платы расширения, не имеющие кулеров (например, звуковые карты). Как правило, даже толстый слой пыли на плате расширения не сказывается на ее работоспособности.
· ЖК-мониторы. Выполненные в вертикальном корпусе и лишенные активных систем охлаждения они не накапливают в себе пыли и грязи. Единственное слабое место ЖК-мониторов – экран. Обилие пыли на нем ухудшает качество изображения, но и только.
Для борьбы с пылью и грязью могут использоваться как организационные, так и технические меры.
К организационным мероприятиям относятся:
· использование чехлов. Пластмассовые чехлы, обработанные антистатическим аэрозолем или протертые раствором смягчителя, хорошо защитят систему от пыли;
· запрет (например, повесить табличку перед входом в помещение с компьютерами) приносить в помещение твёрдую и жидкую пищу (отсюда нет залитых мышей и крошек в клавиатурах), запрет готовить и принимать пищу около компьютера;
· организация в компьютерных фирмах спецпомещений для приёма пищи (пример – «кофейни» ОАО «Топ Софт» с бесплатным кофе и бесплатными плюшками;
· вентиляционные мероприятия (например, использование пылеудаляющей системы вентиляции и указание держать окна открытыми при запылённости помещения, превышающей запылённость на улице либо наоборот, указание держать окна закрытыми при запылённости на улице, превышающей запылённость в помещении;
· использование спецодежды (белый халат, шапочка, сланцы вместо грязной обуви
К техническим мероприятиям относятся профилактические техобслуживания в части очистки ПК от пыли и грязи.
Чистка системного блока в зависимости от того, в каком состоянии он находится и сколько в нем пыли и грязи, может оказаться как трудоемким процессом, так и пятиминутным делом. Если загрязнение умеренное, можно обойтись продувкой пылесосом, если же сильное – придется частично разбирать компьютер и очищать от грязи каждый из его компонентов.
Очистка внешних панелей корпуса компьютера не вызывает особых трудностей. Если загрязнение невелико, используйте для снятия осевшей на корпус пыли либо сухие безворсовые бумажные салфетки, либо специальные салфетки из микрофибры. Для удаления стойких загрязнений корпуса следует применять универсальное чистящее средство. Просто побрызгайте из баллончика на корпус компьютера, после чего протрите его салфеткой.
Для очистки принтеров, сканеров, ЖК-мониторов и других внешних устройств используются либо салфетки из микрофибры, либо специальные чистящие средства. Особое внимание следует уделить экранам ЖК-мониторов, на которых хорошо видны разводы. Для них необходимы специальные средства – например, чистящие наборы для экранов, состоящие из очищающего спрея и салфетки из микрофибры.
Внешние пластиковые поверхности периферийных устройств можно очищать либо универсальными чистящими средствами, либо специальными спреями для пластика. Просто побрызгайте на корпус спреем и затем протрите его салфеткой. Стеклянную поверхность сканера или МФУ следует очищать влажными салфетками для ЖК-экранов
Они не оставляют разводов и хорошо удаляют загрязнения со стекла.
6.2.3. Третий фактор – шумовые помехи. Три типа шумов вызывают проблемы:
- акустический шум, действующий на пользователя;
- шум, влияющий на компьютерную систему;
- шум, влияющий на остальное электронное оборудование.
Акустический шум включает, например, крик ребенка, рев включённого на полную мощность магнитофона, громкий длительный треск принтера.
Шум как гигиенический фактор — это совокупность звуков различной частоты и интенсивности, которые воспринимаются органами слуха человека и вызывают неприятное субъективное ощущение.
Шум как физический фактор представляет собой волнообразно распространяющееся механическое колебательное движение упругой среды, носящее обычно случайный характер.
Производственным шумом называется шум на рабочих местах, на участках или на территориях предприятий, который возникает во время производственного процесса.
Следствием вредного действия производственного шума могут быть профессиональные заболевания, повышение общей заболеваемости, снижение работоспособности, повышение степени риска травм и несчастных случаев, связанных с нарушением восприятия предупредительных сигналов, нарушение слухового контроля функционирования технологического оборудования, снижение производительности труда.
По характеру нарушения физиологических функций шум разделяется на такой, который мешает (препятствует языковой связи), раздражающий (вызывает нервное напряжение и вследствие этого — снижения работоспособности, общее переутомление), вредный (нарушает физиологические функции на длительный период и вызывает развитие хронических заболеваний, которые непосредственно связаны со слуховым восприятием: ухудшение слуха, гипертония, туберкулез, язва желудка), травмирующий (резко нарушает физиологические функции организма человека).
Характер производственного шума зависит от вида его источников. Механический шум возникает в результате работы различных механизмов с неуравновешенными массами вследствие их вибрации, а также одиночных или периодических ударов в сочленениях деталей сборочных единиц или конструкций в целом (матричного принтера, например). Аэродинамический шум образуется при движении воздуха по трубопроводам, вентиляционным системам или вследствие стационарных или нестационарных процессов в газах. Гидродинамический шум возникает вследствие процессов, которые происходят в жидкостях (гидравлические удары, кавитация, турбулентность потока и т.д.).
Шум как физическое явление — это колебание упругой среды. Он характеризуется звуковым давлением как функцией частоты и времени. С физиологической точки зрения шум определяется как ощущение, которое воспринимается органами слуха во время действия на них звуковых волн в диапазоне частот 16—20 000 Гц.
Звук, который распространяется в воздушной среде, называется воздушным звуком, в твердых телах — структурным. Часть воздуха, охваченная колебательным процессом, называется звуковым полем. Свободным называется звуковое поле, в котором звуковые волны распространяются свободно, без препятствий (открытое.пространство, акустические условия в специальной заглушенной камере, облицованной звукопоглощающим материалом).
Диффузным называется звуковое поле, в котором звуковые волны поступают в каждую точку пространства с одинаковой вероятностью со всех сторон (встречается в помещениях, внутренние поверхности которых имеют высокие коэффициенты отражения звука).
В реальных условиях (помещение для компьютеров) структура звукового поля может быть качественно близкой (или промежуточной) к предельным значениям свободного или диффузного звукового поля.
Воздушный звук распространяется в виде продольных волн, то есть волн, в которых колебания частичек воздуха совпадают с направлением движения звуковой волны. Наиболее распространена форма продольных звуковых колебаний — сферическая волна. Ее излучает равномерно во все стороны источник звука, размеры которого малы по сравнению с длиной волны.
Структурный звук распространяется в виде продольных и поперечных волн. Поперечные волны отличаются от продольных тем, что колебания в них происходят в направлении, перпендикулярном направлению распространения волны.
Болевой порог — это максимальное звуковое давление, которое воспринимается ухом как звук. Давление свыше болевого порога может вызывать повреждение органов слуха. При частоте 1000 Гц в качестве болевого порога принято звуковое давление Р = 20 Н/м2.
Для более полной характеристики источников шума введено понятие звуковой энергии, которая излучается источниками шума в окружающую среду за единицу времени.
Величина потока звуковой энергии, которая проходит в течение 1 с через площадь 1 м2 перпендикулярно к направлению распространения звуковой волны, является мерой интенсивности звука или силы звука.
Силой звука характеризуется громкость. Чем больше поток энергии, который излучается источником звука, тем выше громкость. Шумовые характеристики источников шума определяются в соответствии с ГОСТ 12.1.003-86. ССБТ „Шум, общие требования безопасности".
6.2.3.1 Действие акустического шума на организм человека. Область слышимых звуков ограничивается не только определенными частотами (20—20 000 Гц), но и определенными предельными значениями звуковых давлений и их уровней. Уместно напомнить, что логарифмическая шкала уровней звукового давления построена таким образом, что пороговое значение звукового давления рд соответствует порогу слышимости (1 = 0 дБ) только на частоте 1000 Гц, принятой в качестве стандартной частоты сравнения в акустике. Порог слышимости различен для звуков разной частоты. Если в диапазоне частот 800— 4000 Гц величина порога слышимости минимальна, то по мере удаления от этой области вверх и вниз по частотной шкале его величина растет; особенно заметно увеличения порога слышимости на низких частотах. По этой причине высокочастотные звуки более неприятны для человека, чем низкочастотные (при одинаковых уровнях звукового давления).
В зависимости от уровня и характера шума, его продолжительности, а также от индивидуальных особенностей человека шум может оказывать на него различное действие. Шум, даже когда он невелик (при уровне 50—60 дБА), создает значительную нагрузку на нервную систему человека, оказывая на него психологическое воздействие. Это особенно часто наблюдается у людей, занятых умственной деятельностью. Слабый шум различно влияет на людей. Причиной этого могут быть: возраст, состояние здоровья, вид труда, физическое и душевное состояние человека в момент действия шума и другие факторы. Степень вредности какого-либо шума зависит также от того, насколько он отличается от привычного шума. Неприятное воздействие шума зависит и от индивидуального отношения к нему. Так, шум, производимый самим человеком, не беспокоит его, в то время как небольшой посторонний шум может вызвать сильный раздражающий эффект.
Известно, что ряд таких серьезных заболеваний, как гипертоническая и язвенная болезни, неврозы, в ряде случаев желудочно-кишечные и кожные заболевания, связаны с перенапряжением нервной системы в процессе труда и отдыха. Отсутствие необходимой тишины, особенно в ночное время, приводит к преждевременной усталости, а часто и к заболеваниям. В этой связи необходимо отметить, что шум в 30—40 дБА в ночное время может явиться серьезным беспокоящим фактором. С увеличением уровней до 70 дБА и выше шум может оказывать определенное физиологическое воздействие на человека, приводя к видимым изменениям в его организме.
Под воздействием шума, превышающего 85—90 дБА, в первую очередь снижается слуховая чувствительность на высоких частотах. Сильный шум вредно отражается на здоровье и работоспособности людей. Человек, работая при шуме, привыкает к нему, но продолжительное действие сильного шума вызывает общее утомление, может привести к ухудшению слуха, а иногда и к глухоте, нарушается процесс пищеварения, происходят изменения объема внутренних органов.
Воздействуя на кору головного мозга, шум оказывает раздражающее действие, ускоряет процесс утомления, ослабляет внимание и замедляет психические реакции. По этим причинам сильный шум в условиях производства может способствовать возникновению травматизма, так как на фоне этого шума не слышно сигналов транспорта, автопогрузчиков и других машин.
Эти вредные последствия шума выражены тем больше, чем сильнее шум и чем продолжительнее его действие. Таким образом, шум вызывает нежелательную реакцию всего организма человека. Патологические изменения, возникшие под влиянием шума, рассматривают как шумовую болезнь.
Звуковые колебания могут восприниматься не только ухом, но и непосредственно через кости черепа (так называемая костная проводимость). Уровень шума, передаваемого этим путем, на 20—30 дБ меньше уровня, воспринимаемого ухом. Если при невысоких уровнях передача за счет костной проводимости мала, то при высоких уровнях она значительно возрастает и усугубляет вредное действие на человека. При действии шума очень высоких уровней (более 145 дБ) возможен разрыв барабанной перепонки.
6.2.3.2 Методы и средства защиты от акустического шума. Средства защиты от шума подразделяют на средства коллективной и индивидуальной защиты. Средства коллективной защиты применяются в следующих аспектах:
Борьба с шумом в источнике его возникновения — наиболее действенный способ борьбы с шумом. Создаются малошумные устройства (например, лазерные или струйные принтеры вместо матричных).
Архитектурно-планировочный аспект коллективной защиты от шума связан с необходимостью учета требований шумозащиты в проектах планирования и застройки городов и микрорайонов. Предполагается снижение уровня шума путем использования экранов, территориальных разрывов, шумозащитных конструкций, зонирования и районирования источников и объектов защиты, защитных полос озеленения.
Организационно-технические средства защиты от шума связаны с изучением процессов шумообразования промышленных установок и агрегатов, транспортных машин, технологического и инженерного оборудования, а также с разработкой более совершенных малошумных конструкторских решений, норм предельно допустимых уровней шума станков, агрегатов, транспортных средств и т. д. (в нашем случае с разработкой более совершенных бесшумных лазерных или струйных принтеров вместо матричных). Сюда же относятся запреты на разговоры в производственных помещениях, например, по мобильнику.
Снижение шума звукоизоляцией. Суть этого метода заключается в том, что шумоизлучающий объект или несколько наиболее шумных объектов располагаются отдельно, изолировано от основного, менее шумного помещения звукоизолированной стеной или перегородкой. Звукопоглощение достигается за счет перехода колебательной энергии в теплоту вследствие потерь на трение в звукопоглотителе. Звукопоглощающие материалы и конструкции предназначены для поглощения звука как в помещениях с источником, так и в соседних помещениях. Акустическая обработка помещения предусматривает покрытие потолка и верхней части стен звукопоглощающим материалом. Эффект акустической обработки больше в низких помещениях (где высота потолка не превышает 6 м) вытянутой формы. Акустическая обработка позволяет снизить шум на 8 дБА.
Средства индивидуальной защитывключают в основном глушители шумаприменяются в основном для снижения шума различных установок и устройств, В практике борьбы с шумом используют глушители различных конструкций, выбор которых зависит от конкретных условий каждой установки, спектра шума и требуемой степени снижения шума. Глушители разделяются на абсорбционные, реактивные и комбинированные. Абсорбционные глушители, содержащие звукопоглощающий материал, поглощают поступившую в них звуковую энергию, а реактивные отражают ее обратно к источнику. В комбинированных глушителях происходит как поглощение, так и отражение звука.
6.2.3.3 Нормирование шумов. В в международной организации по стандартизации применяется принцип нормирования шума на основании предельных спектров (предельно допустимых уровней звукового давления) в октавных полосах частот. Предельные величины шума на рабочих местах регламентируются ГОСТ 12.1.003-86. В нем заложен принцип установления определенных параметров шума, исходя из классификации помещений по их использованию для трудовой деятельности различных видов.
6.2.3.4 Инфразвук — это колебание в воздухе, в жидкой или твердой средах с частотой меньше 16 Гц. Инфразвук человек не слышит, однако ощущает; он оказывает разрушительное действие на организм человека. Высокий уровень инфразвука вызывает нарушение функции вестибулярного аппарата, предопределяя головокружение, головную боль. Снижается внимание, работоспособность. Возникает чувство страха, общее недомогание. Существует мнение, что инфразвук сильно влияет на психику людей.
Все механизмы, которые работают при частотах вращения меньше 20 об/с, излучают инфразвук. При движении автомобиля со скоростью более 100 км/час он является источником инфразвука, который возникает за счет срыва воздушного потока с его поверхности. В машиностроительной отрасли инфразвук возникает при работе вентиляторов, компрессоров, двигателей внутреннего сгорания, дизельных двигателей.
Согласно действующим нормативным документам уровни звукового давления в октавных полосах со среднегеометрическими частотами 2, 4, 8, 16, Гц должен быть не больше 105 дБ, а для полос с частотой 32 Гц — не более 102 дБ. Благодаря большой длине инфразвук распространяется в атмосфере на большие расстояния. Практически невозможно остановить инфразвук при помощи строительных конструкций на пути его распространения. Неэффективны также средства индивидуальной зашиты. Действенным средством защиты является снижение уровня инфразвука в источнике его образования. Среди таких мероприятий можно выделить следующие:
· увеличение частот вращения валов до 20 и больше оборотов в секунду;
· повышение жесткости колеблющихся конструкций больших размеров;
· устранение низкочастотных вибраций;
· внесение конструктивных изменений в строение источников, что позволяет перейти из области инфразвуковых колебаний в область звуковых; в этом случае их снижение может быть достигнуто применением звукоизоляции и звукопоглощения.
6.2.3.5 Ультразвук широко используется во многих отраслях промышленности. Источниками ультразвука являются генераторы, которые работают в диапазоне частот от 12 до 22 кГц для очистки отливок, в аппаратах для очистки газов. В гальванических цехах ультразвук возникает во время работы травильных и обезжиривающих ванн. Его влияние наблюдается на расстоянии 25—50 м от оборудования. При загрузке и выгрузке деталей имеет место контактное влияние ультразвука.
Ультразвуковые генераторы используются также при плазменной и диффузионной сварке, резке металлов, при напылении металлов.
Ультразвук высокой интенсивности возникает во время удаления загрязнений, при химическом травлении, обдувке струей сжатого воздуха при очистке деталей, при сборке.
Ультразвук вызывает функциональные нарушения нервной системы, головную боль, изменения кровяного давления, состава и свойств крови, предопределяет потерю слуховой чувствительности, повышает утомляемость. Ультразвук влияет на человека через воздух, а также через жидкую и твердую среды. Ультразвуковые колебания распространяются во всех упомянутых выше средах с частотой более -16 000 Гц.
Для защиты от ультразвука, который передается через воздух, применяется метод звукоизоляции. Звукоизоляция эффективна в области высоких частот. Между оборудованием и работниками можно устанавливать экраны. Ультразвуковые установки можно располагать в специальных помещениях. Эффективным средством защиты является использование кабин с дистанционным управлением, расположение оборудования в звукоизолированных укрытиях. Для укрытий используют сталь, дюралюминий, оргстекло, текстолит, другие звукопоглощающие материалы.
Звукоизолирующие кожухи на ультразвуковом оборудовании должны иметь блокировочную систему, которая выключает преобразователи при нарушении герметичности кожуха.
6.2.3.6 Шум, который действует на компьютер и другое оборудование, может быть излучен, пропущен или воспринят. Он имеет форму электромагнитного излучения. Электромагнитный шум может быть классифицирован на высокочастотный и низкочастотный.
Наиболее эффективное средство борьбы с шумом — его предотвращение. Если вы не можете предотвратить шум, надо уменьшить его воздействие. Известно пять способов борьбы с шумом: а) фильтрация; б) экранирование; в) качественное соединение разъемов; г) улучшение проводки; д) улучшение проектирования компонент.
Обычно применяют комбинацию этих способов, хотя фильтрация и экранирование наиболее широко используются для защиты электронного оборудования. Фильтрация. включает использование конденсаторов и индуктивностей. Существует много типов фильтров, которые зависят от напряжения, тока или частоты. Например, один из фильтров предотвращает проникновение высокочастотных импульсов напряжения от импульсных источников питания в схемы.
К шумовым относятся и электромагнитные помехи (ЭМП). ЭМП — это случайные, инородные электрические сигналы, которые воздействуют на компьютер и могут вызвать ошибки в памяти или разрушить файл данных. Они могут возникнуть как дрейф источника пихания, бросок напряжения, случайные логические сигналы или перекрестные помехи в схеме.
Причинами возникновения помех могут быть старение компонентов, плохие пайки, поврежденные или окислившиеся контакты разъемов и разорванные соединения. Как противодействовать ЭМП?
Если вы не собираетесь изменять конструкцию плат, сократить ЭМП вы можете двумя путями: не давать им достигать материнской платы и плат интерфейсов; держать их внутри экранированных корпусов. Для этого используйте экранированные, заземленные кабели, фильтры и импульсные поглотители.
Наилучшую защиту дают металлические экраны. Импульсный источник питания PC — сильный источник ЭМП — заключен в металлический корпус. Чем толще экран, тем лучше эффект экранирования. Можно улучшить защиту, закрыв все неиспользуемые отверстия. Закрыть отверстия слотов можно специальными щитками.
Используйте экранированные кабели. Экран — это проводящее покрытие или оплетка вокруг проводника или группы проводников, обеспечивающие преграду электромагнитной помехе. Заземляйте экраны. Присоедините земляные провода, имеющиеся в интерфейсных кабелях некоторых периферийных устройств. Экранированный компьютер, присоединенный к плохо экранированной периферии, позволит любой помехе, возникшей внутри его, пройти через слабые места экрана. Фильтры в проводке или разъемах устранят подведенный шум.•.
Отдельный вид шумовых помех – электростатический разряд (ЭСР). Люди и предметы (стулья и столы и др.) накапливают в себе электрический заряд, или потенциал. Тело человека может накопить электрический заряд до 25000 В. Обычное явление— накопить и носить от 500 до 15000 В. Люди и предметы — носители заряда — могут потом разрядиться о заземленную поверхность другого предмета или человека. Этот электрический заряд называется статическим. Он может разрядиться о компьютер, и в этом случае могут возникнуть любые нежелательные явления. Если выполняется программа и пользователь, несущий большой электрический заряд, касается клавиши на клавиатуре, разрядная дуга найдет кратчайший путь к земле, обычно через оперативную память или процессор, и программа будет остановлена, а данные «вылетят». Экран «сойдет с ума» и высветит странные символы. Чувствительные элементы могут быть повреждены или разрушены. Даже разряд всего в 3 В достаточен для генерации ошибочного бита в большинстве логических схем.
Электростатические разряды могут быть любого напряжения. Некоторые источники глитчей (кратковременных электрических возмущений) ЭСР: движущийся человек; перегретые элементы; неверное заземление; плохо экранированные кабели; неправильно установленные экраны; неустановленные крышки и шторки; слишком близко расположенные друг к другу проводники; плохо пропаянные соединения; низкая влажность.
Как показывает табл. 6.1, некоторые электронные элементы очень чувствительны даже к относительно низковольтным разрядам.
Таблица 6.1
Напряжения, опасные для электронных компонентов
| Элементы | Опасное напряжение (минимум), В |
| КМОП микросхемы | 250—3000 |
| Диоды | 300—2500 |
| ЗППЗУ микросхемы | |
| Операционные усилители | 190—2500 |
| Резисторы | 300—3000 |
| Микросхемы Шотки (S, LS) | 1000—2500 |
| Транзисторы | 380—7000 |
| V-МОП микросхемы | 30—1800 |
Если ваш компьютер время от времени получает «ударную обработку» или тянет старую «исчезнувшую информацию», тем самым обманывая вас, вы можете решить проблему ЭСР следующими способами:
а) использовать антистатический аэрозоль для ковров, паласов и оборудования. Этот аэрозоль на мягкой тряпочке уменьшит статическое электричество и будет предупреждать его накапливание;
б) постелить под компьютером неэлектризующееся покрытие;
в) постелить антистатический коврик на пол, под стулом (распространенное решение); выполнять любую работу с чувствительными компонентами только в местах, защищенных от статического электричества; по возможности использовать антистатические напольные коврики и покрытия для рабочего места
г) мыть твердые поверхности антистатической жидкостью. Антистатическая обработка полов — хорошее, но дорогое решение и больше подходит для производственных электронных помещений. Лучшее из антистатических средств действует не более 6 месяцев;
д) установить проводящую крышку стола;
е) установить увлажнитель для поддержания влажности в помещении на уровне 50 %, '
ж) использовать неэлектризующиеся подстилки;
з) хранить микросхемы в проводящей губке;
и) прежде чем коснуться любого из электронных компонентов компьютера, например модуля памяти, снять заряд со своего тела. Это можно сделать, прикоснувшись до взаимодействия с любым из электронных компонентов к заземленному металлическому предмету (например, неокрашенной металлической поверхности панели ввода/вывода компьютера)
к) при подсоединении периферийных устройств (включая карманные компьютеры) к компьютеру непосредственно перед подсоединением следует всегда прикасаться к заземленной части и заземлять периферийное устройство. Кроме того, при работе с внутренними компонентами компьютера надо периодически прикасаться к заземленному металлическому предмету для снятия накопленного статического заряда
Вы можете устранить ЭСР, обращая внимание на статические заряды внутри и вокруг компьютера. Сделав уменьшение электростатических зарядов частью вашей ежедневной профилактической работы, вы продлите жизнь вашего компьютера
6.3. Экономические аспекты технического обслуживания и постановка задачи определения оптимального периода между профилактиками по Г.В.Дружинину
Если операции по восстановлению работоспособности являются детерминированными по своей длительности (ремонт длится ровно столько, сколько он длится), то техобслуживание и профилактику можно проводить хоть каждый день, хоть каждую смену и хоть каждый час. Надёжность от этого только возрастёт – то ли да, то ли нет, а вот расходы на техобслуживание будут возрастать прямо пропорционально длительности техобслуживания. В этих условиях логичным является задача определения оптимального периода между профилактиками.
Чтобы не делать техобслуживание ежедневно, вспомним, что работоспособность как состояние оборудования, противоположное отказу, это состояние, при котором значения всех параметров, характеризующих способность выполнять заданные функции, соответствуют требованиям нормативно-технической и (или) конструкторской (проектной) документации. Такие параметры называются параметрами, определяющими работоспособность оборудования (определяющими параметрами, ОП). Деградационный процесс приближения ОП к состоянию отказа целесообразно трактовать как случайный процесс движения к границе многомерной рабочей области совокупного векторного определяющего параметра оборудования. Координатами такого вектора являются отдельные деградационные процессы, протекающие в результате действия различных механизмов отказов. Эти процессы могут быть как обратимыми, так и необратимыми. Обратимые процессы – это те, значение ОП которых восстанавливается при регулировке оборудования. Такие процессы можно назвать процессами разрегулировки (рис. 6.1). Анализ рис. 6.1 показывает, что интервал времени (Т2 – Т1) и есть искомый оптимальный период между профилактиками (регулировками), в процессе которых регулировщик в мо- мент времени Т2 доводит величину ОП к значению в момент времени Т1. Основу случайного процесса изменения ОП во времени во многих случаях составляют долговременные необратимые случайные нестационарные изменения его величины вызванные физическими или физико-химическими процессами старения и износа. При этом именно случайные, не зависящие от времени параметры последних, обусловливают случайный характер процесса деградации. В этом случае определение на участке времени, превышающем Т1, оптимального периода (Т2 – Т1), названного Г.В.Дружининым временем начала массовых отказов, позволит через время (Т2 – Т1) начать техобслуживание совместно с заменой компонентов с изношенным ресурсом, т.е. ремонтом. Такой ремонт будет планово-предупредительным (ППР), и его объём, как показывает практика, намного меньше объёма ремонта без проведения ППР.
|
Рис. 6.1. Схема приближения ОП к границе при разрегулировке
Действительно, отказ одних компонентов влечёт за собой отказ других и объём ремонта увеличивается. Г.В.Дружинин разработал [3, 31] методики определения времени для случая линеаризации деградационных процессов, ведущих к отказам и разрегулировкам.
Линеаризация деградационных процессов удобна на практике тем, что позволяет легко провести математический анализ процессов развития отказов и найти аналитические выражения законов распределения во времени, а также отличается простотой определения статистических характеристик случайных аргументов используемых случайных функций, требуя при этом минимального количества экспериментальных данных. Однако в ряде случаев реальные процессы изменения ОП имеют явно выраженных нелинейный характер, и линеаризация таких процессов ведет к существенным ошибкам при оценке надежности. Поэтому для повышения точности оценки во многих случаях целесообразно использовать нелинейные модели процессов приближения к отказам. Следовательно, задача определения оптимального периода между профилактиками (Т2 – Т1), названного Г.В.Дружининым временем начала массовых отказов, сводится к вычислению этого оптимального периода при использовании нелинейных моделей процессов приближения к отказам.
6.4 Определение оптимального периода между профилактиками
Наиболее простыми нелинейными моделями могут быть экспоненциальные случайные функции вида (дальнейший вывод – по [7])
(6.1)
где
– случайное значение ОП при
;
– случайное начальное значение ОП;
t – текущее время;
– случайная скорость изменения логарифма ОП во времени, обладающая (м.о.)
и (с.к.о.)
.
Нелинейная модель (6.1), названная веерной экспоненциальной случайной функцией с ненулевым начальным разбросом, удобна для применения тем, что путем логарифмирования сводится к линейной:
(6.2)
Обозначим натуральный логарифм ОП новой случайной функцией
(6.3)
С учетом (4.2)выражение (4.3) перепишется в виде
(6.4)
Последнее позволяет упростить математические выкладки при анализе нелинейных процессов приближения объектов к отказам. Все реализации веерной экспоненциальной функции с ненулевым начальным разбросом имеют общую точку – неслучайный полюс
, причем
. Обозначая сдвиг полюса от оси ординат по оси абсцисс через
, аналитически эту функцию можно описать как
(6.5)
В начальный момент
значение функции (6.5) равно