Основной задачей гидродинамики является изучение законов движения жидкости. Движение жидкости характеризуется скоростями движения частиц и давлением в отдельных точках потока.
Чтобы установить взаимосвязь между основными параметрами движения, а именно между гидродинамическим давлением и скоростью движущейся жидкости, составим уравнения движения жидкости. Эти уравнения могут быть получены из дифференциальных уравнений равновесия жидкости, если к действующим силам согласно принципу д’Аламбера присоединить силы инерции. Получим систему уравнений:

(1)

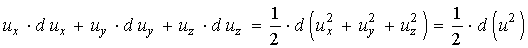
Преобразуем полученные уравнения, применительно к элементарной струйке идеальной жидкости, находящейся в установившемся движении, умножив каждое уравнение соответственно на dx, dy, dz. После почленного суммирования получаем
(2)
Так как dx, dy, dz - это проекции элементарного пути, проходимого частицами жидкости за время dt, следовательно:
(3)
С учетом (3) уравнение (2) примет вид:

(4)
Xdx + Ydy + Zdz = dF - полный дифференциал силовой функции, выражающей массовые силы, под действием которых осуществляется движение жидкости.
|
|
|
- полный дифференциал давления, так как при установившемся движении гидродинамическое давление не зависит от времени.
- полный дифференциал скорости, выраженной через ее составляющие по соответствующим осям координат.
С учетом вышесказанного уравнение (4) примет вид:
(5)
Или окончательно
(6)
В частном случае, когда из всех массовых сил на движущуюся жидкость действуют только силы тяжести, силовая функция будет равна
(7)
Подставив значение силовой функции в уравнение (6) и проинтегрировав, получим уравнение для рассматриваемого сечения:
. (8)
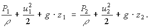
Так как сумма трех членов в уравнении (8) постоянна для любого сечения струйки, то для двух сечений 1 - 1 и 2 - 2 (рис. 1) можно записать
(9)
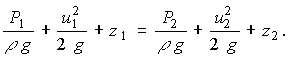
Разделив левую и правую часть уравнения (9) на g, окончательно получим:
(10)
Уравнение (10) устанавливает связь между скоростью движения, давлением и геометрическим положением частиц жидкости для двух сечений струйки и является уравнением Бернулли для элементарной струйки идеальной жидкости.
Для определения геометрического смысла уравнения Бернулли рассмотрим элементарную струйку движущейся жидкости относительно произвольно выбранной плоскости сравнения (рис. 2). Выберем три сечения: 1 - 1; 2 - 2; 3 - 3; центры тяжести которых относительно плоскости сравнения 0 - 0 расположены на высотах z1; z2; z3.
В центры тяжести выбранных сечений установим пьезометры и трубки Пито. Трубка Пито - это изогнутая под углом 900 трубка, устанавливаемая отверстием наконечника против течения. Под действием давления жидкость в пьезометрах поднимается на высоту hp = P/(r g).
|
|
|
В трубках Пито, под действием давления и скорости жидкость поднимается выше уровня в пьезометрах на высоту hu = u2/(2 g) (рис. 2).
Как видно, все члены в уравнении Бернулли представляют собой геометрические высоты и имеют размерность длины.
Так как сумма трех членов P/(r g), z и u2/(2 g) для идеальной жидкости постоянна вдоль оси струйки, то уровни жидкости в трубках Пито, установленных в различных сечениях будут всегда лежать в одной горизонтальной плоскости, называемой напорной плоскостью, т.е. напорная линия E - E (рис. 2) горизонтальна. В этом состоит геометрический смысл уравнения Бернулли для идеальной жидкости.
Если плавной кривой соединим уровни жидкости в пьезометрах, то получим пьезометрическую линию P - P (рис. 2), которая может подниматься или опускаться, но никогда не пересекается с напорной линией.
Сумма трех высот называется полным напором и обозначается Нg, т.е. полный напор представляет собой сумму пьезометрического Hp=hp+z=P/(r g)+z и скоростного hu=u2/(2 g) напоров:
(11)
С энергетической точки зрения уравнение Бернулли выражает закон сохранения энергии. Полный напор Нg - это полная удельная механическая энергия жидкости в рассматриваемом сечении. Сумма трех членов есть сумма трех удельных энергий: удельной потенциальной энергии давления P/(r g), удельной потенциальной энергии положения z, удельной кинетической энергии u2/(2 g). Для идеальной жидкости сумма трех удельных энергий (полный напор) по длине струйки есть величина постоянная.
Реальная жидкость, в отличии от идеальной, обладает вязкостью. При движении реальной жидкости ее вязкость обуславливает сопротивление движению и вызывает потерю части энергии, поэтому полный напор уменьшается по длине струйки. Следовательно, уровни жидкости в трубках Пито будут снижаться по ходу движения. Напорная линия Е - Е, проведенная по этим уровням для вязкой жидкости, будет наклонной, нисходящей. Разность между горизонтальными линиями Е - Е, проведенными на уровне жидкости в трубках Пито в сечениях 1 - 1 и 2 - 2, представляет потери напора hw на участке между этими сечениями (рис. 3).
Таким образом, для реальной жидкости можно записать
H 1 = H 2 + h w. (12)
Или в развернутом виде
(13)
Потери напора, отнесенные к единице длины, выражают величину, которая называется гидравлическим уклоном:
, (14)
где I - гидравлический уклон; l - расстояние между сечениями 1 - 1 и 2 - 2.
Величина гидравлического уклона вдоль струйки может изменяться, так как зависит от потерь напора на различных участках.
Изменение пьезометрического напора, отнесенное к единице длины, называется пьезометрическим уклоном.
, (15)
где Ip - пьезометрический уклон; l - расстояние между сечениями 1 - 1 и 2 - 2.
Пьезометрический уклон может быть направлен как в сторону движения, так и в сторону, противоположную движению.
Для потока реальной жидкости уравнение Бернулли имеет вид
(16)
где v1 и v2 - средние скорости движения жидкости в рассматриваемых сечениях; a 1 и a 2 - коэффициенты кинетической энергии, величина которых зависит от степени неравномерности распределения скоростей по живому сечению потока.
Коэффициент a
выражает отношение действительной кинетической энергии Kд, определенной по истинным скоростям движения жидкости, к условной кинетической энергии Kу, определенной по средней скорости потока v:
(17)
При турбулентном режиме движения a принимается равным 1,05- 1,1. При ламинарном режиме a = 2.
КОНТРОЛЬНЫЕ ВОПРОСЫ
1. Что такое установившееся и неустановившееся движение?
2. Какое движение жидкости называют равномерным и неравномерным?
3. Какое движение жидкости называют напорным и безнапорным?
4. Что называют элементарной струйкой, и какими свойствами она характеризуется?
5. Что называют потоком жидкости?
6. Какое установившееся движение называют плавно изменяющимся, и какими свойствами оно характеризуется?
|
|
|
7. Что такое живое сечение потока, смоченный периметр и гидравлический радиус?
8. Что называют расходом и средней скоростью потока жидкости?
9. Сформулируйте и запишите уравнение неразрывности для потока жидкости?
10. Что называют полной удельной энергией потока в произвольном сечении?
11. Запишите уравнение Бернулли для элементарной струйки идеальной жидкости?
12. Запишите уравнение Бернулли для элементарной струйки реальной жидкости?
13. Запишите уравнение Бернулли для потока реальной жидкости?
14. В чем состоит геометрический смысл уравнения Бернулли?
15. В чем состоит энергетический смысл уравнения Бернулли?
16. Что такое пьезометрический уклон?
17. Что такое гидравлический уклон?
18. Чем отличается пьезометрический уклон от гидравлического?
19. Почему напорная линия всегда нисходящая?
20. Почему пьезометрическая линия бывает нисходящей и восходящей?
21. На каком расстоянии друг от друга располагаются напорная и пьезометрическая линии?
22. Могут ли напорная и пьезометрическая линии пересекаться?
23. В каком случае пьзометрическая линия может проходить ниже оси трубопровода?
24. Как изменится расстояние между напорной и пьезометрическими линиями при увеличении расхода жидкости в трубопроводе?
25. Как изменяется площадь живого сечения вдоль потока, если расстояние между напорной и пьезометрическими линиями вдоль потока при протекании по трубопроводу жидкости с постоянным расходом увеличится?