Под системой, в самом широком смысле слова, принято понимать замкнутое объективное единство связанных друг с другом элементов, упорядоченных по определенному закону или принципу (рис. 3.2). Основой упорядочения системы является, как правило, цель ее функционирования.

Рис. 3.2. Принципиальная схема построения системы
Теорией систем занимается один из разделов кибернетики – системология или системотехника. Последнее наименование употребляют в тех случаях, когда технические аспекты, связанные с проектированием систем, выступают на первый план. Понятие системы противопоставляется бессистемности или хаосу.
С математических позиций система – это множество, на котором реализуется заранее данное отношение R с фиксированными свойствами Р. В качестве такого отношения обычно выступают требования определенного порядка, связи между элементами системы: события, происходящие в одном из элементов системы, определенным образом влияют на события в других элементах.
Любая система размещается и функционирует в некоторой вполне определенной внешней среде. Взаимодействие системы с внешней средой осуществляется через вход и выход системы. Под входом при этом понимается точка или область воздействия на систему извне; под выходом – точка или область воздействия системы вовне.
Система может находиться в различных состояниях. Состояние любой системы в определенный момент t можно с определенной точностью охарактеризовать совокупностью значений внутренних параметров состояния m:
m = m1, m2,…m*.
Для описания состояний системы весьма удобен метод пространства состояний или, в другой терминологии,– метод фазового пространства. Параметры состояния при этом носят название фазовых координат системы.
Состояние системы может быть изображено точкой в многомерном пространстве, где по координатным осям отложены значения соответствующих фазовых координат. Если состояние системы меняется во времени, то отображающая точка перемещается в многомерном фазовом пространстве по некоторой кривой, которая называется фазовой траекторией системы. Таким образом, описание поведения системы, часто весьма сложного, можно заменить описанием поведения точки в фазовом пространстве.
В реальных системах координаты, как правило, могут принимать значения, лежащие в определенных интервалах.

Вследствие этого всякая система характеризуется некоторой областью значений фазовых координат, в пределах которой можно говорить о системе как о едином целом. Такая область называется областью существования системы или областью возможных траекторий. Для двухмерного случая ситуация показана на рис. 3.3.

Если координаты системы могут принимать в пределах области существования любые значения, то системы называются непрерывными. Если фазовые координаты могут принимать только конечное число фиксированных значений, то системы называются дискретными.
Таким образом, система характеризуется тремя группами переменных:
входные, которые генерируются системами, внешними относительно исследуемой:
x = x1, x2,…x*;
выходные, интегрируемые исследуемой системой, определяющие воздействие системы на окружающую среду:
y = y1, y2,... y*;
координаты состояния, характеризующие динамическое поведение исследуемой системы:
т = т1, т2,... т*.
Все три группы величин предполагаются функциями времени:
x(t); y(t); m(t) (3.1)
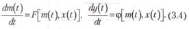
В любой момент времени t состояние системы является функцией начального состояния m (t0) и изменений вектора входа x(t) винтервале от t0 до t:

где F— функция аргументов т и х.
Аналогично вектор выхода в момент t может быть записан так:

Уравнения (3.2) и (3.3) называют уравнениями состояния системы.
Для систем, описываемых дифференциальными уравнениями, уравнения состояния имеют вид:

Вывод уравнений состояния системы является начальным, но весьма важным этапом анализа и синтеза в современной теории управления. Воздействуя на входы системы, мы переводим ее из одного состояния в другое и тем самым получаем изменения на выходах, что фиксирует новое состояние системы.
Перевод системы из одного состояния в другое сопровождается затратами вещества, энергии, времени. Управление принято называть оптимальным, если перевод системы из одного состояния в другое, соответствующее достижению цели, будет сопровождаться минимальными затратами вещества, энергии или времени.
Для управления реальными процессами приходится создавать системы управления, в которых информация циркулирует весьма сложным образом, в пределах совокупности контуров, определяющих структуру данной системы (рис. 3.4).

Все многообразие связей между контурами в системе можно свести к двум основным видам: связь, устанавливающая взаимное подчинение контуров и передачу информации между старшими и младшими контурами, и связь, определяющая передачу информации между контурами, стоящими на одном уровне. Для удобства рассмотрения этих связей на схемах будем называть их соответственно связью «по вертикали» и связью «по горизонтали» (рис. 3.5).

Рис. 3.5. Связи между контурами в системе
Примером связи «по вертикали» может быть связь между контуром «директор объединения — директор предприятия» и контуром «директор предприятия — начальник цеха». Примером связи «по горизонтали» — связь между контуром «плановый отдел предприятия — плановое бюро цеха» и контуром «отдел главного технолога предприятия — технологическое бюро цеха». Путь прохождения информации в системе в основном определяется организацией системы и задачей, которую система решает в данный момент. Иногда этот путь проходит через несколько контуров, охватывая каждый из них целиком или частично. Поэтому при исследовании решения конкретных задач важное значение приобретает последовательность прохождения информации через элементы контуров, входящих в систему, и учет соответствующих преобразований, которым подвергается при этом информация.
Путь прохождения информации в системе при решении определенной задачи, включающей элементы одного или нескольких контуров, называется цепью прохождения (циркуляции) информации в системе.
На входы системы поступают те или иные значения входных параметров, изменяя значения которых можно изменять текущее состояние системы. Его можно проследить, наблюдая за состоянием выходных параметров на выходах системы. Так, если в качестве примера системы взять предприятие, то входами могут служить укомплектованность и обученность персонала, состав и качество оборудования, сырья, топлива, фонд зарплаты. Выходами системы, характеризующими текущее состояние предприятия, будут количество и качество продукции, расходы денежных и материальных ценностей и др.
В зависимости от степени взаимного влияния системы и внешней среды системы делятся на открытые и закрытые (замкнутые).
В открытых системах внутренние процессы существенно зависят от условий среды и сами оказывают на ее элементы значительное влияние. В связи с этим функционирование таких систем определяется как внешней, так и внутренней информацией. Примером может служить автоматизированная система управления предприятием.
В закрытых (замкнутых) системах внутренние процессы слабо связаны с внешней средой. Вследствие этого функционирование закрытых систем определяется главным образом внутренней информацией, т. е. той, что вырабатывается внутри самой системы. Примером такой системы могут служить любые автономные автоматические устройства, в которых управление осуществляется на основании сигналов, поступающих от элементов, входящих в ту же систему. Замкнутость системы означает строгое ограничение ее состава и сферы деятельности определенными рамками, позволяющими учитывать изменение состояний. Если система не замкнута, ее состояние нельзя строго учесть.
В зависимости от характера связи между элементами системы и событиями, происходящими в ней, различают детерминированные и вероятностные (стохастические) системы.
В детерминированной системе связи между элементами и событиями носят однозначный, предопределенный характер. Примером такой системы может служить передача командной информации.
В вероятностной (стохастической) системе, в отличие от детерминированной, связи между элементами и событиями носят неоднозначный характер: одни и те же изменения элементов системы в каждом отдельном случае могут привести к различным событиям. Однако и здесь нет места хаосу – связи между элементами и событиями существуют в форме вероятностных закономерностей. Например, изменение в технологии производства приводит к определенному изменению общего количества бракованных изделий, однако заранее однозначно определить, будет ли данная деталь с браком или нет, нельзя. На практике строго детерминированных систем не существует. Даже в приведенном примере с выключателем тока всегда существует вероятность того, что устройство включения не сработает и результат действия не совпадет с ожидаемым. Поэтому правильнее определить детерминированные системы как частный случай вероятностных, у которых вероятность ожидаемого события близка к единице.
Современное производственное предприятие относится к сложным динамическим системам. Под сложной системой в отличие от простой понимается такая система, которая не может рассматриваться как сумма составляющих ее частей (свойство эмерджентности). При анализе сложной системы наряду с рассмотрением поэлементно, в расчленном виде, необходимо ее изучение также в целом, во всей совокупности связей.
Динамический характер системы определяется тем, что она находится в состоянии непрерывного изменения, в динамике. Этим она отличается от статической системы. Поскольку, однако, систем, находящихся в статике, практически не существует, динамическими системами, в отличие от статических, обычно называют такие, переход которых в новое состояние не может совершаться одномоментно, а требует некоторого времени и осуществляется в результате определенного процесса. Примером динамической системы может служить любая система управления.
Сложные системы характеризуются следующими наиболее важными признаками:
– наличием единой цели функционирования;
– наличием нескольких уровней управления, иерархически связанных;
– наличием подсистем, каждая из которых имеет цель функционирования, подчиненную общей цели функционирования всей системы и управляемых единой системой управления;
– наличием большого числа связей между подсистемами, внутри каждой подсистемы и необходимостью разветвленной сети связи управления;
– комплексным составом системы – наличием людей, машин и природной среды;
– устойчивостью к воздействию внешних и внутренних возмущающих факторов и наличием элементов самоорганизации.
Сложная система всегда состоит из подсистем.
Подсистемы можно выделять, если каждая из них имеет:
– цель функционирования, подчиненную общей цели функционирования всей системы;
– комплекс элементов, составляющих систему;
– свою систему управления, входящую в общую систему управления.
В этом смысле термины «система», «подсистема», «элемент» носят относительный характер. Определенная система может представлять собой подсистему в системе более высокого уровня. И наоборот, эта же система может включать в себя системы более низкого уровня.
Деление системы на подсистемы может быть различным в зависимости от принципа, принятого за основу.
Большинство сложных систем функционирует в условиях действия большого числа случайных факторов. Поэтому предсказать поведение сложной системы можно только вероятностно, т. е. определить вероятность наступления ожидаемого состояния системы, получить законы распределения или некоторые числовые характеристики случайных величин, отражающих поведение сложной системы.
При построении систем управления любой степени сложности необходимо учитывать следующие основные принципы (или законы) кибернетики.
Закон необходимого разнообразия. Сущность этого закона заключается в том, что разнообразие сложной системы требует управления, которое само обладает достаточным разнообразием. Закон необходимого разнообразия обосновывает необходимость многовариантного планирования, выработку оптимальных решений. Управление, которое основывается на рассмотрении единственного варианта плана, не может быть признано научным.
Оптимальное управление, построенное на рассмотрении различных вариантов, является, наоборот, научным управлением, соответствующим закону необходимого разнообразия. И чем сложнее, а значит, и разнообразнее сама система, тем большее значение приобретает оптимальность в управлении.
Закон отличия целого от частного (закон эмерджентности). Этот закон заключается в наличии у системы целостных свойств, т. е. таких свойств системы, которые не присущи составляющим ее элементам. Чем больше система и чем больше различие в масштабах между частью и целым, тем выше вероятность того, что свойства целого могут сильно отличаться от свойств частей. Эмерджентность является одной из форм проявления диалектического принципа перехода количественных изменений в качественные.
Известны многочисленные проявления закона эмерджентности. Эффективность крупного производства, социальные последствия урбанизации, возможность реализации крупных мероприятий в области фундаментальных исследований (космос, ядерная энергия), промышленности, обороны.
Закон отличия целого от частного показывает различие между локальными оптимумами отдельных подсистем и глобальным оптимумом всей системы. Этот закон показывает необходимость интегрального рассмотрения системы, достижения общего оптимума.
При синтезе систем управления принято считать, что общие (эмерджентные) интересы сосредоточены в центре системы, в центральном органе, на верхней ступени иерархии, в то время как частные, внутренне присущие (имманентные), локализуются в соответствующих элементах.
Закон внешнего дополнения. В сложных системах прогноз состояния среды и выработка управляющих воздействий формальными методами могут быть осуществлены лишь приближенно. Вследствие этого всегда необходим содержательный контроль работы формализованной схемы управления и корректировка ее с помощью дополнительных (внешних) неформально принимаемых решений. Такие корректировки можно рассматривать как результат функционирования черного ящика, встроенного между выходом формализованной подсистемы управления и входом управляемой подсистемы.
Отклонения, «неучтенные» при планировании и создании систем, будут тем закономернее, чем сложнее система. Система управления поэтому должна иметь соответствующие резервы, компенсаторы и регуляторы для корректировки таких «неучтенных» отклонений.
Совокупность неформальных процедур корректировки алгоритмически (формализованно) получаемых управляющих воздействий и задания различных параметров называют внешним дополнением, а теоретическую необходимость подобной неформальной компенсации – принципом или законом внешнего дополнения.
Закон обратной связи требует построения системы с использованием замкнутых контуров. Для экономики это означает необходимость сосредоточения плана и учета в одних руках.
Закон антиэнтропийности сводится к тому, что управление системой всегда направлено на уменьшение неопределенности в знаниях о построении и поведении управляемой системы за счет усиления информационной осведомленности при принятии решения. Управление всегда связано (при заданной степени системной сложности) с ограничением степеней свободы системы, необходимым для определения целенаправленного поведения системы.
Организацию как сложную систему характеризует многообразие структур. Основными типами структур являются (рис. 3.6) линейные, кольцевые, звездные, многосвязные, сотовые, пирамидальные, комбинированные.

Рис. 3.6. Типы структур организаций:
а – линейная, б – кольцевая, в – звездная, г – многосвязная, д – сотовая, е – пирамидальная, ж – комбинированная («колесом»)
При линейной структуре каждый элемент системы (подразделение) связан с двумя смежными. Проходящие через систему командная информация и информация состояния становятся достоянием всей системы. Все связи здесь равноценны. Иерархические взаимоотношения отсутствуют. Выпадение любого элемента разрушает систему, ибо никаких других связей, кроме как с соседями, не предусмотрено.
Кольцевая структура отличается от линейной лишь тем, что крайние элементы связываются друг с другом. Это дает возможность вести управление в двух противоположных направлениях и тем самым повысить его надежность. Иерархические взаимоотношения отсутствуют.
Звездная структура представляет собой дальнейшее развитие кольцевой. Здесь появляется центральное подразделение, через которое информация может быстро коммутироваться в любое другое. Центральный элемент системы, как правило, является иерархически выше остальных.
Многосвязная структура предполагает наличие связей каждого элемента системы с каждым. Как правило, связи равноценны и иерархия отсутствует. Такая система обеспечивает максимальную надежность передачи информации.
Сотовая структура создается тогда, когда появляется необходимость канализации информации по ряду различных, связанных между собой направлений и сохранения при этом высокой надежности системы.
Пирамидальная структура строится по иерархическому принципу: каждый вышестоящий элемент системы является старшим по отношению к нижестоящему. Такая структура имеет ряд уровней, причем чем уровень выше, тем больше у него подчиненных.
Комбинированная структура представляет собой сочетание из двух или более структур со всеми их свойствами. Например, комбинация многосвязной и кольцевой структур дает структуру «колесо», в которой, с одной стороны, возможно равнозначное управление в обе стороны кольца, а с другой – появляется центральный элемент, обеспечивающий иерархию в системе.
Любая структура может быть оценена с помощью следующих основных характеристик – объема, надежности, размещения, упорядоченности, централизации, оперативности.
Объем структуры характеризует ее количественный состав: число уровней, элементов, связей между ними.
Надежность структуры показывает ее живучесть, способность выполнять свои функции в различных условиях.
Размещение структуры описывает положение ее элементов в пространстве и времени: соответствующее взаимосвязи, подчиненность, отведенные роли.
Упорядоченность структуры показывает степень формализации ее построения и функционирования, возможности и механизмы изменения структуры.
Централизация структуры говорит о распределении функций между центром и периферией системы и объемами соответствующих полномочий.
Оперативность структуры означает возможность реакции системы на изменения обстановки, временные показатели этой реакции и ее цену.
Типичным примером организации как сложной системы является производственно-экономическая система (ПЭС).
Основным видом производственно-экономических систем является предприятие. Приведем, применительно к промышленному предприятию, некоторые необходимые сведения из теории сложных систем.
Современное промышленное предприятие представляет собой единый производственно-хозяйственный комплекс, объединенный общей задачей – выпуском продукции заданного вида.
Состав образующих предприятие цехов, участков и служб (склады, транспорт, связь и т. д.), а также формы их взаимосвязи в процессе создания продукции составляют производственную структуру предприятия. Производственная структура входит в общую структуру предприятия, которая включает кроме нее еще различные общезаводские службы (транспортную, складскую и другие) и хозяйства – жилищно-коммунальное, столовую, больницу, стадион и др.
Для управления огромным и сложным комплексом, образующим промышленное предприятие, создается необходимая структура управления. Об управлении речь пойдет в следующей главе. Здесь только отметим, что эта структура управления охватывает все звенья производства – от рабочего места до предприятия в целом; все направления деятельности предприятия – производственную, финансовую, капитальное строительство, материально-техническое снабжение, сбыт и др.
Важнейшей характеристикой промышленного производства, во многом определяющей его машинную вооруженность и структуру управления, является тип производства. Различают массовое, серийное и единичное производства. Они отличаются объемом производства и периодичностью выпуска продукции.
Массовое производство отличается большим объемом выпуска продукции при строго ограниченной номенклатуре (изготовление часов, автомобилей, электродвигателей и т. п.). Это дает возможность использовать высокопроизводительное специализированное оборудование и оснастку. Данный тип производства – наиболее эффективный: здесь достигается высокая производительность труда, значительная рентабельность, низкая себестоимость продукции.
Для серийного производства характерно изготовление изделий ограниченной и периодически повторяющейся номенклатуры. Этот тип производства, в зависимости от номенклатуры и объема выпуска продукции, в свою очередь делится на крупносерийное и мелкосерийное производство. Для серийного производства характерна сравнительно небольшая номенклатура, что создает возможность использования как универсального, так и специального оборудования. Серийное и особенно крупносерийное производство позволяет в значительной мере реализовать преимущества специализации. Цехи здесь, как правило, организуются по предметному признаку. Данный тип производства распространен в радиотехнической промышленности, приборостроении, станкостроении и т. д. Единичное производство характеризуется изготовлением разнообразных изделий определенного назначения в небольших количествах. Оборудование и технологическая оснастка здесь во многих случаях универсальные, удельный вес ручных работ по сравнению с другими типами производства существенно выше. Этот тип производства менее экономичен, чем массовое и серийное. Он оправдывает себя лишь в том случае, если обеспечивает народно-хозяйственную потребность в данном виде продукции. Единичное производство преобладает на опытных предприятиях, при изготовлении уникальных мощных машин и агрегатов – мощной радиоаппаратуры, прокатных станов, судов, турбин и т. д.
Промышленное предприятие в качестве объекта управления характеризуют следующие основные черты:
1. Многообразие структуры, которое выражается в большом количестве разнообразных структурных элементов, таких, как цеха, хозяйства, лаборатории. Различие природы элементов, которое, как известно, является одним из существенных признаков сложных систем, здесь очень ярко выражено.
2. Многосвязность элементов производственно-экономической системы, которая выражается в наличии множества самых разнообразных связей между элементами. Передача различных деталей по ходу технологического процесса, передача различных видов энергии, обеспечение производственного процесса ремонтом и инструментом, информационные связи, транспортные коммуникации, социальные связи между членами коллектива -– таков далеко не полный перечень различных видов связи элементов. Связи и отношения элементов отличаются устойчивостью, постоянной пропорциональностью.
3. Динамичность, выражающаяся в постоянной смене состояний производственно-экономической системы: в цикличности производственного процесса, изменении его во времени, колебаниях структуры и связей его элементов, множестве внешних и внутренних воздействий.
4. Многокритериальность, которая является одним из характернейших свойств производственно-экономических систем. С одной стороны, имеется множество критериев, таких, например, как номенклатура изделий, общий объем реализованной продукции, сумма прибыли, рентабельность, выполнение заданий по новой технике, по производительности труда. Только совместная оценка подобных показателей дает характеристику системы. С другой стороны, все подсистемы на разных уровнях иерархии могут характеризоваться своими частными критериями, образующими в совокупности дерево целей и критериев.
5. Вероятностный характер производственных процессов. Природа функционирования любого производства носит вероятностный характер: производство постоянно подвержено влиянию многочисленных случайных факторов. Приведем некоторые характерные примеры. В любое время случайно могут выйти из строя те или иные элементы оборудования и производство потеряет определенную часть активных основных фондов. Случайно возникает брак как в своем производстве (технологический брак), так и за счет поставок (покупной брак), что приводит к трудовым потерям. Так же случайно возникают потери в рабочей силе из-за текучести кадров, болезней и других аналогичных факторов. Характерны случайные срывы поставок комплектующих изделий и материалов. Случайными величинами являются длительности всех производственных операций, что влияет на длительность производственного цикла. Этот перечень можно было бы продолжить. Подобные явления приводят к задержке планов выпуска продукции, к увеличению незавершенного производства.
Многообразные сложные задачи предприятия требуют выделения целого ряда направлений деятельности. Прежде всего, проводится комплекс мероприятий по обеспечению необходимого технико-организационного уровня производства, ритмичного и бесперебойного хода производственного процесса. Особое внимание уделяется обеспечению устойчивости технологических режимов и операций по показателям производительности, надежности, безопасности, точности и стабильности в соответствии с требованиями нормативной и технической документации при эффективном использовании производственных ресурсов.
Для установления научно обоснованных внутризаводских пропорций, норм и заданий подразделениям предприятия в соответствии с планом экономического и социального развития, выпуска высококачественной продукции, эффективного использования ресурсов, охраны окружающей среды осуществляется перспективное и текущее технико-экономическое и социальное планирование.
Для повышения организационно-технического уровня производства методами и средствами стандартизации проводятся работы по стандартизации.
Для обеспечения эффективности производства и качества продукции, достижения высокой маневренности и гибкости производства, сокращения длительности цикла «исследование – проектирование – освоение новой продукции» ведется техническая подготовка производства.
Для своевременного выполнения календарного плана производства продукции заданного качества, а также поддержания материальных потоков производства в запланированном режиме ведется оперативное планирование производства.
Для своевременного достижения единства и точности измерений параметров изделий, материалов и сырья, режимов технологических процессов, характеристик оборудования и инструментов осуществляется метрологическое обеспечение.
Для предупреждения производства и предотвращения выпуска (поставки) продукции, не соответствующей установленным требованиям, для своевременного получения достоверной информации о фактическом качестве разрабатываемой и выпускаемой продукции ведутся технический контроль и испытания изделий.
Для повышения производительности и качества труда и уровня социального развития коллектива методами и средствами научной организации труда (НОТ), для совершенствования системы оплаты труда осуществляются мероприятия по организации труда и заработной платы.
Для обеспечения предприятия рабочими и специалистами, создания условий для повышения их профессионального мастерства и квалификации ведется работа с кадрами.
Для своевременного и комплексного обеспечения предприятия сырьем, материалами, полуфабрикатами, комплектующими изделиями, оборудованием, инструментом и другими материальными ценностями с минимальными затратами осуществляется материально-техническое снабжение.
Для обеспечения предприятия заказами и своевременной поставки продукции потребителям в соответствии с плановыми заданиями и заключения договоров поставок при соблюдении номенклатуры, требований к качеству и комплектности организуется сбыт продукции.
Для обеспечения ввода в действие основных фондов, производственных мощностей и объектов, повышения эффективности строительного производства и качества строительных работ ведется капитальное строительство.
Для планомерного и рационального использования финансовых ресурсов и банковского кредита в интересах достижения целей предприятия и выполнения его финансовых обязательств организуется необходимая финансовая деятельность.
Обеспечение руководства предприятия достоверными данными, характеризующими ход и результаты всех видов производственно-хозяйственной деятельности, для своевременного принятия решений требует налаженного учета и отчетности.
Наконец, выявление экономических результатов различных сторон деятельности предприятия для оценки работы подразделений, вскрытия резервов и подготовки текущих и перспективных управленческих решений невозможно без тщательного экономического анализа.
В зависимости от природы элементов на предприятии можно выделить следующие подсистемы.
Техническая подсистема представляет собой взаимосвязанный, взаимообусловленный, находящийся в согласованном пропорциональном состоянии комплекс оборудования (машины, механизмы, станки и группы станков, поточные линии), предназначенный для решения определенной задачи. Согласование заключается в выравнивании пропускных способностей основного производственного процесса, в соответствии техники, обслуживающей основной и вспомогательный производственные процессы, современным требованиям.
Технологическая подсистема представляет собой набор правил, определяющих последовательность операций и процессов производства, в ходе которых создается продукция с определенными параметрами и качеством. Технологическая подсистема требует строгого выполнения указанных правил на всех стадиях производственного процесса. Управление в технологической подсистеме заключается в тщательной разработке технологии, дальнейшем ее совершенствовании по мере необходимости и внимательном контроле за качеством выполнения работы на всем ее протяжении.
Подсистема совместного труда представляет собой необходимую его организацию для достижения определенной цели, количественные и качественные пропорции отдельных видов труда, их расчленение и взаимные связи в процессе производства.
Экономическая подсистема представляет собой единство экономических процессов и экономических связей всех сторон производства. Механизм действия экономических законов проявляется на предприятии в процессе движения его фондов в их денежной, производственной и товарной форме. Движение фондов предприятия является материальной основой технико-технологического и социально-экономического процесса на предприятии.
Социальная подсистема представляет собой связь людей в процессе производства. Связь людей является основой существования производственно-экономических систем. Общие экономические интересы коллектива ПЭС состоят в увеличении прибыли предприятия в результате деятельности коллектива. Поскольку ПЭС выступает в процессе производства как относительно самостоятельный коллектив, то у этого коллектива появляются свои специфические экономические интересы, которые не противоречат интересам всего общества или отдельной личности. Но отдельные группы и члены этого коллектива внутри предприятия, исходя из особенностей технологии и организации производства, решают разные задачи и имеют определенную дифференциацию целей и интересов.
Поскольку коллектив предприятия является его основной и активной силой, в нем должны решаться не только технико-экономические задачи, но и задачи воспитания людей, повышения культурно-технического уровня, образования, знаний и т. п.
Подсистема организации производства позволяет рационально использовать людей, оборудование, предметы труда, заводские площади, создает условия для повышения эффективности производства в пределах заданных ресурсов.
Все перечисленные подсистемы взаимосвязаны и только в своем единстве составляют предприятие как систему.
Рассмотрим структуру предприятия как объекта управления.
Для производства необходимы, как известно, следующие элементы: предмет труда, средства производства и труд человека, его целесообразная деятельность.
Подготовительная фаза производства включает следующие процессы:
– финансирование;
– создание модели продукта и программы его изготовления;
– подбор и подготовку кадров;
– обеспечение предприятия средствами производства;
– материально-техническое снабжение.
Для реализации процессов непосредственного изготовления продукции наряду с подготовкой необходимо обеспечение производства. Оно прежде всего включает обеспечение оборудованием и инструментом, ремонтное обеспечение, энергообеспечение и т. п. В эту же группу следует отнести процессы, направленные на обеспечение высокого и стабильного качества продукции. Наконец, в данную группу войдут также процессы, связанные с обеспечением охраны труда и техники безопасности.
Процессы транспортного и хозяйственного обслуживания составляют самостоятельную группу. По аналогии с подготовительными процессами, процессы реализации находятся на стыке сферы производства и сферы обращения. Для первой они являются конечным актом, для второй – начальным.
Предприятие как сложная динамическая система постоянно развивается. На многих предприятиях имеются свои научные базы (исследовательские лаборатории, конструкторские бюро и т. д.), которые наряду с внешними научно-исследовательскими и проектно-конструкторскими организациями ведут научные разработки по дальнейшему развитию производства. На предприятиях также, как правило, осуществляются работы по техническому перевооружению производства.
На предприятиях ведется также большая работа по социальному развитию коллектива.
Вышеизложенное позволяет сделать вывод, что к элементам управляемой системы следует отнести процессы развития предприятия – научного, технического и социального.
С точки зрения системного подхода управляемую (производственную) систему предприятия можно разделить в соответствии с процессами на подсистемы – развития производства, подготовки производства, основного производства, обеспечения и обслуживания производства, реализации продукции (рис. 3.7). В то же время каждую из подсистем можно рассматривать как систему.
Взаимосвязь подсистем предприятия как объекта управления показана на рис. 3.8.

Рис. 3.7. Подсистемы предприятия

Рис. 3.8. Взаимосвязь подсистем ПЭС