Организация — это группа людей, деятельность которых сознательно координируется для достижения общей цели или целей.
Для того чтобы считаться организацией, некая группа должна отвечать следующим обязательным требованиям:
— наличие по крайней мере двух человек, которые считают себя членами этой организации;
— наличие по крайней мере одной цели, которую принимают как общую все члены группы;
— деятельность членов группы по достижению цели (целей).
Можно рассматривать жизненный цикл организации. Наиболее распространенный его вариант представлен на рис.1, он исключает следующие фазы.
|
Рисунок 1 - Жизненный цикл организации
Первая фаза — создание организации, становление ее. Цели организации при этом являются еще нечеткими, творческий процесс протекает свободно, продвижение к следующему этапу требует стабильного обеспечения ресурсами. Основные задачи — выход на рынок, максимальное увеличение прибыли для дальнейшего развития.
Вторая фаза — рост организации. Развиваются инновационные процессы, формируется миссия организации. Коммуникации и структура организации остаются в значительной мере неформальными. Члены организации затрачивают много времени на развитие контактов, демонстрируют высокие обязательства. Главная цель этой фазы жизнедеятельности организации — кратковременная прибыль и ускоренный рост, выживание за счет жесткого руководства. Основная задача — захват части рынка.
Третья фаза — зрелость организации. Структура ее стабилизируется, вводятся правила, определяются процедуры, процесс принятия решений становится формализованным. Упор делается на эффективность инноваций и стабильность. Возрастает роль высшего руководства организации.
Далее организация увеличивает объемы деятельности, расширяет долю на рынке. Основной целью организации при этом является повышение эффективности по всем направлениям. Важнейшие задачи ее — повышение имиджа предприятия, оптимизация организации труда и рост профессионализма работников. Это требует периодической и своевременной корректировки структуры управления организацией.
Четвертая фаза — упадок, старение организации. В результате конкуренции, сокращения рынка организация сталкивается с уменьшением спроса на свою продукцию или услуги. Руководители ищут пути удержания рынков и использования новых возможностей. Растет конфликтность. К руководству приходят новые люди, которые пытаются сдержать тенденцию к упадку. Механизм выработки и принятия решений централизован. Главной целью организации является обеспечение стабильности за счет сохранения существующих позиций.
Можно выделить еще одну фазу жизнедеятельности организации. В зависимости от положения дел в организации и поведения менеджмента возможны следующие варианты: возрождение организации либо ее ликвидация. В большинстве случаев основной целью управления организацией является ее возрождение. Наступление того или иного варианта зависит от целей и профессионализма менеджмента. Здесь важной задачей является изменение деятельности организации, ее частичная или полная реорганизация, внедрение инноваций, повышение профессионализма сотрудников.
Современные организации характеризуются значительным разнообразием и подразделяются по определенным признакам.
- на основании признака формализации выделяются:
· формальные организации, имеющие четко поставленные цели, формализованные правила, структуру и связи;
· неформальные организации, функционирующие без четко определенных целей, правил и структур;
- по формам собственности:
· государственная
· муниципальная
· частная
· собственность общественных и религиозных организаций
· прочие формы собственности, включая смешанную российскую, иностранную, совместную российскую и иностранную
- по целевому назначению хозяйственной деятельности:
· коммерческие
· некоммерческие.
- по методам формирования организации:
· формируемые сверху вниз;
· формируемые снизу вверх;
· формируемые по диагонали.
по источникам образования:
— приватизация;
— коммерциализация;
— самоорганизация.
· Учредительство:
— частное лицо;
— юридическое лицо;
- по типам предпринимательства:
· единоличный;
· корпоративный:
— объединение лиц;
— объединение капиталов.
по формам присвоения капитала:
· индивидуальная:
— личное подсобное хозяйство;
— трудовое хозяйство;
—индивидуальная трудовая деятельность;
—личная собственность;
· коллективная (трудовая):
— семейная;
— товарищество;
— хозяйственное общество;
— кооперативная;
— собственность общественных организаций;
· государственная:
— общегосударственная;
— образований на территории государства;
— муниципальная.
А также организации подразделяются по видам экономической деятельности, по организационно-правовым формам, по масштабам деятельности организации и т.д.
Функционирование и развитие каждой организации осуществляется в среде (внутренней и внешней).
Внутренняя среда организации является источником ее жизненной силы. Она заключает в себе потенциал, который дает возможность организации функционировать, а следовательно, существовать и выживать в определенном промежутке времени. Внутренняя среда организации представляет собой совокупность следующих основных составляющих
— технология;
— кадры;
— внутриорганизационные процессы
Организационная структура управления организацией отражает сложившееся выделение подразделений, связи между ними и объединение подразделений в единое целое.
Технология, включающая в себя технические средства и способы их комбинирования и использования для получения конечного продукта, создаваемого организацией, является предметом самого пристального внимания со стороны менеджмента.
Кадры являются основой любой организации. Без людей нет организации. Организация живет и функционирует только потому, что в ней есть люди. Люди в организации создают ее продукт, они формируют культуру организации, ее внутренний климат, от них зависит то, чем является организация.
Организационная культура — это набор наиболее важных предположений, принимаемых членами организации и получающих выражение в заявленных организацией ценностях, задающих людям ориентиры их поведения и действий.
Внутренняя жизнь организации состоит из большого количества различных действий, подпроцессов и процессов. В зависимости от типа организации, ее размера и вида деятельности одни процессы и действия могут занимать в ней ведущее место, другие могут либо отсутствовать, либо осуществляться в небольшом объеме.
Внешняя среда является источником, питающим организацию ресурсами, необходимыми для поддержания ее жизнедеятельности, внутреннего потенциала на должном уровне. Взаимодействие организации с внешней средой обеспечивает ее устойчивость, т. е. способность устранять возникающие отклонения и достигать поставленных целей после оказываемых на нее возмущающих воздействий.
Все факторы внешней среды можно разделить на две основные группы.
Первую составляют факторы общего внешнего окружения (макроокружения) организаций, которые оказывают на организации лишь опосредованное влияние. Причем влияние этих факторов является более или менее одинаковым для многих организаций. Основные из таких факторов:
— состояние экономики государства;
— природно-географические условия;
— кредитно-финансовая политика;
— уровень развития техники и технологий;
— мировой рынок и т. д.
Ко второй группе относятся факторы непосредственного (делового) окружения организаций, которые непосредственно связаны, взаимодействуют с ними. Это:
— потребители;
— конкуренты;
— поставщики;
— деловые партнеры;
— источники "силового давления" на организации;
— профсоюзы и т. д.
Важнейшим элементом организации является ее организационная структура – это упорядоченная совокупность взаимосвязанных и расположенных в порядке подчиненности элементов (органов, кадров) системы управления организацией, призванных обеспечивать целенаправленное функционирование и развитие ее.
Основные элементы организационных структур:
— звенья — это должности, подразделения или функции, изображаемые графически;
— уровень управления — совокупность звеньев управления, занимающих определенную иерархическую ступень, в рамках которой должностные лица, имеющие одинаковые полномочия, могут принимать решения без согласования с вышестоящими органами;
— связи.
Организационные структуры управления организациями (предприятиями) определяют следующие основные факторы:
• характер деятельности организации и ее особенности (номенклатура производимой или реализуемой продукции, оказываемых услуг, технология, техническая оснащенность);
• размеры (объемы производственной или коммерческой деятельности) организации;
• соответствие структуры аппарата управления иерархической структуре основной деятельности (производство, коммерция);
• сложность и уровень унификации продукции и услуг;
• формы организации управления;
• географическое размещение организации;
• соотношение между централизованной и децентрализованной формами управления организацией;
• соотношение между отраслевой и территориальной формами управления (по продукции, региону);
• уровень информатизации и компьютеризации управленческих процессов в организации;
• технология в организации;
• уровни специализации, концентрации, комбинирования и кооперирования производства;
• сложность и динамизм внешней среды организации;
• уровень квалификации персонала организации;
• цели деятельности, стратегия организации, а также ее производственные задачи (предметы хозяйственной деятельности).
• организационно-правовая форма организации, т. е. система правовых норм, регулирующих отношения между организацией и ее окружением, между организацией и долевыми собственниками и т. д.;
• оснащение организации производственными факторами (профессиональный уровень персонала, оборудование, капитал, информация);
• организация снабжения и сбыта продукции;
• масштаб и формы осуществления внешнеэкономической деятельности.
Различают следующие основные типы организационных структур:
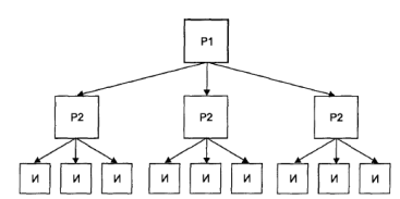
1. Линейная структура предполагает, что во главе организации и каждого подразделения находится руководитель, наделенный всеми полномочиями и сосредоточивающий в своих руках все функции управления. Его решения, передаваемые по цепочке сверху вниз, обязательны для выполнения всеми нижестоящими звеньями. На этой основе создается иерархия руководителей данной системы управления (например, директор организации, начальник цеха, мастер).

Рисунок 2 - Линейная структура управления:
Р1 — руководитель высшего уровня; Р2 — руководитель второго уровня;
И — исполнители
Достоинства данной организационной структуры:
• единство и четкость распоряжений;
• четкое разграничение ответственности и компетенции;
• простой контроль;
• быстрые и экономичные формы принятия решений;
• простые иерархические коммуникации;
• персонифицированная ответственность;
• высокая ответственность руководителя за результаты деятельности возглавляемого подразделения;
• получение исполнителями согласованных между собой распоряжений.
Недостатки данной организационной структуры:
• высокие профессиональные требования к руководителю, который должен иметь обширные знания и опыт по всем управленческим функциям и видам деятельности организации (подразделения);
• сложные коммуникации между исполнителями;
• низкий уровень специализации руководителей;
• ярко выраженный авторитарный стиль руководства;
• перегрузка руководителей информацией;
• множественность контактов руководителей с подчиненными, вышестоящими и смежными организациями.
Такая оргструктура используется обычно в малых и средних организациях.
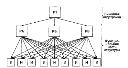
2. Функциональная организационная структура.
Она строится и исходит из видов основной деятельности организации. Таковыми видами и соответственно функциональными подразделениями обычно являются:
— производство;
— научно-исследовательская деятельность и опытно-конструкторские разработки;
— сбыт;
— логистика;
— административное управление.

Рисунок 3 - Функциональная структура управления:
Р1 — руководитель высшего уровня;
РА, РБ; РВ — руководители по функциям А, Б, В.
Каждое из указанных подразделений имеет свою конкретную задачу и обязанности и специализируется на выполнении отдельных управленческих функций. Высокая компетентность руководителей функциональных служб, наделенных полномочиями, позволяет свести до минимума численность аппарата управления и соответственно затраты на управление.
Достоинства функциональной структуры управления:
• привлечение к руководству компетентных в конкретной области специалистов;
• оперативность в решении нестандартных ситуаций;
• быстрый рост профессионализма функциональных руководителей.
Недостатки:
• замкнутость функциональных подразделений и вытекающая из этого склонность к эгоистичному поведению, так как каждое подразделение (закупки, производство и т. д.) преследует собственные цели;
• перегруженность руководства организации;
• весьма ограничены возможности развития персонала организации;
• возможность конфликтов в сфере разделения компетенций в случае пересечения задач;
• неоднородность подсистем, что препятствует инновациям.
Основные области применения функциональных оргструктур:
• малые организации;
• однопродуктовые организации;
• организации, реализующие сложные и длительные инновационные проекты;
• средние узкоспециализированные организации;
• научно-исследовательские и проектно-конструкторские организации;
• крупные специализированные организации.
3. Линейно-функциональная структура включает как линейную, так и функциональную организации. Определенные органы управления и исполнители специализируются на выполнении отдельных видов управленческой деятельности (функций).
В данной структуре общий руководитель и руководители подразделений (технического, экономического и др.) разделяют свое воздействие на исполнителей. Общий руководитель осуществляет линейное воздействие на всех участников структуры, а функциональные руководители (подразделения) дают указания и распоряжения по соответствующим вопросам: (в пределах полномочий) нижестоящим подразделениям-исполнителям, оказывают им технологическое содействие в выполнении работ.
Достоинствами этой структуры являются:
• высокая компетентность специалистов, отвечающих за конкретные функции;
• расширение возможностей линейных руководителей по оперативному управлению в результате их высвобождения от подготовки сведений по вопросам функциональной деятельности;
• высокая эффективность (в стабильной среде);
• экономия на управленческих расходах;
• высокие специализация и компетентность функциональных служб;
• быстрое решение простых проблем.
|
Рисунок 4 - Линейно-функциональная структура
К недостаткам структуры можно отнести:
• отсутствие единства действий, нарушение принципа единоначалия;
• невозможность поддержания постоянных взаимосвязей между функциональными службами, трудность координации их деятельности;
• длительная процедура принятия решений;
• двойное подчинение исполнителей;
• снижение ответственности исполнителей за работу, поскольку каждый из них получает указания от нескольких руководителей;
• несогласованность указаний и распоряжений, получаемых работниками "сверху", так как каждое функциональное подразделение ставит свои вопросы на первое место.
Линейно-функциональные оргструктуры управления наиболее эффективны в условиях массового или крупносерийного производства с незначительно меняющейся номенклатурой выпускаемой продукции и технологией ее производства, что допускает выполнение аппаратом управления редко меняющихся задач и функций.
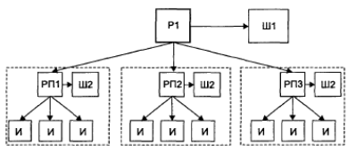
Появление дивизиональных (или отделенческих) организационных структур связано с наметившейся в 50-е гг. XX в. тенденцией к диверсификации производства. Сложная линейно-функциональная структура делится на достаточно автономные, относительно самостоятельные блоки. Выделение блоков происходит по видам товаров и услуг, географическим регионам, потребителям. Они основываются на конечных результатах (продукции, потребителе или рынке). В этой структуре сочетается централизация отдельных функций на высшем уровне и децентрализация деятельности производственных (коммерческих) подразделений.

Рисунок 5 - Дивизиональная структура управления:
РП1, РП2, РПЗ — руководители филиалов (блоков)
(контурные рамки обозначают обособление подразделений в структуре)
Достоинства дивизиональных структур:
• возможность высшего руководства концентрировать внимание на стратегических задачах за счет передачи полномочий по оперативной деятельности на уровень отделений;
• концентрация усилий вокруг конечного результата;
• уменьшение количества централизованных функциональных служб, способствующее улучшению функционального обслуживания в целом;
• лучшая интеграция персонала автономного отделения в связи с его ориентацией на конечный результат.
Недостатки:
• в производственных отделениях наблюдается тенденция к "укорачиванию" целей;
• рост управленческого аппарата в результате создания отделений ведет к увеличению накладных расходов;
• при централизованном распределении ключевых ресурсов в случае их недостатка между отделениями могут возникать конфликты;
• затруднена межотделенческая карьера.
Дивизиональная оргструктура широко используьтся в условиях многопродуктового производства (коммерции) или в многонациональных компаниях, в которых при территориальной разобщенности необходимо автономизировать страновые отделения. Особенно эффективно она применяется в отраслях, наименее подверженных колебаниям рыночной конъюнктуры и практически не зависящих от технологических нововведений.
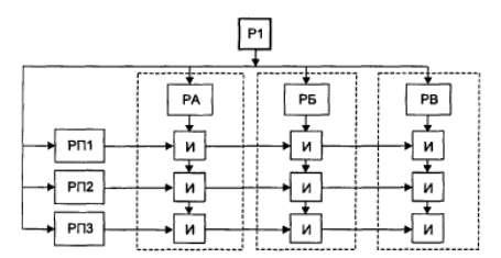
4. Матричная структура управления — это современный эффективный тип организационной структуры управления, который создается путем совмещения двух структур: линейной и программно-целевой (проектной)

Рисунок 6 - Матричная структура управления:
РП1, РП2, РПЗ — руководители проектов (работ по продукту, рук-ли программ, процессов)
(контурные рамки обозначают объединение исполнителей
в одно технологически однородное подразделение)
В соответствии с линейной структурой (по вертикали) осуществляется управление отдельными сферами деятельности организации: производством, сбытом, снабжением, а в соответствии с программно-целевой (проектной) структурой (по горизонтали) — управление программами (проектами).
При матричной структуре управления руководитель программы (проекта) работает со специалистами, которые подчинены и функциональным руководителям. Он определяет, что и когда должно быть сделано по конкретной программе. Функциональный же руководитель решает, кто и как будет выполнять ту или иную работу. Баланс власти между руководителями функциональных служб и руководителем программы обеспечивается характером властных полномочий: руководитель проекта имеет больше полномочий управленческого характера, а функциональные руководители — по существу выполняемой работы.
Достоинства матричной системы управления:
• активизация деятельности работников управления путем формирования программных подразделений, взаимодействующих с функциональными подразделениями;
• весьма четкое распределение функций управления между руководителями, ответственными за достижение высоких результатов (руководители проектных и программных групп), и руководителями, ответственными за обеспечение наиболее полного использования имеющихся ресурсов (начальники функциональных подразделений);
• вовлечение руководителей всех уровней и специалистов в активную творческую деятельность по совершенствованию производства (коммерции);
• четкое разграничение ответственности по проектам;
• высокая гибкость и адаптивность основных подразделений;
• высокая профессиональная квалификация функциональных руководителей;
• снижение нагрузки на руководителей высшего уровня в результате передачи полномочий по принятию решений на средний уровень. При этом координация и контроль за выполнением ключевых решений сохраняются на высшем уровне;
• обеспечение гибкости и оперативности маневрирования ресурсами при выполнении нескольких программ;
• возможность частых перестроек, связанных с внедрением новых технологических процессов и более производительного оборудования.
Недостатки:
• проектные группы не являются устойчивыми образованиями. Частая смена руководителей и специалистов в группах и на проектах приводит к потере контроля, и организация может просто развалиться;
• наличие "двойной" бюрократии и анархии, увеличение накладных расходов, которые многократно растут в условиях множества программ;
• в этих структурах повышен уровень конфликтности — между линейными и функциональными руководителями в связи с двойной подчиненностью первых, а также между работающими на временной основе сотрудниками групп.
При переходе к матричным структурам наибольший экономический эффект достигается в крупных организациях, выпускающих сложную продукцию.
Следует заметить, что матричная структура может охватывать всю организацию или ее часть. Сферами эффективного использования этих структур являются конструкторская подготовка и технологическое обеспечение производства, в которых матричные структуры позволяют успешно решать разовые задачи создания новых видов продукции и прогрессивных технологий.
На практике многие крупные и средние организации используют смешанные типы организационных структур, формируемые исходя из объективных условий деятельности. Это так называемые комбинированные структуры управления. Они представляют собой набор линейных, функциональных, линейно-функциональных и других управленческих структур, определяемый особенностями работы подразделений в рамках одной организации. При этом организация приобретает форму, которая лучше всего подходит для данной ситуации. Так, в одном отделении фирмы может использоваться продуктовая структура, в другом — функциональная, а в третьем — матричная. Как правило, высший уровень управления строится по линейно-функциональной структуре. Низовой уровень управления обычно строится по линейной структуре управления.
Стратегическое управление — это деятельность по разработке стратегии, т. е. качественно определенного генерального направления развития организации, и ее реализации на основе формирования и рационального использования ресурсов, адекватного реагирования на изменения внешней среды для обеспечения конкурентных преимуществ и достижения целей в перспективе.

Рисунок 7 - Структура стратегического управления
- анализ сред организации предполагает изучение:
• макроокружения (состояния экономики и политики, правового поля, природной среды и ресурсов, научно-технического, социального и культурного уровней развития общества и т. д.);
• непосредственного делового окружения (покупателей, конкурентов, поставщиков и т. д.);
• внутренней среды (кадров, организации управления, производства, финансов, маркетинга, организационной культуры и т. д.).
Анализ сред направлен на выявление угроз и возможностей,которые могут возникнуть во внешней среде по отношению корганизации, а также сильных и слабых сторон организации.
- определяется миссия (от лат. missio — посылка, поручение) организации.
Миссия конкретной организации отражает цели и интересы различных групп людей, связанных с ее деятельностью: собственники организации; покупатели производимой (реализуемой) продукции; деловые партнеры организации; сотрудники организации; местное сообщество; общество в целом, в первую очередь в лице государственных органов.
- процесс установления стратегических целей организации, можно выделить внешние и внутренние цели деятельности организации.
• внутренние цели — цели оптимизации потенциала организации, в качестве их можно использовать прибыльность, производительность труда и др.
• внешние цели — общие цели, отражающие концепцию развития организации как системы в целом.
- осуществляется выбор (разработка) стратегии, определяется, как организация будет достигать своих целей и реализовывать свою миссию, т. е. определяются направления развития таких сторон ее деятельности, как сфера, средства и форма.
Определение стратегии — это не составление плана действий, а принятие решения по поводу того, что делать в той или иной сфере деятельности, как и в каком направлении будет развиваться организация, какое место занимать в решении социально-экономических проблем территории и т. п.
- выполнение стратегии, которое направлено на решение следующих задач:
• установление приоритетности среди административных задач;
• установление соответствия между выбранной стратегией и внутриорганизационными процессами;
• выбор и приведение в соответствие с осуществляемой стратегией стиля лидерства и подхода к управлению организацией.
- оценка и контроль выполнения стратегии. Он обеспечивает обратную связь между тем, как осуществляется достижение целей, и целями организации. Выявляет причины возможных отклонений, осуществляет необходимые корректировки.
Ключевая роль в стратегическом управлении принадлежит руководству организации, прежде всего ее высшему уровню, которое должно не только определять ее стратегию, но и проводить необходимые изменения, мобилизуя ресурсы организации.