Чаще всего эффективность.управления портфелем оценивается на некотором временном интервале (год, два года и т.д.), внутри которого выделяются периоды (месяцы, кварталы). Этим обеспечивается достаточно представительная выборка для осуществления статистических оценок. Процесс оценки можно разделить на следующие основные этапы:
1) выбор эталонного портфеля;
2) определение доходности фактически существующего портфеля;
3) оценка результатов управления портфелем в сравнении с эталонным портфелем.
Выбор эталонного портфеля осуществляется таким образом, чтобы этот портфель соответствовал рыночным ориентациям инвестора, был достижим и заранее известен. Эталонный портфель должен представлять собой альтернативный портфель, который могло бы выбрать предприятие для инвестирования вместо портфеля, эффективность вложений в который оценивается. Важно, чтобы эталонный портфель имел тот же уровень риска и сходную структуру размещения активов, что и фактический. Традиционно в качестве эталонных портфелей используют фондовые индексы, информация о движении которых является единой и общедоступной, что значительно облегчает работу финансовых аналитиков и сокращает дополнительные издержки. Кроме фондовых индексов эталонный портфель может включать безрисковые ценные бумаги.
|
|
|
Каждая конкретная комбинация активов выбирается таким образом, чтобы риск эталонного портфеля равнялся риску инвестора. Например, портфель инвестора с бета-коэффициентом 0,8 сравнивается с эталонным портфелем, который на 80% состоит из акций выбранного рыночного индекса и на 20% — из безрисковых активов.
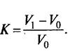
Определение доходности фактически существующего портфеля не представляет сложности, если на протяжении всего периода владения и управления портфель оставался неизменным, т.е. не было дополнительных инвестиций или изъятия средств. В этом случае доходность портфеля (К) определяется на основе рыночной стоимости портфеля в начале (V0) и в конце (V1) рассматриваемого периода:

Рыночная стоимость портфеля вычисляется как сумма рыночных стоимостей ценных бумаг, входящих в портфель в данный момент времени.
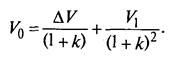
Если на протяжении анализируемого времени портфель менялся, важно знать, в какой момент времени в него вносились изменения (т.е. вкладывались или изымались средства). Если дополнительные инвестиции (или изъятие средств) осуществлялись непосредственно вскоре после начала анализируемого периода, при исчислении доходности портфеля корректируется его начальная рыночная стоимость. При внесении денежных средств начальная стоимость должна быть увеличена на размер инвестиций, а при изъятии — уменьшена на величину изъятой суммы. Когда дополнительные инвестиции (или изъятие средств) осуществлялись непосредственно перед концом анализируемого периода, при исчислении доходности должна быть скорректирована конечная стоимость портфеля. Она должна быть уменьшена на величину дополнительно внесенной суммы или увеличена на сумму изъятых средств. Корректировка в расчетах доходности портфеля необходима, так как это делает оценки корректными. Дополнительные инвестиции (или изъятие средств) меняют рыночную стоимость портфеля и, следовательно, его доходность и не имеют никакого отношения к инвестиционной активности менеджера, управляющего портфелем.
|
|
|
Если изменения в портфель вносились в середине анализируемого периода, можно использовать несколько методов для исчисления его доходности. Один из методов основывается на внутренней ставке доходности. Например, если инвестиции (∆ V) сделаны в середине квартала, внутренняя ставка доходности вычисляется исходя из уравнения:

Найдя ставку доходности (К) за половину квартала, можно определить доходность портфеля за квартал. Расчет квартальной доходности производится с использованием поквартальных сложных процентов:
К=(1 + К)2-1.
Приблизительным способом расчета квартальной доходности может быть удвоение ставки доходности за половину квартала.
Другой метод исчисления доходности портфеля основан на доходности, взвешенной во времени. Если предположить, что рыночная стоимость портфеля в середине квартала составляла (V´), то после дополнительных инвестиций (∆ V) его рыночная стоимость возрастет и составит (V´ + ∆ V). Тогда доходность за первую часть квартала (К ´) составит:

а за вторую часть квартала:

Доходность в целом за квартал будет равна:

Метод исчисления доходности, взвешенной во времени, является более точным и корректным, так как использует рыночную стоимость портфеля перед каждым наличным платежом.
Годовая доходность портфеля может быть определена двояко. Можно использовать обыкновенное суммирование квартальных доходностей. Однако более точным значением годовой доходности будет являться ставка, исчисленная по формуле сложных процентов, так как в ней учитывается стоимость одного рубля в конце года при условии, что он был вложен в начале года, и предполагается возможность реинвестирования как самого рубля, так и любой прибыли, полученной на него, в начале каждого нового квартала:

Для оценки эффективности управления портфелем необходимо также оценить уровень его риска за выбранный временной интервал. Обычно оценивают два вида риска: рыночный, измеряемый с помощью бета-коэффициента, и общий, измеряемый стандартным отклонением. Правильный выбор анализируемого риска имеет большое значение. Если оцениваемый портфель инвестора является его единственной инвестицией и полностью или в основной части представляет определенный класс активов, то наиболее подходящей мерой риска будет общий риск, измеряемый стандартным отклонением. Стандартное отклонение является приемлемым при оценке зависимости «риск — доход» для хорошо диверсифицированных портфелей и для сравнительной оценки портфелей. Инвесторы, у которых определенные классы финансовых активов представлены несколькими портфелями (возможно, у разных менеджеров), могут использовать для оценки рыночного риска портфеля бета-коэффициент и на его основе анализировать общий уровень своего риска. Этот коэффициент лучше подходит для оценки отдельных ценных бумаг в портфеле.
Оценка результатов управления портфелем проводится с помощью показателя дифференцированной доходности (αр), который определяется как разность между средней доходностью портфеля (АКр) и доходностью соответствующего эталонного портфеля (АКЬр):
|
|
|
ар=АКр-АКЬр.
Средняя доходность портфеля определяется по формуле

где К pt — совокупная доходность портфеля за период t;
Т — количество периодов анализируемого временного интервала.
Положительное значение показателя дифференцированной доходности портфеля означает, что его средняя доходность с учетом риска превосходила доходность эталонного портфеля, а значит, управление было высокоэффективным. Отрицательное значение показывает низкоэффективное управление портфелем, так как средняя его доходность была ниже доходности эталонного портфеля.