Рисунок 12. Комбинированная структура управления
Рисунок 11. Матричная структура управления
Рисунок 10. Одна из разновидностей проектных структур управления
Рисунок 9. Дивизиональная структура управления
Рисунок 8. Линейно-штабная структура управления
Рисунок 7. Линейно-функциональная структура управления
Рисунок 6. Функциональная структура управления
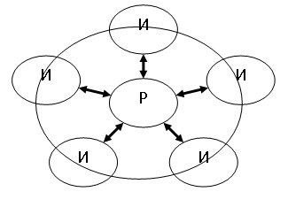
Рисунок 5. Линейная структура управления: колесо
Рисунок 4. Линейная структура управления: звезда
Рисунок 3. Линейная структура управления: кольцо
Рисунок 2. Линейная структура управления
Рисунок 1. Классификация типов организационных структур управления
Механистическая (бюрократическая) структура выступает как жесткая иерархия, как пирамида управления. Механистические структуры функционируют подобно хорошо работающей машине, механизму.
Органистические структуры получили свое название по аналогии с деятельностью живой материи, живой клетки. Они являются более гибкими и адаптивными. Для них характерно небольшое число управленческих уровней, правил и инструкций, большая самостоятельность в принятии решений на низовом уровне. В больших организациях многоуровневые ОСУ по признаку дифференциации и выделяют: "стратифицированные" и "совмещенные" структуры управления.
|
|
|
Часть деловой организации, реализующая функции управления, состоит из многих взаимодействующих звеньев и представляет собой управляющую систему, обеспечивающую в рамках организации выполнение ряда специфических функций. Напомним, что термин организация предусматривает определение порядка взаимодействия отдельных элементов, входящих в состав организационной системы.
На сегодняшний день основным принципом построения любых организационных систем - биологических, технологических, социальных - является иерархия. Термин "иерархия" в буквальном переводе с греческого - священная власть был введен в употребление полтора тысячелетия назад, в V веке нашей эры и применялся для характеристики организации христианской общины. По мере общественного развития употребление данного термина и трактовка его смысла претерпели определенные изменения. Рассмотрим применение принципа иерархии к социальным системам, в том числе и к деловым организациям.
В современной теории организации понятие "иерархия" применяется, в основном, для отражения вертикального подчинения между различными уровнями управления организацией: иерархия властных полномочий, иерархия функций и функциональных обязанностей - соответственно подчинение по службе, функциональное подчинение. С иерархией властных полномочий тесно переплетается распределение ответственности и компетенции, связанных с деятельностью организации.
|
|
|
В рамках деловой организации иерархия предусматривает распределение полномочий властного или функционального характера не только по вертикали, но и по горизонтали. Взаимодействие по горизонтали обусловлено, в частности, разделением функциональных обязанностей. Так, например, плановый и коммерческий отделы, бухгалтерия и отдел кадров находятся на одном уровне в иерархической схеме распределения властных полномочий. По роду выполняемых функций они находятся в контакте друг с другом. В схеме функционального взаимодействия это будет отражено наличием горизонтальных связей между ними.
Впервые модель четкой иерархической структуры управления была разработана в начале ХХ века немецким ученым М. Вебером в теории бюрократии, как наиболее эффективной для того времени системы управления организациями и обществом. Основным принципиальным положением теории было четкое разделение труда, из которого вытекали следующие требования к системе управления:
· использование квалифицированных специалистов на всех уровнях исполнения;
· соблюдение иерархии управления, т.е. нижестоящий уровень дол-жен подчиняться вышестоящему уровню;
· наличие формальных правил и норм для выполнения персоналом своих задач;
· разработка квалификационных требований для каждого должностного лица.
Со временем понятие "бюрократия" превратилось в нарицательный термин. Бюрократическая система утратила многие черты своей рациональности и превратилась в целый слой людей, связанных с управлением (чиновников). В настоящее время это понятие определяет тип управления, при котором работники управленческого звена ставят свои личные или корпоративные интересы выше интересов организации и государства. Такое отношение к делу способствует развитию чиновничьего диктата как в экономической сфере, так и в социальной.
В стратифицированных структурах на одном уровне управления применяется один признак, а на более низком - другой. В отличие от этого в совмещенных структурах на одном и том же уровне применяется по два и более признака дифференциации, что порождает двойное и более подчинение и приводит к матричной организации.
В первой половине ХХ века доминирующими были сначала линейные и функциональные ОСУ, а затем их комбинации. Во второй половине крупные западные корпорации стали практически повсеместно переходить к дивизиональным структурам.
В условиях рыночной экономики и острой конкурентной борьбы наиболее интенсивно развиваются структуры управления органического типа. Главным достоинством таких гибких структур является их способность быстро приспосабливаться к меняющимся внешним условиям и изменению целевых установок.
К гибким структурам можно отнести проектные и матричные структуры. Для них характерна самостоятельная работа отдельных подразделений, что дает возможность руководителям подразделений самим принимать решения и налаживать функциональные связи по горизонтали.
Несмотря на то, что иерархические структуры управления в настоящее время признаны во всем мире наиболее эффективными, они обладают рядом существенных недостатков, а именно:
· порождают между людьми отношения подчинения, зависимости экономического и социального характера;
· дают преимущественное право одним работникам принимать решения в отношении других, ставя последних в личную зависимость от первых;
· допускают, чтобы меньшинство принимало решение за большинство;
· не позволяют полностью регламентировать деятельность работника управленческого звена;
· решение ряда вопросов отдается на личное усмотрение руководителя, что может быть использовано им в корыстных целях.
|
|
|
Наличие в любой иерархической системе указанных недостатков ведет к тому, что со временем в работе деловой организации накапливается влияние отрицательных тенденций. Часто их называют патологиями системы управления по аналогии с медицинским термином, характеризующим наличие болезненных отклонений в человеческом организме. Если не принять своевременных мер по коррекции действия системы управления организацией, то начинают возникать проблемные ситуации, которые, в конечном счете, могут привести к гибели всей организации.
Преобладание в деятельности лиц, принимающих решение, мотивов приобретения, их стремление к собственному обогащению в сочетании с возможностью выбирать те решения, которые приносят им личную выгоду, ведут к развитию взяточничества и коррупции. Этот вид патологии поражает организации независимо от их размера и вида деятельности. Он встречается в органах государственного управления и даже в организациях, занимающихся решением экономических проблем на межгосударственном уровне.
Стремление менеджера деловой организации к излишнему проявлению своей власти в экономическом и социальном плане приводит к возникновению конфликтных ситуаций, которые лишают людей возможности нормально работать, отвлекают их на решение проблем, не связанных с основной целью деятельности организации. Все это в конце концов ведет к снижению производительности труда.
Основная сложность борьбы с указанными недостатками заключается в том, что они носят объективный характер и присущи любой иерархической системе управления. Тем не менее, за многие годы удалось выделить основные направления преодоления развития патологий организационных систем.
Среди них можно выделить два главных направления стратегического характера. Первое связано с необходимостью совершенствования органов государственного контроля, в том числе деятельности судебной системы, и усилением их позитивного влияния на работу деловых организаций. В рамки этого направления входит разработка законодательных актов, регулирующих экономическую деятельность. Второе - с введением в иерархическую систему управления деловых организаций методов управления, характерных для общественных организаций.
|
|
|
Очевидно, что эффективное воздействие органов государственной власти на деловые организации возможно только в том случае, если государственная система построена на принципах, препятствующих развитию негативных тенденций в системе управления самого государственного аппарата. Подобные государственные системы принято характеризовать как демократические.
Исполнительная власть в демократических системах построена на основе строгой иерархии, но контроль за ее деятельностью возлагается на демократические институты управления, которые используют коллективные принципы управления. В том числе: выборность руководителей и формирование аппарата управления на выборной основе (всеобщие выборы, тайное голосование, равноправие при выдвижении кандидатов и т.д.), равный доступ всех членов организации к информации, коллегиальный метод принятия решений.
В качестве примера использования в структурах управления деловых организаций приемов, характерных для общественных организаций, можно привести устав акционерного общества, где оговорены права общего собрания при решении некоторых ключевых вопросов управления организацией и предусмотрена выборность руководителя.
Характеризуя воздействие внешних организаций на деятельность системы управления организацией, следует также отметить, что в демократических государственных системах предусмотрена и законодательно закреплена возможность влияния общественных организаций, действующих на региональном, профессиональном, групповом или даже государственном уровне на деловые организации. Это, в частности, региональные и профессионально ориентированные профсоюзные организации, общества защиты прав потребителей, общества защиты окружающей среды и защиты животных.
При устранении недостатков иерархических структур особое значение приобретает разработка методов выявления отклонений от нормы в работе деловых организаций уже на начальном этапе их развития (диагностика заболевания по аналогии с выявлением болезней человека) и реорганизация системы управления (лечение).
Иерархические (бюрократические) структуры управления являются первыми систематически разработанными моделями организационных структур и остаются пока основными и доминирующими формами. Бюрократическая организационная структура характеризуется высокой степенью разделения труда, развитой иерархией управления, цепью команд, наличием многочисленных правил и норм поведения персонала, подбором кадров по их деловым и профессиональным качествам. Бюрократию часто называют классической или традиционной организационной структурой. Большинство современных организаций представляют собой варианты иерархических структур. Причина столь длительного и широкомасштабного использования бюрократической структуры состоит в том, что ее характеристики еще достаточно хорошо подходят для большинства промышленных фирм, организаций сферы услуг и всех видов государственных учреждений. Объективность принимаемых решений позволяет эффективно управляемой бюрократии адаптироваться к происходящим изменениям. Продвижение сотрудников на основе их компетентности позволяет обеспечивать постоянный приток в такую организацию высококвалифицированных и талантливых технических специалистов и административных работников.
Иерархические структуры управления имеют много разновидностей. При их формировании главное внимание уделялось разделению труда на отдельные функции.
К иерархическим относятся линейные и функциональные организационные структуры управления. Эти виды структур, как самостоятельные, не используются ни одним крупным предприятием ни у нас в России, ни за рубежом. И только новые компании, в самом их зачаточном состоянии, вынуждены в очень укороченный исторический период проходить тот путь, который пройден большинством зарубежных фирм почти столетие назад.
Линейная структура управления очень проста по своей сути: основным принципом построения линейной структуры является вертикальная иерархия, то есть соподчиненность звеньев управления снизу доверху. При линейной структуре управления очень четко осуществляется принцип единоначалия: во главе каждого подразделения находится руководитель, наделенный всеми полномочиями и осуществляющий единоличное руководство подчиненными ему звеньями и сосредоточивающий в своих руках все функции управления, руководители подразделений низших ступеней непосредственно подчиняются только одному руководителю более высокого уровня управления, вышестоящий орган управления не имеет права отдавать распоряжения каким-либо исполнителям, минуя их непосредственного руководителя. Данный вид структур характеризуется одномерностью связей: в них получают развитие только вертикальные связи.

Линейная организационная структура управления применима, как правило, только в низовых производственных звеньях (в группах, бригадах и т.п.), а также на малых предприятиях в начальный период их становления.
В небольших организациях с четким распределением функциональных обязанностей получили также распространение структуры в виде кольца, звезды и колеса.

Р - руководитель;
И - исполнитель


Для функциональной структуры управления характерно создание структурных подразделений, каждое из которых имеет свою четко определенную, конкретную задачу и обязанности. Следовательно, в условиях данной структуры каждый орган управления, а также исполнитель специализирован на выполнении отдельных видов управленческой деятельности (функций). Создается аппарат специалистов, отвечающих только за определенный участок работы.

В основе функциональной структуры управления лежит принцип полного распорядительства: выполнение указаний функционального органа в пределах его компетенции обязательно для подразделений.
Линейно-функциональная структура управления предусматривает функциональное разделение управленческого труда в подразделениях разных уровней и сочетание линейного и функционального принципов управления. Данная структура была самой распространенной управленческой структурой в СССР. В настоящее время она применяется в России на крупных и государственных предприятиях, за рубежом - в соединении с другими структурами. В качестве преимуществ линейно-функциональных структур, как правило, отмечают:
· стимулирование деловой и профессиональной специализации в условиях этой структуры управления;
· высокую производственную реакцию компании, так как она построена на узкой специализации производства и узкой квалификации специалистов;
· уменьшение дублирования усилий в функциональных областях.
Несмотря на самое широкое распространение линейно-функциональных структур управления, приведем целый перечень их недостатков:
· размывание разработанной стратегии развития компании: подразделения могут быть заинтересованы в реализации своих локальных целей и задач в большей степени, чем всей компании в целом, то есть ставить свои собственные цели выше целей всей компании;
· отсутствие тесных взаимосвязей и взаимодействия на горизонтальном уровне между подразделениями;
· резкое увеличение объема работы руководителя компании и его заместителей из-за необходимости согласования действий разных функциональных служб;
· чрезмерно развитая система взаимодействия по вертикали;
· утрата гибкости во взаимоотношениях работников аппарата управления из-за применения формальных правил и процедур;
· слабая инновационная и предпринимательская реакция компании с такой организационной структурой управления;
· неадекватное реагирование на требования внешней среды;
· затруднение и замедление передачи информации, что сказывается на скорости и своевременности принятия управленческих решений; цепь команд от руководителя к исполнителю становится слишком длинной, что затрудняет коммуникацию.

Линейно-штабная структура управления представляет собой комбинированную структуру, сочетающую свойства линейных и линейно-функциональных структур. Она предусматривает создание специальных подразделений (штабов) в помощь линейным руководителям для решения тех или иных задач. Эти штабы готовят руководителю проекты решений по соответствующим вопросам. Штабы не наделяются исполнительной властью. Руководитель сам принимает решение и доводит его до всех подразделений. Штабная схема наиболее целесообразна, если необходимо осуществлять линейное управление (единоначалие) по ключевым позициям организации.

Учитывая все вышеперечисленные недостатки, важно подчеркнуть, при каких условиях они сглаживаются:
· линейно-функциональные структуры управления наиболее эффективны там, где аппарат управления выполняет рутинные, часто повторяющиеся и редко меняющиеся задачи и функции, то есть в компаниях, функционирующих в условиях решения стандартных управленческих проблем;
· достоинства этих структур проявляются в управлении компаниями с массовым или крупносерийным типом производства, в компаниях, выпускающих относительно ограниченную номенклатуру продукции;
· они наиболее эффективны при хозяйственном механизме затратного типа, когда производство наименее восприимчиво к прогрессу в области науки и техники;
· линейно-функциональные структуры успешно применяются в компаниях, действующих в стабильных внешних условиях.
В настоящее время классические линейно-функциональные структуры присущи лишь мелким и части средних компаний. Они редко используются на уровне транснациональных корпораций, чаще – на уровне их подразделений за рубежом.
Для крупных компаний доминирующим стал дивизиональный подход к построению организационных структур управления.
Дивизиональные (отделенческие) структуры управления являются наиболее совершенной разновидностью организационных структур иерархического типа и часто их считают средним типом между бюрократическими и адаптивными структурами управления.
Впервые дивизиональные структуры управления появились в конце 20-х годов на предприятиях ''Дженерал Моторс'', а наибольшее распространение они получили в 60 –70-е годы ХХ века. В эти годы крупные западные корпорации стали практически повсеместно переходить к дивизиональным структурам. По некоторым оценкам, от линейно-функциональных структур к дивизиональным к середине 80-х годов в США перешли 80% всех диверсифицированных и специализированных компаний, в том числе из 500 крупнейших – 95 %. В Японии такой вид структуры применяют 45 % всех компаний.
Дивизиональные структуры возникли как реакция на недостатки линейно-функцио-нальных структур. Необходимость их реорганизации была вызвана резким увеличением размеров компаний, усложнением технологических процессов, диверсификацией и интернализацией их деятельности. В условиях динамично изменяющейся внешней среды невозможно было управлять из единого центра непохожими друг на друга или географически удаленными подразделениями компании.
Дивизиональные структуры – структуры, основанные на выделении крупных автономных производственно-хозяйственных подразделений (отделений, дивизионов) и соответствующих им уровней управления с предоставлением этим подразделениям оперативно-производственной самостоятельности и с перенесением на этот уровень ответственности за получение прибыли.
Под отделением (дивизионом) подразумевается организационная товарно-рыночная единица, имеющая внутри необходимые собственные функциональные подразделения. На отделение возлагается ответственность за производство и сбыт определенной продукции и получение прибыли, в результате чего управленческий персонал верхнего эшелона компании высвобождается для решения стратегических задач. Оперативный уровень управления, концентрирующийся на производстве конкретного продукта или на осуществлении деятельности на определенной территории, был отделен от стратегического, отвечающего за рост и развитие компании в целом. Как правило, у высшего руководства фирмы остается не более 4-6 централизованных функциональных подразделений. Высший руководящий орган компании оставляет за собой право жесткого контроля по общекорпоративным вопросам стратегии развития, научно-исследовательских разработок, финансов, инвестиций и т.п. Следовательно, для дивизиональных структур характерно сочетание централизованного стратегического планирования в верхних эшелонах управления и децентрализованной деятельности отделений, на уровне которых осуществляется оперативное управление и которые ответственны за получение прибыли. В связи с перенесением ответственности за прибыль на уровень отделений (дивизионов) они стали рассматриваться как “центры прибыли”, активно использующие предоставленную им свободу для повышения эффективности работы.

Дивизиональный подход обеспечивает более тесную связь производства с потребителями, существенно ускоряя его реакцию на изменения, происходящие во внешней среде.
Дивизиональные структуры характеризуются полной ответственностью руководителей отделений за результаты деятельности возглавляемых ими подразделений. В связи с этим важнейшее место в управлении компаниями с дивизиональной структурой занимают не руководители функциональных подразделений, а руководители, возглавляющие производственные отделения.
Структуризация компании по отделениям (дивизионам) производится, как правило, по одному из трех принципов: по продуктовому –с учетом особенностей выпускаемой продук-ции или предоставляемых услуг, в зависимости от ориентации на конкретного потребителя и по региональному – в зависимости от обслуживаемых территорий.
Дивизиональная структура основана на выделении автономных подразделений, что существенно ускоряет реакцию всей компании на изменения, происходящие во внешней среде, уменьшает сложность управления и позволяет компании уделять конкретному продукту, потребителю или региону максимальное внимание. В тоже время необходимо отметить, что в дивизиональных структурах наблюдается неэффективное использование ресурсов, дублирование функций, невысокая координация деятельности регионов. Данная структура наиболее популярна в крупных компаниях с широкой номенклатурой выпускаемой продукции.
Начиная с 60-х годов многие организации столкнулись с таким положением, когда внешние условия их деятельности менялись так быстро, проекты становились настолько сложными, а технологии развивались так стремительно, что недостатки иерархических организационных структур управления стали превышать их достоинства. Очень часто стройность традиционной (иерархической) организационной структуры замедляла взаимодействие и процедуру разработки решений до такой степени, что организация больше не могла эффективно реагировать на происходящие изменения. Чтобы организации имели возможность реагировать на изменения окружающей среды и внедрять новую технологию, были разработаны адаптивные организационные структуры.
Для адаптивных (гибких, органических) организационных структур характерно отсутствие бюрократической регламентации деятельности органов управления, отсутствие детального разделения труда по видам работ, размытость уровней управления и небольшое их количество, гибкость структуры управления, децентрализация принятия решений, индивидуальная ответственность каждого работника за общие результаты деятельности
К разновидностям структур адаптивного типа можно отнести проектные, матричные, программно-целевые, проблемно-целевые, структуры, основанные на групповом подходе (командные, проблемно-групповые, бригадные), сетевые организационные структуры.
Проектные структуры – это структуры управления комплексными видами деятельности, которые из-за решающего значения для компании требуют обеспечения непрерывного координирующего и интегрирующего воздействия при жестких ограничениях по затратам, срокам и качеству работ.
Традиционно руководитель подразделения в любой крупной компании в рамках организационной структуры иерархического типа имеет множество различных обязанностей и несет ответственность за разнообразные аспекты нескольких разных программ, проблем, проектов, видов продукции и услуг. Неизбежно, что в этих условиях, даже хороший руководитель будет на какие-то виды деятельности обращать больше внимания, а на другие – меньше. В результате - невозможность учесть все особенности, все детали проектов могут привести к самым серьезным последствиям. Поэтому для того, чтобы управлять проектами и, прежде всего, крупномасштабными, и используются специальные проектные структуры управления.
Проектные структуры в компании, как правило, применяются тогда, когда возникает необходимость разработать и осуществить организационный проект комплексного характера, охватывающий, с одной стороны, решение широкого круга специализированных технических, экономических, социальных и иных вопросов, и, с другой стороны, деятельность различных функциональных и линейных подразделений. К организационным проектам можно отнести любые процессы целенаправленных изменений в системе, например, реконструкцию производства, разработку и освоение новых видов продукции и технологических процессов, строительство объектов и т.д.
Под проектной структурой управления понимается временная структура, создаваемая для решения конкретной комплексной задачи (разработки проекта и его реализации). Смысл проектной структуры управления состоит в том, чтобы собрать в одну команду самых квалифицированных сотрудников разных профессий для осуществления сложного проекта в установленные сроки с заданным уровнем качества и в рамках выделенных для этой цели материальных, финансовых и трудовых ресурсов.
Проектная структура управления предполагает обеспечение централизованного управления всем ходом работ по каждому крупному проекту.
Существует несколько типов проектных структур. В качестве одной из их разновидностей можно привести так называемые чистые или сводные проектные структуры управления» подразумевающие формирование специального подразделения — проектной команды, работающей на временной основе.
Временная группа специалистов в сущности представляет собой уменьшенную по масштабам копию постоянной функциональной структуры данной компании. Правда, на практике эти проектные команды редко находят отражение на формальных схемах организационных структур управления. В состав временных групп включают необходимых специалистов: инженеров, бухгалтеров, руководителей производства, исследователей, а также специалистов по управлению. Руководитель проекта наделяется проектными полномочиями (полной властью и правами контроля в рамках конкретного проекта). Руководитель отвечает за все виды деятельности от начала до полного завершения проекта или какой-либо его части. В его функции входит определение концепции и целей проектного управления, формирование проектной структуры, распределение задач между специалистами, планирование и организация выполнения работ, координация действий исполнителей. Ему полностью подчинены все члены команды и все выделенные для этой цели ресурсы. В число проектных полномочий руководителя проекта входит ответственность за планирование проекта, за составление графика и ход выполнения работ, за расходование выделенных ресурсов, в том числе и за материальное поощрение работающих. После завершения работ по проекту структура распадается, а персонал переходит в новую проектную структуру или возвращается на свою постоянную должность (при контрактной работе — увольняется).

Чисто проектные структуры, как правило, используются для решения каких-либо особенно крупномасштабных задач. В случае менее крупных проектов затраты на дублирование уже существующих в компании служб в проектной структуре управления становятся нерациональными. В таких относительно небольших проектах его руководитель может выступать в качестве консультанта высшего руководства фирмы. Или же кто-нибудь из высшего руководящего состава компании координирует реализацию проекта в рамках обычной линейно-функциональной структуры. В качестве важнейших преимуществ такого вида структур управления можно назвать:
· интеграцию различных видов деятельности компании в целях получения высококачественных результатов по определенному проекту;
· комплексный подход к реализации проекта, решению проблемы;
· концентрацию всех усилий на решении одной задачи, на выполнении одного конкретного проекта;
· большую гибкость проектных структур;
· активизацию деятельности руководителей проектов и исполнителей в результате формирования проектных групп;
· усиление личной ответственности конкретного руководителя как за проект в целом, так и за его элементы.
К недостаткам проектной структуры управления можно отнести следующее:
· при наличии нескольких организационных проектов или программ проектные структуры приводят к дроблению ресурсов и заметно усложняют поддержание и развитие производственного и научно-технического потенциала компании как единого целого;
· от руководителя проекта требуется не только управление всеми стадиями жизненного цикла проекта, но и учет места проекта в сети проектов данной компании;
· формирование проектных групп, не являющихся устойчивыми образованиями, лишает работников осознания своего места в компании;
· при использовании проектной структуры возникают трудности с перспективным использованием специалистов в данной компании;
· наблюдается частичное дублирование функций.
Проектные структуры, как правило, используются для решения каких-либо особенно крупномасштабных задач. В случае менее крупных проектов затраты на дублирование уже существующих в компании служб в проектной структуре управления становятся нерациональными. В таких относительно небольших проектах его руководитель может выступать в качестве консультанта высшего руководства фирмы. Или же кто-нибудь из высшего руководящего состава компании координирует реализацию проекта в рамках обычной линейно-функциональной структуры.
Одной из наиболее сложных структур управления адаптивного типа признается матричная структура. Первоначально она была разработана в космической отрасли, применялась в электронной промышленности и в областях высоких технологий. Данные фирмы были слишком малы, чтобы оказалась эффективной проектная организация. Для того, чтобы использовать преимущества и проектных, и функциональных структур, такие фирмы, как “Дженерал Электрик”, “Доу Кемикл” и “Шелл Ойл” провели эксперименты по наложению проектной структуры на постоянную для данной организации функциональную структуру. В итоге была создана новая структура, получившая название матричной. Матричная структура возникла как реакция на необходимость проведения быстрых технологических изменений при максимально эффективном использовании высококвалифицированной рабочей силы.
Матричная структура отражает закрепление в организационном построении фирмы двух направлений руководства, двух организационных альтернатив. Вертикальное направление – управление функциональными и линейными подразделениями компании. Горизонтальное – управление отдельными проектами, программами, продуктами, для реализации которых привлекаются человеческие и иные ресурсы различных подразделений компании.
Матричная структура управления представляет собой решетчатую организацию, построенную на принципе двойного подчинения исполнителей: с одной стороны, непосредственному руководителю функциональной службы, которая предоставляет персонал и техническую помощь руководителю проекта, с другой - руководителю проекта (целевой программы), который наделен необходимыми полномочиями для осуществления процесса управления в соответствии с запланированными сроками, ресурсами и качеством. Матричная схема применяется при сложном, наукоемком производстве товаров, информации, услуг, знаний.

При такой структуре устанавливается разделение прав менеджеров, осуществляющих управление подразделениями, и менеджеров, руководящих выполнением проекта, и важнейшей задачей высшего руководящего состава компании в этих условиях становится поддержание баланса между двумя организационными альтернативами.
В связи с вышесказанным, отличительной чертой организационной структуры управления матричного типа является наличие у работников одновременно двух руководителей, обладающих равными правами. С одной стороны, исполнитель подчиняется непосредственному руководителю функциональной службы, которая наделена необходимыми проектными полномочиями для осуществления процесса управления в соответствии с запланированными сроками, выделенными ресурсами и требуемым качеством. Возникает система двойного подчинения, базирующаяся на сочетании двух принципов – функционального и проектного (продуктового).
Матричная структура чаще всего представляет собой наложение проектной структуры на постоянную для данной компании линейно-функциональную структуру управления. Очень часто такого вида структура образуется в результате постепенной модификации дивизиональной структуры, она может быть результатом наложения функциональной структуры на дивизиональную. Образуется как бы двойная структура (матрица), представляющая собой решетчатую организацию, построенную на принципе двойного подчинения исполнителей.
Основополагающим принципом в матричном подходе к построению организационных структур управления является не совершенствование деятельности отдельных структурных подразделений, а улучшение их взаимодействия в целях реализации того или иного проекта или эффективного решения определенной проблемы.
Это требование выполняется за счет того, что в матричной структуре параллельно с функциональными и линейными подразделениями создаются специальные органы (проектные группы) для решения конкретных производственных задач. Эти проектные группы формируются за счет специалистов подразделения, находящихся на различных уровнях управленческой иерархии. Таким образом, главным принципом формирования матричной структуры является развитая сеть горизонтальных связей, многочисленные пересечения которых с вертикальной иерархией образуются за счет взаимодействия руководителей проектов с руководителями функциональных и линейных подразделений
Положительными моментами проектных и матричных структур можно назвать интеграцию различных видов деятельности компании в рамках опеделенного проекта, усиление личной ответственности руководителей за проект и его элементы, получение высококачественных результатов по проектам при минимизации средств, времени. Недостатками подобных структур являются их дороговизна, сложность во внедрении и эксплуатации (особенно матричных структур), дублирование функций, отсутствие полноценного контроля по уровням управления. Проектные структуры используются как временные во многих компаниях, особенно, если полученный заказ является важным и дорогостоящим. Матричные структуры используются в качестве элементов структуры предприятия и особенно распространены в компаниях, выпускающих сложную технику и использующих передовые технологии.
Матричные структуры управления могут быть двух видов. В первом случае руководитель проекта взаимодействует с двумя группами подчиненных: с постоянными членами проектной группы и с другими работниками функциональных подразделений, которые подчиняются ему на временной основе и по ограниченному кругу вопросов. При этом сохраняется подчиненность этих исполнителей непосредственным руководителям подразделений, отделов, служб. Во втором случае руководителю проекта могут подчиняться временно только исполнители из соответствующих функциональных подразделений.
Руководители проектов в матричных структурах, также как и в рассмотренных выше проектных, обладают так называемыми проектными полномочиями. Причем эти полномочия могут выражаться в прямых противоположностях: от всеобъемлющей линейной власти над всеми деталями проекта до практически чисто консультационных полномочий. Выбор конкретного варианта определяется тем, какие права делегирует ему высшее руководство компании.
Руководители проектов в матричной структуре отвечают в челом за интеграцию всех видов деятельности и ресурсов, относящихся к данному проекту. Для того. чтобы они смогли добиться этого, все материальные и финансовые ресурсы по данному проекту передаются в их полное распоряжение. Руководители проектов сохраняют за собой право определять приоритетность и сроки решения той или иной задачи, в то время как руководители структурных подразделений могут лишь выбирать конкретного исполнителя и методику решения. Достоинствами матричной структуры являются:
· интеграция различных видов деятельности компании в рамках реализуемых проектов, программ;
· получение высококачественных результатов по большому количеству проектов, программ, продуктов;
· значительная активизация деятельности руководителей и работников управленческого аппарата в результате формирования проектных (программных) команд, активно взаимодействующих с функциональными подразделениями, усиление взаимосвязи между ними;
· вовлечение руководителей всех уровней и специалистов в сферу активной творческой деятельности по реализации организационных проектов и, прежде всего, по ускоренному техническому совершенствованию производства;
· сокращение нагрузки на руководителей высшего уровня управления путем передачи полномочий принятия решений на средний уровень при сохранении единства координации и контроля за ключевыми решениями на высшем уровне;
· усиление личной ответственности конкретного руководителя как за проект (программу) в целом, так и за его элементы;
· достижение большей гибкости и скоординированное работ, чем в линейно-функциональных и дивизиональных организационных структурах управления, т. е. лучшее и более быстрое реагирование матричной структуры на изменение внешней среды;
· преодоление внутриорганизационных барьеров, не мешая при этом развитию функциональной специализации.
Несмотря на перечисленные выше достоинства анализируемого вида структур управления, необходимо отметить скептическое отношение к нему многих специалистов и, прежде всего, практиков. Разработка матричных структур очень часто рассматривается как достижение развития управленческой теории, которое с трудом реализуется на практике. Приведем перечень недостатков матричных структур. Он получился достаточно внушительным и содержит следующие негативные моменты:
· сложность матричной структуры для практической реализации, для ее внедрения необходима длительная подготовка работников и соответствующая организационная культура;
· структура сложна, громоздка и дорога не только во внедрении, но и в эксплуатации;
· она является трудной и порой непонятной формой организации;
· в связи с системой двойного подчинения подрывается принцип единоначалия, что часто приводит к конфликтам; в рамках этой структуры порождается двусмысленность роли исполнителя и его руководителей, что создает напряжение в отношениях между членами трудового коллектива компании;
· в рамках матричной структуры наблюдается тенденция к анархии, в условиях ее действия нечетко распределены права и ответственность между ее элементами;
· для этой структуры характерна борьба за власть, т. к. в ее рамках четко не определены властные полномочия;
· для данной структуры характерны чрезмерные накладные расходы в связи с тем, что требуется больше средств для содержания большего количества руководителей, а также порой на разрешение конфликтных ситуаций;
· мешает достижению высококачественных результатов двусмысленность и потеря ответственности;
· при использовании матричной структуры возникают трудности с перспективным использованием специалистов в данной компании;
· наблюдается частичное дублирование функций;
· несвоевременно принимаются управленческие решения; как правило, характерно групповое принятие решений;
· отмечается конформизм в принятии групповых решений;
· нарушается традиционная система взаимосвязей между подразделениями;
· в условиях матричной структуры затрудняется и практически отсутствует полноценный контроль по уровням управления;
· структура считается абсолютно неэффективной в кризисные периоды.
При этом следует отметить, что переход к матричным структурам, как правило, охватывает не всю компанию, а лишь какую-то часть. И хотя существует достаточно много недостатков этого вида структур, масштабы их применения или использования отдельных элементов матричного подхода в компаниях довольно значительные.
Комбинированная структура – группирование по различным критериям.

Требования гибкости, открытости и активности, предъявляемые компаниям со стороны рынка, свидетельствуют о необходимости децентрализации управления крупными компаниями и отказа от некоторых иерархических принципов построения компании. Такие качества чрезвычайно трудно достичь в крупномасштабных и иерархически построенных и централизованно управляемых структурах. Идея скорее будет реализована, если фактическое предпринимательство будет доверено предпринимательским субъединицам, которые, продолжая оставаться частью целого организма, оказываются значительно меньшими по размеру, но оперативно более “полными”, стратегически более независимыми, более гибкими и, следовательно, более успешно функционирующими.
Таким образом, организованное управление, когда стиль управления и форма его организации ориентируются на децентрализацию внутри компании, называется “управлением подразделениями (или бизнес-еди-ницами)”. Управление подразделениями необходимо в тех ситуациях, когда на первый план выдвигается решительность, которая является главным условием выживания компании. Более широкое применение управления бизнес-единицами способствует повышению целевой ориентации компании и таким образом укрепляет ее конкурентную позицию.
Первопроходцем по созданию и использованию организационных структур управления, построенных на основе стратегических единиц-бизнеса, была компания “Дженерал электрик”. Она провела реорганизацию своих подразделений, перестроив их в “стратегические бизнес-единицы”, управляющие которых наделялись достаточно широкими полномочиями в области долгосрочного планирования, увеличения своих производственных мощностей, расширения рыночных позиций. Во второй половине 70-х годов в этой компании насчитывалось порядком 200 отделений и 43 стратегических единиц бизнеса. В дальнейшем многие компании подхватили это новшество. В конце 60-х – начале 70-х годов аналогичные процессы происходили на крупнейшем сталелитейном концерне “Юнайтед Стейтс Стил Корпорейшн”. Руководители отделений стали нести ответственность за производство, сбыт и прибыль, а сами хозрасчетные отделения получили название “центров прибыли” и приобрели известную самостоятельность в принятии решений.
Еще одним примером децентрализации и дивизионализации управления служит компания “Хьюлетт-Паккард”. Компания была создана в 1938 году и в настоящее время является одной из крупнейших в США. В 1994 году объем торговли компании составил 25 миллиардов долларов. На первое января 1995 года в компании работало 98400 человек. “Хьюлетт-Паккард” производит многономенклатурную продукцию, основные ее направления: компьютеры, цветные сканеры, принтеры, электронные калькуляторы.
В “Хьюлетт-Паккард” отказались от организации работы, когда руководитель дает сверху команду, и она опускается до рядового исполнителя и без оговорок им исполняется. Руководство компании считает, что гораздо больших успехов можно достичь, ориентируясь на людей и предоставляя им инициативу, позволяя им самим проявлять гибкость в работе и использовать методы, которые они считают нужными для выполнения заданий.
В связи с ростом компании руководство “Хьюлетт-Паккард” начало проводить политику децентрализации. В компании пришли к выводу, что число постоянных работников в дочерних фирмах не должно превышать 1500 человек. Предприятие с численностью работников более 1500 человек начинает испытывать трудности в управлении, а работники начинают терять ощущение своей причастности к производству конкретной продукции.
Исходя из этого, предприятие, в котором занято 1500 человек, делится на части, причем каждой отделившейся части предоставляются соответствующие права и ответственность. Отпочковавшимся предприятиям, как правило, предоставляется отдельная территория поблизости от головной организации.
Управление подразделениями (бизнес-единицами) особенно популярно среди крупных американских компаний. Подразделениям передается ответственность за долгосрочное планирование, увеличение мощностей, расширение рыночных позиций, производство и прибыль. Преимуществами децентрализованного подхода к управлению являются повышение скорости принятия решений и их компетентности, освобождение главного управления компании от принятия текущих решений и переключение его на стратегический уровень деятельности. Вместе с тем, возможные расхождения в понимании целей компании со стороны центра и подразделений, отсутствие полноценного контроля за деятельностью подразделения и дополнительные административно-управленческие расходы являются серьезным минусом данному процессу. Несмотря на отмеченные недостатки, масштабы децентрализации во всем мире (и особенно в США) достаточно велики в связи с широкой диверсификацией производства и ростом трудностей в управлении иерархией.
Переход от старой организационной модели, базирующейся на иерархии, к новой горизонтальной предполагает развитие интеграционных процессов, сокращение уровней управления, глобализацию бизнеса. В основе построения и функционирования компаний и их взаимодействия друг с другом будет лежать не узкая функциональная специализация, доказавшая на практике свои недостатки (увеличение числа уровней управления, большой объем усилий по координации и т.п.), а интеграционные процессы в управленческой деятельности. Даже традиционные иерархические (бюрократические) структуры управления дополняются многочисленными горизонтальными связями на различных уровнях иерархии, образуя так называемые квазииерархические структуры.
Изменятся не только сами компании, став организациями “без внутренних перегородок”, компаниями-сетями, но и традиционные связи и взаимоотношения между компаниями, что повлечет возникновение компаний “без границ”, сетей компаний.
Новая корпоративная модель, расширение кооперационных связей между конкурентами, поставщиками и потребителями, прогресс информатики, автоматизация производства и управления на основе широкого применения вычислительной техники и средств телекоммуникации изменили традиционные представления о границах компании, разрушили их замкнутость и сделали в ряде случаев малоэффективными те из них, которые основывались на структурах, обеспечивающих это качество (иерархических, механистических, бюрократических).
Следовательно, происходит переход к новой научной модели управления, в основе которой лежат интеграционные процессы в компаниях, их объединение с помощью глобальных информационных систем в стратегические альянсы и другие союзы самых разных типов.
Глобализация бизнеса, формирование стратегических альянсов, сетей из компаний, информационные сети позволяют создавать организацию, в которой любая функция и процесс реализуются на мировом уровне, что невозможно достичь в отдельно взятой компании. В результате достигается и более высокая эффективность производства, возникает обстановка взаимодоверия и взаимоответственности. Партнерство в данном случае менее формально. Компании соединяются вместе для того, чтобы использовать специфические рыночные возможности, которые для отдельно взятых компаний не существуют.
Предполагается, что в XXI веке наибольшее развитие получат новые организационные структуры управления: горизонтальные, сетевые, виртуальные, многомерные, интеллектуальные, адхократиии и другие корпорации и компании.
Горизонтальные корпорации уже сейчас демонстрируют эффективность своей деятельности. Многие транснациональные корпорации, такие как “Вольво”, “Боинг”, “ДюПон” стремятся заменить свои модели на новые горизонтальные структуры. Несмотря на различия организационных моделей, лежащих в основе построения компаний горизонтального типа, можно выделить некоторые общие характеристические признаки, наличие которых позволяет говорить о создании горизонтальной корпорации:
постепенное сокращение числа задач, обусловленных внутренними факторами, сдвиг к наиболее полному удовлетворению интересов заказчика. Такая организационная структура горизонтальной корпорации формируется вокруг базовых процессов со специфическими целями в каждом из них (например, прогнозирование рыночного спроса на данный продукт). Горизонтальная корпорация, как правило, строится вокруг трех-пяти базовых процессов:
· горизонтальная корпорация представляет собой плоскую иерархию, при этом сокращается вертикальное администрирование, сочетаются фрагментарные задачи. Предполагается, что возможен полный отказ от иерархии и обособления функциональных и штабных органов;
· выявляются и устраняются работы, которые не обеспечивают получение добавленной стоимости;
· происходит минимизация деятельности внутри каждого базового процесса;
· основными единицами горизонтальной корпорации становятся автономные межфункциональные самоуправляемые рабочие группы (команды), каждая из которых имеет определенную цель, осуществляет четкий контроль достижения этих целей. Подобные комплексные бригады способны охватить весь спектр требований заказчиков и самостоятельно решить основные проблемы взаимоотношений с ними, что далеко не всегда осуществимо в рамках обычного однородного подразделения компании;
· используется минимально возможное количество автономных групп (команд) для осуществления соответствующих базовых процессов;
· основным критерием эффективности деятельности компании становится не ее прибыльность или котировка акций компании, а степень удовлетворения потребностей конкретных потребителей.
Специалистами предполагается, что в законченном виде горизонтальная корпорация будет иметь лишь несколько менеджеров высшего звена, в ведении которых будут централизованные функции финансов и управления персоналом. Концепция горизонтального предприятия в наибольшей степени затрагивает деятельность менеджеров среднего звена, обычно координирующих работу отделов и служб. По мере сокращения средних управленческих уровней менеджеры должны выполнять больший объем работ меньшими силами. Такая организационная структура сможет обходиться максимум тремя или четырьмя промежуточными уровнями управления, осуществляющими руководство базовыми процессами. Персонал горизонтальной корпорации будет работать совместно в автономных группах (командах) над решением кардинальных вопросов, например, над созданием новой продукции или развитием сбытовой сети. Главной задачей автономных групп станет наиболее полное удовлетворение потребностей конкретного покупателя.
К основным преимуществам организационных структур горизонтального типа относятся: мобилизация всех ресурсов компании, сокращение нерациональных затрат, возросшая гибкость компании.
Переход к современным методам управления неразрывно связан с сетевыми компаниями, сетевыми организационными структурами. Специалисты в области менеджмента связывают будущее компаний именно с сетевыми структурами, которые используют абсолютно новые принципы менеджмента. Сетевые организации представляют собой либо сети компаний, формирующихся вокруг крупной компании (примером может служить компания “Найк”), либо сети компаний, близких по масштабам. Стратегия сетизации сравнима с методами сужения собственной производственной деятельности, когда компания передает какое-то направление (или даже само производство продукции) внешним исполнителям. Сетевая модель одинаково подходит как в качестве модели внутриорганизационного сотрудничества между потенциальными ресурсами, так и между компаниями и группами компаний.
При создании компании-сети предприятие разбивается для более гибкого выполнения производственных программ на самостоятельные в хозяйственном, а иногда и в правовом отношении центры (хозяйственные единицы, отделения, производственные сегменты, центры прибыли). На смену централизованным приходят федеративные структуры.
Преимуществами сетевых структур являются их адаптивность к изменяющимся условиям, концентрация компании на уникальных процессах, рационализация издержек, привлечение к совместной деятельности лучших исполнителей. В качестве слабых мест сетевой компании и сетевой структуры управления можно назвать чрезмерную зависимость от кадрового состава, от рынка, ресурсов, отсутствие материальной и социальной поддержки участников сети, корпоративной культуры. Сетевую компанию можно отнести к виртуальной, если в ходе замены старой структуры меняются физические и правовые характеристики компании.
Виртуальные корпорации отличаются использованием современных информационных и телекоммуникационных технологий, объединением компетенций партнеров, территориальной независимостью, открытостью и гибкостью; они являются уникальными структурами как в техническом решении, так и в архитектуре сети, которая может позволить наилучшим образом достичь целей в новых условиях. Единственным, уже сейчас очевидным недостатком виртуализации, является стирание границ между компаниями, странами, культурами, и при неконтролируемом развитии данный процесс может привести к созданию стандартизированного и унифицированного общества.
Российские собственники и директора предприятий только начинают осознавать значимость эффективной структуры управления. Большинство российских компаний нуждается в оздоровлении и модернизации управленческих структур.
Примером успешной деятельности предприятия с новой организационной структурой управления в России является компания “Милликом”. Компания на глобальном уровне является виртуальной. Каждый из высших руководителей компании находится в своей стране. “Милликом” работает в России с 1992 года. У главы представительства в России есть небольшой штат, а руководитель, отвечающий за регион бывшего СССР, находится в Люксембурге и имеет четырех заместителей. Аппарат компании “Милликом” в 5-6 раз меньше аппарата обычной компании с подобным профилем деятельности, и во столько же раз эффективнее. Опыт компании свидетельствует о перспективности новых видов управленческих структур и о широком спектре их применения.
Таким образом, по мере внедрения новейших информационных технологий предприятия пересматривают свои структуры, делая акцент на самоорганизацию, доверие партнерам, полное удовлетворение запросов клиентов. Чем быстрее данный процесс придет в Россию, тем успешнее будет интеграция в европейские и мировые рыночные структуры.
Вечных или идеальных структур управления, подходящих для любого предприятия и существующих десятилетия без изменений, не существует. Каждая структура будет эффективной только определенное время, при определенных условиях и, возможно, в соединении с другими структурами. Постоянное совершенствование управленческих структур ведет к их многообразию а, значит, и к возможности более эффективного выбора подходящей для конкретного предприятия структуры. В этой связи для российских предприятий чрезвычайно важен опыт западных компаний в данной области, так как без эффективной структуры управления не может быть эффективной работы предприятия.
Требования к структуре управления
Организационная структура есть выражение формы кооперации и разделения труда в сфере управления. Она оказывает прямое воздействие на функционирование предприятия. При более совершенном типе управления - эффективнее воздействие на объект управления и, соответственно, выше результат работы предприятия. Поэтому, структура управления должна соответствовать определенным требованиям:

Деятельность любой организации, предприятия сопровождается составлением разных видов документов. Однако при всех их многообразии вне зависимости от специфики предприятия можно выделить следующие основные группы документов:
Организационно-правовые документы предприятия (устав, учредительный договор, структура и штатная численность, штатное расписание, должностные инструкции, правила внутреннего трудового распорядка);
Распорядительные документы предприятия (приказы по основной деятельности, распоряжения, решения);
Документы по личному составу предприятия (приказы по л/с, трудовые контракты (договора), личные дела, личные карточки ф.Т-2, лицевые счета по зарплате, трудовые книжки);
Финансово-бухгалтерские документы предприятия (главная книга, годовые отчеты, бухгалтерские балансы, счета прибылей и убытков, планы, отчеты, сметы, счета, кассовые книги и др.);
Информационно-справочные документы предприятия (акты, справки, телефонограммы, докладные записки, протоколы и др.);
От государственных и муниципальных организаций могут поступать на предприятия документы, регулирующие различные вопросы его деятельности (налоги, охрана окружающей среды и т.п.). Эти документы составляют отдельную группу – Нормативные документы государственных органов.
В самостоятельную группу можно выделить коммерческие контракты (договоры), которые являются основными документами предпринимательской деятельности.
Все перечисленные документы относятся к организационно-распределительным документам (ОРД). Исключением являются финансово-бухгалтерские документы, имеющие специфические особенности составления и обработки, регламентируемые специальными инструкциями.
В зависимости от объективных (профиль предприятия) и субъективных (требования руководителя предприятия или делового партнера) факторов какая-либо группа документов может преобладать или быть незначительной.
Схема оформления большинства организационно-распорядительных документов достаточно типична и строится по формуляру – образцу. Отличаются только заголовочные части внутренних и внешних документов предприятия. Во внешних документах обязательно следует указывать справочные данные об организации, на внутренних документах они не указываются. Усвоив последовательность расположения и правила составления реквизитов одного вида документа, несложно составить другой. Различия в большей части касаются структуры и формы изложения текста.