Теория корреляционного исследования, основанная на представлениях о мерах корреляционной связи, разработана К. Пирсоном и подробно излагается в учебниках по математической статистике. Здесь рассматриваются лишь методические аспекты корреляционного психологического исследования.
Стратегия проведения корреляционного исследования сходна с квазиэкспериментом. Отличие от квазиэксперимента лишь в том, что управляемое воздействие на объект отсутствует. План корреляционного исследования несложен. Исследователь выдвигает гипотезу о наличии статистической связи между несколькими психическими свойствами индивида или между определенными внешними уровнями и психическими состояниями. При этом предположения о причинной зависимости не обсуждаются.
Корреляционным называется исследование, проводимое для подтверждения или опровержения гипотезы о статистической связи между несколькими (двумя и более) переменными. В психологии в качестве переменных могут выступать психические свойства, процессы, состояния и др.
«Корреляция» в прямом переводе означает «соотношение». Если изменение одной переменной сопровождается изменением другой, то можно говорить о корреляции этих переменных. Наличие корреляции двух переменных ничего не говорит о причинно-следственных зависимостях между ними, но дает возможность выдвинуть такую гипотезу. Отсутствие же корреляции позволяет отвергнуть гипотезу о причинно-следственной связи переменных. Различают несколько интерпретаций наличия корреляционной связи между двумя измерениями:
1. Прямая корреляционная связь. Уровень одной переменной непосредственно соответствует уровню другой. Примером является закон Хика: скорость переработки информации пропорциональна логарифму от числа альтернатив. Другой пример: корреляция высокой личностной пластичности и склонности к смене социальных установок.
2. Корреляция, обусловленная 3-й переменной. 2 переменные (а, с) связаны одна с другой через 3-ю (в), не измеренную в ходе исследования. По правилу транзитивности, если есть R (а, b) и R (b, с), то R (а, с). Примером подобной корреляции является установленный психологами США факт связи уровня интеллекта с уровнем доходов. Если бы такое исследование проводилось в сегодняшней России, то результаты были бы иными. Очевидно, все дело в структуре общества. Скорость опознания изображения при быстром (тахистоскопическом) предъявлении и словарный запас испытуемых также положительно коррелируют. Скрытой переменной, обусловливающей эту корреляцию, является общий интеллект.
3. Случайная корреляция, не обусловленная никакой переменной.
4. Корреляция, обусловленная неоднородностью выборки. Представим себе, что выборка, которую мы будем обследовать, состоит из двух однородных групп. Например, мы хотим выяснить, связана ли принадлежность к определенному полу с уровнем экстраверсии. Считаем, что «измерение» пола трудностей не вызывает, экстраверсию же измеряем с помощью опросника Айзенка ETI-1. У нас 2 группы: мужчины-математики и женщины-журналистки. Неудивительно, если мы получим линейную зависимость между полом и уровнем экстраверсии—интроверсии: большинство мужчин будут интровертами, большинство женщин — экстравертами.

Корреляционные связи различаются по своему виду. Если повышение уровня одной переменной сопровождается повышением уровня другой, то речь идет о положительной корреляции. Чем выше личностная тревожность, тем больше риск заболеть язвой желудка. Возрастание громкости звука сопровождается ощущением повышения его тона. Если рост уровня одной переменной сопровождается снижением уровня другой, то мы имеем дело с отрицательной корреляцией. По данным Зайонца, число детей в семье отрицательно коррелирует с уровнем их интеллекта. Чем боязливей особь, тем меньше у нее шансов занять доминирующее положение в группе.
Нулевой называется корреляция при отсутствии связи переменных.
В психологии практически нет примеров строго линейных связей (положительных или отрицательных). Большинство связей — нелинейные. Классический пример нелинейной зависимости — закон Йеркса—Додсона: возрастание мотивации первоначально повышает эффективность научения, а затем наступает снижение продуктивности (эффект «перемотивации»). Другим примером является связь между уровнем мотивации достижений и выбором задач различной трудности. Лица, мотивированные надеждой на успех, предпочитают задания среднего диапазона трудности — частота выборов на шкале трудности описывается колоколообразной кривой.
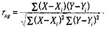
Математическую теорию линейных корреляций разработал Пирсон. Ее основания и приложения излагаются в соответствующих учебниках и справочниках по математической статистике. Напомним, что коэффициент линейной корреляции Пирсона г варьируется от -1 до +1. Он вычисляется путем нормирования ковариации переменных на произведение их среднеквадратических отклонений.

Значимость коэффициента корреляции зависит от принятого уровня значимости а и от величины выборки. Чем больше модуль коэффициента корреляции, тем ближе связь переменных к линейной функциональной зависимости.
Планирование корреляционного исследования
План корреляционного исследования является разновидностью квазиэкспериментального плана при отсутствии воздействия независимой переменной на зависимые. В более строгом смысле: тестируемые группы должны быть в эквивалентных неизменных условиях. При корреляционном исследовании все измеряемые переменные — зависимые. Фактором, определяющим эту зависимость, может быть одна из переменных или скрытая, неизмеряемая переменная.
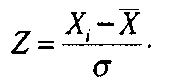
Корреляционное исследование разбивается на серию независимых друг от друга измерений в группе испытуемых Р. Различают простое и сравнительное корреляционные исследования. В первом случае группа испытуемых однородна. Во втором случае мы имеем несколько рандомизированных групп, различающихся по одному или нескольким определенным критериям. В общем виде план такого исследования описывается матрицей вида: Р х О (испытуемые х измерения). Результатом этого исследования является матрица корреляций. Обработку данных можно вести, сравнивая строки исходной матрицы или столбцы. Коррелируя между собой строки, мы сопоставляем друг с другом испытуемых; корреляции же интерпретируются как коэффициенты сходства—различия людей между собой. Разумеется, Р-корреляции можно вычислять лишь в том случае, если данные приведены к одной шкальной размерности, в частности с помощью Z-преобразования:

Коррелируя между собой столбцы, мы проверяем гипотезу о статистической связи измеряемых переменных. В этом случае их размерность не имеет никакого значения.
Такое исследование называется структурным, так как в итоге мы получаем матрицу корреляции измеренных переменных, которая выявляет структуру связей между ними.
В исследовательской практике часто возникает задача выявить временные корреляции параметров или же обнаружить изменение структуры корреляций параметров во времени. Примером таких исследований являются лонгитюды.
План лонгитюдного исследования представляет собой серию отдельных замеров одной или нескольких переменных через определенные промежутки времени. Лонгитюдное исследование — это промежуточный вариант между квазиэкспериментом и корреляционным исследованием, так как время интерпретируется исследователем как независимая переменная, определяющая уровень зависимых (например, личностных черт).
Полный план корреляционного исследования представляет собой параллелепипед Р х О х Р, грани которого обозначаются как «испытуемые», «операции», «временные этапы».
Результаты исследования можно анализировать по-разному. Помимо вычисления Р- и О-корреляций возникает возможность сравнения матриц Р х О, полученных в разные периоды времени, путем подсчета двухмерной корреляции — связи двух переменных с третьей. То же самое касается и матриц Р х Т и Т х О.
Но чаще исследователи ограничиваются обработкой другого типа, проверяя гипотезы об изменении переменных во времени, анализируя матрицы Р х Т по отдельным измерениям.
Рассмотрим основные типы корреляционного исследования.
1. Сравнение двух групп. Этот план лишь условно можно отнести к корреляционным исследованиям. Он применяется для установления сходства или различия двух естественных или рандомизированных групп по выраженности того или иного психологического свойства или состояния. Допустим, у вас есть желание выяснить, отличаются ли мужчины и женщины по уровню экстраверсии. Для этого вы должны создать две репрезентативные выборки, уравненные по прочим значимым для экстраверсии—интроверсии параметрам (по параметрам, влияющим на уровень экстраверсии—интроверсии), и провести измерение с помощью теста EPQ. Средние результаты у 2 групп сравниваются с помощью t-критерия Стьюдента. При необходимости сравниваются дисперсии показателя экстраверсии по критерию F.
Простейшее сопоставление 2 групп содержит в себе источники ряда артефактов, характерных для корреляционного исследования. Во-первых, возникает проблема рандомизации групп — они должны четко разделяться по выбранному критерию. Во-вторых, реальные измерения происходят не одновременно, а разновременно:
R' О1 —
R" — О2
В-третьих, хорошо, если тестирование внутри группы проводят одновременно. Если же отдельных испытуемых тестируют в разное время, то на результате может сказаться влияние временного фактора на величину переменной.
Пол без особых усилий (в том числе без хирургического воздействия) поменять сегодня нельзя, но можно перейти из одной учебной группы в другую, а также из класса в класс.
Если исследователь задался целью сравнить две учебные группы по уровню успеваемости, он должен позаботиться о том, чтобы не произошло их «перемешивания» в ходе исследования.
Эффект неодновременности измерении в двух группах (в случае предположения о значимости этого фактора) можно было бы «убрать» введением двух контрольных групп, но ведь тестировать их тоже придется в другое время. Удобнее разделить первоначальные группы пополам и тестирование (по возможности) провести по следующему плану:
R' О1 —
R" — О2
__________________
R' О3 —
R" — О4
Обработка результатов для выявления эффекта последовательности осуществляется методом двухфакторного анализа 2 х 2. Сравнение естественных (нерандомизированных) групп ведется по тому же плану.
2. Одномерное исследование одной группы, в разных условиях. План этого исследования аналогичен предыдущему. Но по своей сути он близок к эксперименту, так как условия, в которых находится группа, различаются. В случае корреляционного исследования мы не управляем уровнем независимой переменной, а лишь констатируем изменение поведения индивида в новых условиях. Примером может служить изменение уровня тревожности детей при переходе из детского сада в 1-й класс школы: группа одна и та же, а условия различные.
Главные артефакты этого плана — кумуляция эффектов последовательности и тестирования. Кроме того, искажающее влияние на результаты может оказывать временной фактор (эффект естественного развития).
Схема этого плана выглядит очень просто: А О1 В О2, где А и В — разные условия. Испытуемые могут отбираться из генеральной популяции случайным образом или представлять собой естественную группу.
Обработка данных сводится к оценке сходства между результатами тестирования в условиях А и В. Для контроля эффекта последовательности можно произвести контрбалансировку и перейти к корреляционному плану для двух групп:
А О1 В О2
В О3 А О4
В этом случае мы можем рассматривать А и В как воздействия, а план — как квазиэксперимент.
3. Корреляционное исследование попарно эквивалентных групп. Этот план используется при исследовании близнецов методом внутрипарных корреляций. Дизиготные или монозиготные близнецы разбиваются на две группы: в каждой — один близнец из пары. У близнецов обеих групп измеряют интересующие исследователя психические параметры. Затем вычисляется корреляция между параметрами (О-корреляция) или близнецами (Р-корреляция). Существует множество более сложных вариантов планов психогенетических исследований близнецов.
4. Для проверки гипотезы о статистической связи нескольких переменных, характеризующих поведение, проводится многомерное корреляционное исследование. Оно реализуется по следующей программе. Отбирается группа, которая представляет собой либо генеральную совокупность, либо интересующую нас популяцию. Отбираются тесты, проверенные на надежность и внутреннюю валидность. Затем группа тестируется по определенной программе.
R А(О1) В(О2) С (О3) D(О4).... N(Оn),
где А, В, С... N — тесты, Оi — операция тестирования.
Данные исследования представлены в форме матрицы: т х п, где т — количество испытуемых, п — тесты. Матрица «сырых» данных обрабатывается, подсчитываются коэффициенты линейной корреляции. Получается матрица вида т х п, где п — число тестов. В клеточках матрицы — коэффициенты корреляции, по ее диагонали — единицы (корреляция теста с самим собой). Матрица симметрична относительно этой диагонали. Корреляции оцениваются на статистические различия следующим образом: сначала r переводится в Z-оценки, затем для сравнения r применяется t-критерий Стьюдента. Значимость корреляции оценивается при ее сопоставлении с табличным значением. При сравнении rэксп. и rтеор. принимается гипотеза о значимом отличии корреляции от случайной при заданном значении точности (a= 0,05 или a= 0,001). В некоторых случаях возникает необходимость вычисления множественных корреляций, частных корреляций, корреляционных отношений или редукции размерности — уменьшения числа параметров.
Для уменьшения числа измеренных параметров используются различные методы латентного анализа. Применению их в психологическом исследовании посвящено множество публикаций. Главной причиной артефактов, возникающих при проведении многомерного психологического тестирования, является реальное физическое время. При анализе данных корреляционного исследования мы отвлекаемся от неодновременности проводимых измерений. Кроме того, считается, что результат последующего измерения не зависит от предыдущего, т. е. не существует эффекта переноса.
Перечислим основные артефакты, которые возникают в ходе применения этого плана:
1. Эффект последовательности — предшествующее выполнение одного теста может повлиять на результат выполнения другого (симметричный или асимметричный перенос).
2. Эффект научения — при выполнении серии различных тестовых испытаний у участника эксперимента может повышаться компетентность в тестировании.
3. Эффекты фоновых воздействий и «естественного» развития приводят к неконтролируемой динамике состояния испытуемого в ходе исследования.
4. Взаимодействие процедуры тестирования и состава группы проявляется при исследовании неоднородной группы: интроверты хуже сдают экзамены, чем экстраверты, «тревожные» хуже справляются со скоростными тестами интеллекта. Для контроля эффектов последовательности и переноса следует пользоваться тем же приемом, что и при планировании экспериментов, а именно — контрбалансировкой. Только вместо воздействий меняется порядок проведения тестов.
Таблица 5.14

Для 3 тестов полный план корреляционного исследования с контрбалансировкой выглядит следующим образом:
1-я группа: А В С
2-я группа: С А В
3-я группа: В С А
где А, В, С — различные тесты. Однако я не знаю ни одного случая, когда бы в отечественных корреляционных исследованиях контролировались эффекты тестирования и переноса.
Приведу один пример. Нам необходимо было выявить, как влияет вид задания на успешность выполнения сменяющих одна другую задач. Мы предположили, что для испытуемых не безразлично, в какой последовательности им даются тесты. Были выбраны задания на креативность (из теста Торренса) и на общий интеллект (из теста Айзенка). Задачи давались испытуемым в случайном порядке. Оказалось, что если задание на креативность выполняется первым, то скорость и точность решения задачи на интеллект снижается. Обратного эффекта не наблюдалось. Не вдаваясь в объяснения этого явления (это сложная проблема), заметим, что здесь мы столкнулись с классическим эффектом асимметричного переноса.
5. Структурное корреляционное исследование. От предшествующих вариантов эта схема отличается тем, что исследователь выявляет не отсутствие или наличие значимых корреляций, а различие в уровне значимых корреляционных зависимостей между одними и теми же показателями, измеренными у представителей различных групп.
Поясним этот случай примером. Допустим, нам необходимо проверить гипотезу о том, влияет ли пол родителя и пол ребенка на сходство или различие их личностных черт, например уровня нейротизма по Айзенку. Для этого мы должны провести исследование реальных групп — семей. Затем вычисляются коэффициенты корреляции уровней тревожности родителей и детей. Получаются 4 основных коэффициента корреляции: 1) мать—дочь; 2) мать—сын; 3) отец—дочь; 4) отец—сын, и два дополнительных: 5) сын—дочь; 6) мать—отец. Если нас интересует лишь сравнение сходства—различия первой группы корреляций, а не исследование ассортативности, то мы строим 4-клеточную таблицу 2 х 2 (табл. 5.14).
Корреляции подвергаются Z-преобразованию и сравниваются по t-критерию Стьюдента.

Здесь приведен простейший пример структурного корреляционного исследования. В исследовательской практике встречаются более сложные версии структурных корреляционных исследований. Чаще всего они проводятся в психологии индивидуальности (Б. Г. Ананьев и его школа), психологии труда и обучения (В. Д. Шадриков), психофизиологии индивидуальных различий (Б. М. Теплов, В. Д. Небылицын, В. М. Ру-салов и др.), психосемантике (В. Ф. Петренко, А. Г. Шмелев и др.).
6. Лонгитюдное корреляционное исследование. Лонгитюдное исследование — вариант квазиэкспериментальных исследовательских планов. Воздействующей переменной психолог, проводящий лонгитюдное исследование, считает время. Оно является аналогом плана тестирования одной группы в разных условиях. Только условия считаются константными. Результатом любого временного исследования (в том числе и лонгитюдного) является построение временного тренда измеряемых переменных, которые могут быть аналитически описаны теми или иными функциональными зависимостями.
Лонгитюдное корреляционное исследование строится по плану временных серий с тестированием группы через заданные промежутки времени. Помимо эффектов обучения, последовательности и т.д. в лонгитюдном исследовании следует учитывать эффект выбывания: не всех испытуемых, первоначально принимавших участие в эксперименте, удается обследовать через какое-то определенное время. Возможно взаимодействие эффектов выбывания и тестирования (отказ от участия в последующем обследовании) и т.д.
Структурное лонгитюдное исследование отличается от простого лонгитюда тем, что нас интересует не столько изменение центральной тенденции или разброса какой-либо переменной, сколько изменение связей между переменными. Такого рода исследования широко распространены в психогенетике.
Обработка и интерпретация данных корреляционного исследования. Данные структурного корреляционного исследования представляют собой одну или несколько матриц «испытуемые» х «тесты». Первичная обработка заключается в подсчете коэффициентов статистической связи между двумя и более переменными. Выбор меры связи определяется шкалой, с помощью которой произведены измерения.
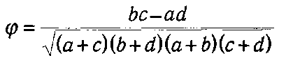
1. Если измерения произведены по дихотомической шкале, то для подсчета тесноты связи признаков применяется коэффициент j. Дихотомическую шкалу часто путают со шкалой наименований (даже в пособиях по статистике; см., например, Дж. Гласс и Дж. Стенли. Статистические методы в педагогике и психологии, 1976) Дихотомическая шкала — вырожденный вариант шкалы интервалов; для нее применимы все статистические методы шкалы интервалов. Данные для вычисления коэффициента (φ представлены в таблице сопряженности (рис. 5.19).


2. Данные представлены в порядковой шкале. Мерой связи, которая соответствует шкале порядка, является коэффициент Кэнделла. Он основан на подсчете несовпадений в порядке следования ранжировок Х и Y. Есть ряд испытуемых: сначала мы выстраиваем этот ряд в порядке убывания массы тела, а затем — в порядке убывания роста. Для каждой пары подсчитывается число совпадений и инверсий: совпадение, если их порядок по Х и Y одинаков; инверсия, если порядок различен. Разница числа «совпадений» и числа «инверсий», деленная на п(п–1)/2, дает коэффициент t. Алгоритм подсчета приведен в пособиях по статистике [см. Дж. Гласс и Дж. Стенли, 1976] и в любом статпакете для персональных компьютеров.
Часто для обработки данных, полученных с помощью шкалы порядка, используют коэффициент ранговой корреляции Спирмена, который является модификацией коэффициента Пирсона для натурального ряда чисел (рангов). Никакого отношения к порядковой шкале он не имеет. Но его рекомендуют применять в том случае, если одно измерение произведено по шкале порядков, а другое — по шкале интервалов.
3. Данные получены по шкале интервалов, или отношений. В этом случае применяется стандартный коэффициент корреляции Пирсона или коэффициент ранговой корреляции Спирмена. В том случае, если одна переменная является дихотомической, а другая — интервальной, используется так называемый бисериальный коэффициент корреляции.
Наконец, если исследователь полагает, что связи между переменными нелинейны, он вычисляет корреляционное отношение, характеризующее величину нелинейной статистической зависимости двух переменных.
Корреляционное исследование завершается выводом о статистической значимости установленных (или неустановленных) зависимостей между переменными. Однако исследователи не ограничиваются такой констатацией. Одна из главных задач, которые возникают перед психологами, — выяснить, не обусловлены ли связи между отдельными параметрами (психологическими свойствами) скрытыми факторами? Для этой цели применяется аппарат редукции числа переменных: методы многомерного анализа данных, которые изучаются психологами в курсе «Математические методы в психологии».
Планирование корреляционных исследований в кросскультурной психологии и психогенетике
Все сказанное в этой главе относится к общепсихологическому исследованию. Существуют, по крайней мере, 4 области планирования исследования, которые редко рассматриваются в литературе, посвященной методам психологической науки.
Первая область — многомерный эксперимент. Планы многомерного исследования, в частности эксперимента, являются обобщением традиционных схем для случая n-зависимых переменных. В обычном эксперименте мы исследуем влияние одной независимой переменной на одну зависимую. Многоуровневый факторный эксперимент проводится для изучения влияния 1, 2,..., т независимых переменных также на одну зависимую переменную. Многомерный эксперимент предполагает схему т х п, где т — число независимых переменных, п — число зависимых переменных. Уже применение плана для 2 независимых и 2 зависимых переменных требует выявления связей между каждой парой независимая — зависимая переменная, т.е. построения 4 таблиц средних результатов 2 х 2 (если сравниваются средние). Кроме того, требуется выявить влияние уровня каждой независимой переменной, а также влияния их взаимодействия на корреляционную связь между двумя зависимыми переменными.
Более сложные планы многомерного психологического эксперимента очень трудоемки и требуют автоматизированного планирования и проведения эксперимента, а также особых компьютерных программ обработки результатов. По крайней мере, планирование многомерных экспериментов предоставляет исследователям широкие возможности для творчества.
Вторая область планирования исследования — эксперимент в дифференциальной психологии или индивидуально-психологический эксперимент. Целью этого эксперимента является выявление индивидуальных различий поведения в однородных ситуациях. Даже в обычном многомерном исследовании основной гипотезой являются не безусловные суждения «Если А, то В», а условное суждение «Если А, то В — при условии С1, В — при условии C2... и т.д.». В качестве условия выступают дополнительные переменные — индивидуально-психологические различия.
В дифференциально-психологическом эксперименте эти дополнительные переменные становятся основными: мы исследуем личность как детерминанту поведения. Основным статистическим показателем в этом исследовании является не мера центральной тенденции, а показатели вариации значений зависимой переменной. Независимая переменная (задания испытуемому, экспериментальное воздействие) превращается в дополнительную. Варьирование независимой переменной превращается в процедуру подбора методом, сочетающим стратификацию и рандомизацию, например, при разработке тестов группы отбираются по полу и возрасту, но по другим показателям они уравниваются.
Планирование дифференциально-психологического исследования — еще одна важнейшая и недостаточно разработанная область экспериментальной психологии.
Третья область — кросскультурные исследования. Любое кросскультурное исследование проводится для сопоставления поведения индивидов, выросших в разных социокультурных условиях. Факторы естественного развития и фона (истории), которые в обычном общепсихологическом исследовании выступают как источники артефактов, в кросскультурном исследовании являются аналогами независимой переменной.
По сути своей кросскультурное исследование является вариантом эксперимента ex-post-facto (эксперимента, на который ссылаются). Поэтому и все требования к ex-post-facto, а также ограничения при интерпретации полученных результатов относятся и к кросскультурному исследованию в равной мере Интерес к сравнительному изучению закономерностей психического развития представителей различных культур очень велик, и поэтому планирование кросскультурных исследований является одной из наиболее интенсивно развивающихся областей экспериментальной психологии.
Четвертое, особое направление — планы исследований в психогенетике. Рассмотрим подробнее 2 последних области.
Кросскультурное исследование
Кросскультурное исследование является, по сути, частным случаем плана сравнения группы. При этом число сравниваемых групп может колебаться (минимум — 2 группы).
Условно можно выделить 2 основных плана, используемых в кросскультурных исследованиях.
Первый план: сравнение 2 и более естественных или отобранных методом рандомизации групп из 2 популяций.
Второй план: сочетание плана сравнения 2 и более групп с лонгитюдом, при котором сопоставляются не только различия в особенностях поведения этих групп, но изучается процесс изменения этих особенностей под влиянием времени либо времени и дополнительных внешних факторов.
Однако содержание кросскультурных исследований настолько своеобразно, что большинство специалистов в области теории психологического метода выделяют их в особый тест.
Главная особенность кросскультурной психологии — предмет, который и определяет специфику метода.
Кросскультурная психология берет свое начало в трудах В. Вундта [Вундт В., 1998] и французских социологов начала XX в.: Г. Лебона [Лебон Г., 1998], А. Фулье [Фулье А., 1998], Г. Тарда [Тард Г., 1998].
Однако эти ученые не проводили эмпирических исследований. Методологом кросскультурной психологии (как и эмпирической психологии) стал Вильгельм Вундт. В 1900-1920 гг. он предпринял издание грандиозной, 10-томной «Психологии народов». Главным проявлением «народного духа» он считал языковую деятельность (в отличие от языковой системы — предмета исследования лингвистов). Этот труд наряду с «Основами физиологической психологии» стал основным вкладом В. Вундта в психологию. Работа «Проблемы психологии народов» является сборником статей, представляющих собой краткое изложение исследовательской программы В. Вундта, и служит введением в многотомную «Психологию народов».
Вундт выделял в науке о «национальном духе» по крайней мере 2 дисциплины: «историческую психологию народов» и «психологическую этнологию». Первая является объяснительной дисциплиной, вторая — описательной.
Законы «психологии народов» — суть законы развития, а основа ее — 3 области, содержание которых «превышает объем индивидуального сознания: язык, мифы и обычаи». В отличие от французских психологов и австрийских психоаналитиков В. Вундта меньше всего интересовало массовое поведение и проблема «личность и масса», а больше — содержание «национального духа» (Volksgeist), что, впрочем, соответствовало представлению о психологии как «науке о сознании». Он подчеркивает генетический приоритет «национального духа» перед индивидуальным: «В истории человеческого общества первым звеном бывает не индивидуум, но именно сообщество их. Из племени, из круга родни путем постепенной индивидуализации выделяется самостоятельная индивидуальная личность, вопреки гипотезам рационалистического Просвещения, согласно которым индивидуумы отчасти под гнетом нужды, отчасти путем размышления соединились в общество». Скрытая полемика с французскими социальными психологами присутствует и в трактовке роли подражания. В. Вундт на примерах усвоения индивидуумами 2 языков показывает, что подражание есть не основной, а лишь сопровождающий фактор при социальных взаимодействиях, аналогичной критике он подвергает и «теорию индивидуального изобретения». На место этих теорий он ставит процессы «общего творчества», «ассимиляции» и «диссимиляции», но до конца не раскрывает их природу.
Основным методом «психологии народов», по В. Вундту, являлось понимание, сравнительная интерпретация элементов культуры.
В современной кросскультурной психологии господствует эмпирический метод.
Предметом кросскультурных исследований являются особенности психики людей с точки зрения их детерминации социокультурными факторами, специфичными для каждой из сравниваемых этнокультурных общностей.
Отсюда вытекает то, что для правильного планирования кросскультурного исследования следует, во-первых, как минимум, определиться с тем, какие особенности психики могут быть потенциально подвержены влиянию культурных факторов, а также выявить множество параметров поведения, соответствующих этим особенностям. Во-вторых, требуется дать операциональные, а не теоретические определения понятиям «культура» и «культурный фактор», а также описать множество этих факторов, которые предположительно могут повлиять на различия в психических особенностях и поведении людей, принадлежащих к разным культурным общностям.
В-третьих, следует выбрать адекватный метод исследования и адекватную методику для измерения особенностей поведения людей, принадлежащих к разным культурам.
В-четвертых, следует определиться с объектом исследования. Нужно выбрать для изучения такие популяции, которые явно представляют собой субъекты разных культур. Кроме того, важнейшее значение имеет отбор или выбор групп из популяций, которые были бы репрезентативны с точки зрения принадлежности к сопоставляемым культурам.
Рассмотрим более подробно эти вопросы.
Кросскультурная психология начинается там, где кончается психогенетика. Результатом психологического исследования является определение относительного вклада генотипа и среды в детерминацию индивидуальных различий людей по какому-либо психологическому свойству.
В состав средовой детерминации входят и культурные факторы. Следовательно, на первый взгляд, гипотеза любого кросскультурного исследования должна касаться тех свойств психики, которые в большей мере зависят от среды, чем от наследственности, или же существенно зависят от среды.
Однако нет ни одного индивидуально-психологического параметра, который в той или иной степени не подвергался бы средовым влияниям. Поэтому гипотезы о культурной детерминации психологических свойств охватывают весь их спектр: от психофизиологических параметров до ценностных ориентации личности.
Среди факторов культуры, которые могут потенциально влиять на индивидуально-психологические различия, выделяются универсальные и специфические [Лебедева Н. М., 1998].
Существует множество классификаций, характеризующих психологические особенности культур.
Наиболее популярна классификация X. С. Триандиса [Triandis Н. С., 1994], который сформулировал понятие «культурный синдром» — определенный набор ценностей, установок, верований, норм и моделей поведения, которыми одна культурная группа отличается от другой.
Основными измерениями культуры он считает «простоту—сложность», «индивидуализм—коллективизм», «открытость—закрытость». Ряд исследователей [в частности, Хофстед Дж., 1984] выделяют такие параметры, как: 1) дистанция власти — степень неравномерности распределения власти с точки зрения данного общества, 2) избегание неопределенности и 3) маскулинность—фемининность.
Разумеется, эти параметры являются крайне примитивными. Даже «закоренелый» этнопсихолог никогда не сочтет их достаточными и даже необходимыми для описания той или иной культуры.
Сам термин «культура» — крайне неопределенный. Можно вслед за К. Поппером считать культурой «третий мир», созданную людьми систему «преобразованной реальности».
Чаще всего культурные различия сводят к этническим, и под кросскультурным исследованием подразумевают этнопсихологическое исследование. Иногда культуры (точнее — группы людей, принадлежащие к разным культурам) различают по другим критериям: 1) место проживания — речь идет о «городской» и «сельской» культуре; 2) религиозная принадлежность — имеют в виду православную, мусульманскую, протестантскую и пр. культуры; 3) приобщенность к европейской цивилизации и т.д.
Гипотезы, которые формируются при проведении кросскультурных исследований, выражают причинно-следственные отношения между культурными факторами и психическими особенностями. Культурные факторы считаются причиной различия психических свойств индивидуумов, принадлежащих к разным культурам.
Существует обоснованное предположение об обратном влиянии психических особенностей индивидуумов на характер культуры народов, к которым эти народы принадлежат.
В частности, такие гипотезы можно выдвинуть в отношении темпераментных, интеллектуальных и ряда других психических особенностей, наследственная детер-минация которых весьма существенна. Кроме того, биофизические факторы также влияют на индивидуально-психологические различия. Однако классические кросс-культурные исследования проводятся в рамках парадигм: «культура—причина, психические особенности — следствие».
Очевидно, что любое кросскультурное исследование строится по неэкспериментальному плану, экспериментатор не может управлять культурными факторами. Следовательно, нет никаких методических оснований считать связь «культура — особенности психики» причинно-следственной. Правильнее было бы говорить о корреляционной зависимости.
В зависимости от методической направленности и предмета содержания кросскультурные исследования делятся на несколько типов.
Ф. Ван де Вайвер и К. Леун (1997) предложили классифицировать кросскультурные исследования в зависимости от двух оснований: 1) конфирматорное (направленное на подтверждение либо опровержение теории) — эксплораторное (поисковое) исследование, 2) наличие или отсутствие контекстных переменных (демографических или психологических).
Обобщающее исследование проводится при наличии возможностей переноса или обобщения результатов, полученных при исследовании одной культурной общности, на другие. Эти исследования опираются на некоторую теорию и не учитывают влияния контекстных переменных, поэтому в строгом значении не могут быть отнесены к кросскультурным. Они проводятся для подтверждения универсальных гипотез, относящихся ко всем представителям вида Homo sapiens и уточняют внешнюю валидность.
Исследования, базирующиеся на теории, включают факторы кросскультурного контекста. В них проверяются гипотезы о конкретных связях культурных и психических переменных. В строгом значении термина «кросскультурное исследование» только их можно считать таковыми. Но чаще встречаются исследования психологических различий. Обычно применяется стандартная измерительная процедура и определяется существование значимых различий в среднем или стандартном разбросе измеряемых психических свойств 2 или более групп, принадлежащих к разным культурам. Культурные факторы при планировании исследований не учитываются, а привлекаются лишь для интерпретации полученных различий.
Последний тип исследований — «специальные исследования внешней валидности» (точнее было бы сказать — экологической) направлены на выявление различий в проявлении психических свойств под влиянием культурных факторов. Исследуется влияние ряда факторов на 1 (реже 2 или 3) психические особенности. Для обработки данных привлекается техника регрессионного анализа. Как правило, у исследователей нет никаких предварительных соображений о том, какие культурные переменные и в какой мере влияют на психические особенности.
Главная проблема планирования кросскультурного исследования — конструирование или выбор методики для регистрации параметров поведения, валидных по описанию к изучаемым психическим особенностям. Любая психологическая изме-рительная методика является продуктом культуры, чаще всего — западной, и может иметь адекватное значение только в контексте этой культуры. Первая задача исследователя —добиться высокой (содержательной) валидности методики, иначе испытуемые попросту не будут «включаться» в процесс исследования.
То, что многие авторы считают достижением конструктной (концептуальной) валидности, является не чем иным, как свидетельством того, что обобщенные представления об исследуемом психическом явлении у лиц, принадлежащих к изучаемым культурным группам, соответствуют теоретическим представлениям исследователя.
И в «кросскультурном треугольнике» (не путать с Бермудским) необходимо добиться универсальности поведенческих признаков, измеряемого свойства и их высокой валидности (рис. 5.20).

Хотя многие исследователи считают процедуру нахождения «культурноповеденческих аналогов» основной, я не склонен разделять их позиции. В конце концов физик-теоретик имеет право на свое суждение о причинах падения тел на землю, отличное от представления, принятого в том или ином племени или социальной группе. Равным образом это касается и психологии как естественной науки. Если же понятие «интеллект» кто-то трактует как социальный интеллект или сводит его к успешности решения учебных задач, а не рассматривает его теоретически как общую способность к умственной деятельности, то это его проблема. Другой вопрос, в какой мере на теоретическое представление автора исследования влияет его принадлежность к определенной культуре? Является ли его взгляд универсальным?
Для того чтобы избежать «культуральной односторонности», предложены два подхода: конвергентный и дивергентный. Конвергентный подход состоит в том, что исследование проводят представители всех культурных групп, которые являются объектом.
Каждый исследователь разрабатывает свой тест, который затем предъявляется каждой группе.
Таким образом, план исследования можно отобразить следующей схемой (для 2 групп):
Группа I О1 (I) О2 (II)
Группа II О3 (I) О4 (II)
Очевидно, результаты сравнения О1 и О3 а также О2 и О4 будут свидетельствовать о межгрупповых различиях. Причем сравнение DО13 и DО24 станет индикатором дифференцирующей силы методик О(I) и О(II).
Различия результатов О1 и О2, а также О3 и О4 будут являться показателями влияния методики измерения на проявления поведения в разных группах. Сопоставление DО12 и DО34 дает информацию об эффекте смещения: влияние взаимодействия методики измерения и состава группы.
Дивергентный подход состоит в учете представлений о природе явления, сло-жившихся у исследователей, принадлежащих к разным культурам, при составлении одной методики. Этот подход возможен лишь при разработке методики, где разнородность заданий не повлияет на ее надежность и валидность (например, при составлении опросников на ценностные ориентации).
В иных случаях этот подход ничем не отличается от конвергентного.
И все же идеалом для большинства западных исследователей является создание универсальных или свободных от культуры методик.
Методика, составленная исследователем, принадлежащим к той же культурной среде, что и тестируемая группа, скорее всего даст иные результаты при ее применении на группе лиц, принадлежащих другой культуре.
В частности, тест на социальный интеллект, разработанный на материале исследований жизни и обычаев одного из кочевых племен Северо-Восточной Африки, будет более успешно решен представителями этого племени, нежели тест, разработанный российским психологом на материале жизни рабочих и инженеров Среднего Урала.
Эффекты последовательности могут оказать влияние на результаты исследования, проведенного с помощью «конвергентного» плана. Поэтому рекомендуется удвоить число групп и каждую группу тестировать в определенной последовательности.
Усовершенствованный план конвергентного кросскультурного исследования для 2 культуральных общностей выглядит следующим образом:
Культура Группа 1 О1(I) О2(II)
Группа 2 О3(I) О4(II)
Культура II Группа 3 О5(I) О6(II)
Группа 4 О7(I) О8(II)
Но даже этот план недостаточен. Необходимо контролировать влияние исследователя. В большинстве кросскультурных исследований тестирование проводит психолог, принадлежащий к одной из 2 тестируемых культуральных общностей или же к 3-й — чаще всего западноевропейской либо североамериканской. Коммуникативные проблемы могут быть основным источником погрешностей. Дело не только в знании испытуемым языка, которым владеет исследователь, или наоборот — знания исследователем языка изучаемой национальной группы. Различия в поведенческих стереотипах, установках, способах общения и т.д. могут быть настолько велики, что приведут к нарушению всей процедуры тестирования и полному искажению результатов. Поэтому целесообразно, чтобы кросскультурные исследования проводились представителями обеих тестируемых культурных групп. Разумеется, применение балансировки, учитывающей личность экспериментатора, резко увеличивает число тестируемых групп. В этом случае следует отказаться от полного плана и воспользоваться планом «латинский квадрат».
Наиболее подвержены влиянию культурных факторов результаты вербальных тестов. Требуется оценить адекватность в каждой исследуемой группе изучаемых психологических конструктов, способа предъявления материала и содержания вопросов или утверждений.
Д. Кэмпбелл и О. Вернер [Werner О., Campbell D. Т., 1970] предложили технику двойного перевода методики. Тест переводится с языка оригинала на язык культурной группы, а затем другой переводчик независимо переводит этот текст на язык оригинала. Рассогласования используют для устранения недостатков в формулировке утверждений. Второй прием, предложенный теми же авторами, — «децентрация», а именно, исключение из оригинального текста методики понятий и выражений, которые сложны для перевода или специфичны для культуры, к которой принадлежит автор методики.
Однако до сей поры разработано лишь несколько методик, удовлетворяющих критерию культурной универсальности.
Американские этнопсихологи разделяют все методики на «культурно-специфичные» и «универсальные».
К числу тестов, «свободных от влияния культуры» (и то — по мнению авторов), принадлежат «прогрессивные матрицы» Дж. Равена, «Культурно-свободный тест» (CFT) Р. Б. Кеттелла, опросники Г. Ю. Айзенка ЕР1 и EPQ, тест МакКрея и Косты «Большая пятерка» (Big Five) и ряд других.
Большинство этнопсихологов считает, что попытки создания методик, свободных от влияния культуры, сродни поискам «вечного двигателя».
Таблица. 5.15
Бланк методики «Культурно-ценностный дифференциал»
Инструкция испытуемому. Как вы считаете, насколько характерны данные качества для вашего народа (для другого народа)? Качества оцениваются по 4-балльной шкале: 1 — данное качество отсутствует, 2 — качество выражено слабо, 3 — качество выражено сред-не, 4 — качество выражено в полной мере.

К числу специализированных методических свойств относится «Атлас аффективных значении», созданный Ч. Осгудом и его сотрудниками в 1975 г. Атлас содержит свыше 620 объективных индикаторов субъективных культур. Он является результатом обобщения кросскультурных исследований психосемантических структур юношей и подростков. Однако даже этот атлас создавался на основе «универсальной» психологической концепции — теории метода «семантического дифференциала» Ч. Э. Осгуда [Osgood С. Е., 1962].
Процесс разработки измерительной методики для кросскультурного исследования можно разделить на 3 этапа: 1) выбор группы «надкультурных» (универсальных) переменных и создание культурно-универсальной методики; 2) выделение культурно-специфических переменных и дополнение методики; 3) корректировка методики путем ее кросскультурной валидизации. Такую кросскультурную валидизацию и модификации прошла методика измерения социальной дистанции Е. С. Богардуса [Bogardus Е. S., 1950].
В России очень мало методик, разработанных специально для кросскультурных исследований. Часто применяются модификации метода «Семантический дифференциал» Ч. Э. Осгуда (В. Ф. Петренко), модификации теста личностных конструктов Дж. Келли (Г. У. Солдатова).
К числу оригинальных следует отнести методику «Типы личностной идентичности», разработанную Г. У. Солдатовой и С. В. Рыжовой, а также методику — «Культурно-ценностный дифференциал» (Г. У. Солдатова, И. М. Кузнецов и С. В. Рыжова). Рассмотрим последнюю в качестве примера. Цель этой методики — измерение групповых ценностных ориентаций: на группу, на власть, друг на друга и на социальные изменения.
Ценностные ориентации сформулированы в рамках психологического универ-сального измерения культуры «индивидуализм—коллективизм».
Шкала «ориентация на группу — ориентация на себя» рассматривается на основе таких параметров, как внутригрупповая поддержка (взаимовыручка — разобщенность), подчиненность группе (подчинение — самостоятельность) и традиционность (верность традициям — разрушение традиций). Ориентация на изменения рассматривается в диапазоне «открытость к переменам — сопротивление переменам» по параметрам: открытости — закрытости культуры (открытость — замкнутость), ориентации на перспективу (устремленность в будущее — устремленность в прошлое), степени риска (склонность к риску — осторожность). Ориентация друг на друга — в диапазоне «направленность на взаимодействие — отвержение взаимодействия» по параметрам: толерантности — интолерантности (миролюбие — агрессивность), эмоциональности (сердечность — холодность) и мотивации достижения (уступчивость — соперничество). Ориентация на власть — в диапазоне «сильный социальный контроль — слабый социальный контроль» по параметрам: подчинения запретительным и регулирующим стандартам общества (дисциплинированность — своеволие, законопослушность — анархия) и значимость авторитета (уважение к власти — недоверие к власти) (табл. 5.15.).
На основе «сырых» данных вычисляется степень выраженности измеряемого качества и коэффициент совпадения степеней выраженности качеств в разных группах.
Перейдем к решающему моменту любого кросскультурного исследования: выбору популяции, формированию и отбору групп.
Исследователь в первую очередь должен выбрать популяцию, соответствующую гипотезе и плану эмпирического исследования.
Возможны несколько вариантов. Во-первых, исследователь выбирает популяцию, исходя из практических задач: часто исследования проводятся в рамках, финансируемых государством, научными и общественными фондами, а также частными лицами программ. Иногда исследования проводятся с целью прогнозирования, в частности, конфликтов на межэтнической почве.
Исследователь проводит работу с той популяцией, которая соответствует требованиям заказчика.
Второй вариант: исследователь выбирает популяцию, исходя только из научных предпосылок. Кросскультурные популяции выбираются в соответствии с научной гипотезой, которая основана на психологической теории. Как правило, исследователи выбирают популяции, исходя из их положения на континууме свойства, харак-теризующего культуры: это могут быть «открытость—закрытость», «индивидуализм—коллективизм» и пр. Выбор двух популяций позволяет проверить качественную гипотезу о влиянии культуры на поведение, а 3 популяции, расположенные, соответственно, на краях и в центре континуума, позволяют проверить количественную гипотезу. Реже популяции отбираются случайным образом из соображений удобства либо путем рандомизации. Часто приводят пример исследования С. Шварцем [Schwartz S. Н., 1992] структуры ценностных ориентации у представителей 36 культур. Для этого С. Шварц приглашал исследователей, принадлежащих к различным этносам и желающих с ним сотрудничать, принять участие в эксперименте.
Проведение исследований на естественных группах, которые «попались под руку», в современной методической практике не приветствуется, поскольку научные результаты, полученные таким путем, недостаточно валидны и с трудом поддаются теоретической интерпретации.
После выбора популяций исследователь, занимающийся межкультурным исследованием, должен сформировать выборку и распределить испытуемых по группам.
В простейшем случае выборка состоит из двух групп испытуемых, принадлежащих к разным культурам.
Отбор испытуемых в группы из популяции определяется путем рандомизации либо путем стратометрической рандомизации.
Но проблема в том, каким путем привлечь испытуемых к участию в исследовании. Исследователь располагает ограниченным набором способов. Он может включиться в практическую работу, например в деятельность школьной психологической консультации, и обследовать тех детей, которых приводят родители или которые сами обращаются за помощью.
В этом случае психолог может столкнуться с проблемой смещенности обследуемых групп. Предположим, ему надо сравнить особенности общения русских и армянских детей. Если он консультирует детей, испытывающих трудности при адаптации к условиям общения в русскоязычной школе, то можно предположить, что армянские дети будут испытывать большие проблемы в адаптации, но далеко не всегда их родители будут обращаться к русскому психологу.
Исследователь может привлечь добровольцев (за плату или энтузиастов). Но известно, что группы добровольцев отличаются по своим характеристикам от характеристик популяции в целом. К тому же многие добровольцы могут включаться в исследование по политическим, идеологическим и другим внешним мотивам.
Также психолог может уговорить людей принять участие в исследовании, но при этом он должен иметь в виду, что на уговоры поддаются люди, которым легче вступить в контакт с представителем той культуры, к которой принадлежит исследователь. Поэтому выборка «рекрутеров» будет нерепрезентативной по отношению к популяции. Скорее всего, результаты будут смещены в сторону сходства психических характеристик двух культуральных групп. Это произойдет даже в том случае, если исследователь не принадлежит ни к одной из изучаемых культурных групп (хотя в этом случае эффект будет несколько ослаблен). Как правило, на контакт с исследователем-психологом идут люди с высоким уровнем образования и доходов, знающие иностранные языки, открытые и толерантные, склонные к сотрудничеству.
Наконец, исследователь может отобрать испытуемых принудительно, если в этом заинтересованы представители власти. Такие исследования проводятся в армии, в тюрьмах, в закрытых учебных заведениях — там, где поведение людей жестко контролируется.
Однако в этом случае исследователь может столкнуться с искажениями результатов, саботажем и нежеланием испытуемых сотрудничать с ним.
Тема 14. Лекция