Классификация показателей качества продукции
Показатели качества продукции
Качество продукции представляет собой совокупность свойств*, обусловливающих ее пригододность удовлетворять определенные потребности. Степень проявления каждого свойства или нескольких свойств продукции оценивается с помощью показателей качества*. Так как имеется огромное многообразие видов продукции, характеризующихся различными свойствами, то и показателей качества продукции также много. В разделе 3.1 рассматривается классификация показателей качества продукции.
Каждый вид продукции характеризуется орпеделенной совокупностью показателей качества. Для обеспечения единообразия оценки качества конкретной продукции в различных обстоятельствах номенклатура ее показателей качества* регламентирована в соответствующих стандартах. В разделе 3.2 приведена характеристика номенклатурных групп показателей качества промышленной продукции.
Как мы уже говорили, под качеством понимается совокупность свойств продукции, обусловливающих ее пригодность удовлетворять определенные потребности в соответствии с ее назначением.
Из этого определения следует, что за исходную характеристику качества продукции принято ее свойство. Свойство - это объективная особенность продукции, проявляющаяся при ее создании, эксплуатации или потреблении. Каждый конкретный вид продукции имеет множество различных свойств. Их совокупность позволяет отличить ее от других видов продукции.
Все свойства продукции можно разделить на простые и сложные. К числу простых свойств можно отнести грузоподъемность и скорость автомобиля, мощность двигателя, массу изделия и т.п. Примером сложного свойства является надежность изделия, представляющая собой совокупность простых свойств: безотказность, долговечность, сохраняемость, ремонтопригодность.
Степень проявления каждого свойства или нескольких свойств продукции оценивается с помощью показателей качества.
Показателькачества продукции - это количественная характеристика одного или нескольких свойств продукции, составляющих ее качество, рассматриваемая применительно к определенным условиям ее создания, эксплуатации или потребления.
Каждый вид продукции характеризует своя номенклатура показателей качества, которая зависит от назначения продукции. У продукции многоцелевого назначения эта номенклатура может быть очень многочисленной. Показатель качества продукции может выражаться в различных единицах (например, км/ч, часах на отказ), баллах, а также может быть безразмерным.
Показатель качества продукции, характеризующий одно из ее свойств, называется единичным показателем качества продукции. Примерами единичных показателей могут быть мощность (двигателя), калорийность (топлива), наработка на отказ.
Комплексным называется показатель качества продукции, характеризующий несколько ее свойств.
В качестве примера комплексного показателя качества продукции рассмотрим коэффициент готовности Кг, который для определенного вида изделий вычисляется по формуле:
(2.1)
где Т о - средняя наработка изделия на отказ (показатель безотказности); Т в - среднее время восстановления работоспособности (показатель ремонтопригодности).
Коэффициент готовности характеризует два свойства изделия - безотказность и ремонтопригодность. В свою очередь:
(2.2)
где Т от - среднее время, затрачиваемое на отыскание отказа; Т у - среднее время, необходимое для устранения отказа.
Из формулы видно, что ремонтопригодность - сложное свойство изделия по отношению к таким более простым свойствам, как Т от и Т у. Следовательно, относительно К Г показатель Т в можно рассматривать как единичный, а относительно Т от и Т у - как комплексный.
Разновидностью комплексного показателя качества, позволяющего с экономической точки зрения определить оптимальную совокупность свойств изделий, является интегральный показатель качества продукции, который отражает отношение суммарного полезного эффекта от эксплуатации или потребления продукции к суммарным затратам на ее создание и эксплуатацию или потребление:
(2.3)
где Э - суммарный полезный эффект от эксплуатации продукции (например, выработка станка за определенное время - год, месяц и т.д., пробег грузового автомобиля в тонно-километрах за срок службы до капитального ремонта); З с - суммарные затраты на создание продукции (разработку, изготовление, монтаж и другие единовременные затраты); З э - суммарные эксплуатационные затраты (техническое обслуживание, ремонт и другие текущие затраты).
Интегральный показатель качества продукции является эффективным показателем качества, содержащим важнейшую информацию о качестве продукции и затратах на его достижение и эксплуатацию или потребление. Благодаря этому в нем учитывается вся совокупность факторов, влияющих на качество продукции в зависимости от полных затрат на эти факторы.
Интегральный показатель качества продукции обладает важным свойством: он обращается в максимум при оптимальном полезном эффекте и оптимальных затратах на его достижение. Следовательно, увеличение затрат на повышение качества имеет смысл только до тех пор, пока увеличивается интегральный показатель качества продукции. Применение его важно при анализе динамики качества продукции, определении путей его улучшения, при решении задач постановки продукции на производство и т. д.
Наряду с интегральным показателем качества продукции может использоваться величина, обратная ему, называемая удельными затратами на единицу эффекта.
Показатель качества продукции, по которому принимают решение оценивать качество продукции, называется определяющим показателем. Комплексный определяющий показатель качества продукции называют обобщенным. Комплексный показатель, относящийся к определенной группе свойств продукции, называется групповым (рис.2.1).

Рис.2.1. Классификация показателей качества продукции по количеству характеризуемых свойств
Значение показателя качества продукции, принятое за основу при сравнительной оценке ее качества, называется базовым значением показателя качества продукции. В качестве базовых значений могут приниматься значения показателей качества лучших отечественных и зарубежных образцов, по которым имеются достоверные данные об их качестве.
Относительное значение показателя качества продукции определяется отношением значения показателя качества оцениваемой продукции к базовому значению этого показателя и выражается в безразмерных величинах или процентах.
Регламентированное нормативной документацией значение показателя качества продукции, от которого отсчитывается отклонение, называется номинальным значением.
Отклонение фактического значения показателя качества продукции от номинального значения, находящееся в пределах, установленных нормативной документацией, является допускаемым отклонением показателя качества продукции. Выход фактического значения показателя за установленные пределы означает, что продукция имеет дефект.
Допускаемое отклонение может характеризоваться, например, глубиной и площадью вмятин, царапин на поверхности изделия, а также их числом, если их значения не превосходят предельных - наибольших или наименьших регламентированных значений. При этом номинальные значения, от которых в данном случае отсчитываются допускаемые отклонения, приравниваются к нулю.
Номенклатура показателей качества продукции (НПКП) - это совокупность (перечень) характеристик свойств продукции, выражающих ее качественную определенность как продукта производства и средства удовлетворения потребности.
Обоснование и назначение номенклатуры показателей - исходный момент объективной комплексной оценки качества продукции. От полноты перечня показателей, четкости их количественного определения в конечном счете зависит достоверность ее результатов и выбор лучших вариантов. Номенклатура показателей качества продукции должна обеспечивать сопоставимость проектируемой или выпускаемой продукции с потребностью, для удовлетворения которой она предназначена, с аналогами, расчет экономического эффекта от ее производства и применения, определение цены.
Есть продукция, оценить качество которой можно по одному показателю, и этого будет достаточно, например ходимость шины, количество отверстий, которые можно просверлить сверлом. Однако круг такой продукции довольно ограничен. По большинству изделий необходимо учитывать все или почти все группы показателей.
Выделяют следующие группы показателей качества: назначения, надежности, экономного использования ресурсов, эргономические, эстетические, технологичности, транспортабельности, стандартизации и унификации, патентно-правовые, экологические, безопасности, стойкости к внешним воздействиям, экономические.
Существуют стандарты на НПКП, которые регламентируют номенклатуру важнейших показателей качества продукции, принадлежащей к определенной классификационной группировке. Благодаря этому достигается однообразие показателей качества, включаемых в стандарты, технические условия и технические требования, а также в другие НТД на продукцию данной классификационной группировки.
Целями системы стандартов на НПКП являются установление и использование необходимой и достаточной НПКП при решении задач управления качеством продукции и стандартизации, в том числе: при аттестации и оценке технического уровня и качества продукции; разработке и постановке продукции на производство; разработке стандартов и технических условий на продукцию; сертификации продукции.
Серии стандартов на показатели качества отдельных видов продукции присвоен заголовок "Система показателей качества продукции" и общий номер 4. Например, ГОСТ 4.142-85 "Система показателей качества продукции. Лампы электрические. Номенклатура показателей".
Рассмотрим характеристику номенклатурных групп показателей качества.
Показатели назначения характеризуют свойства продукции, определяющие основные функции, для выполнения которых она предназначена, и обусловливают область ее применения. ќти показатели обычно играют основную роль в оценке уровня качества, их часто используют как критерии оптимизации при нахождении наилучших решений в управлении качеством. Каждому виду продукции свойственны свои показатели назначения.
Показатели назначения делятся на подгруппы. Классификационные показатели характеризуют основные классификационные свойства продукции (например, размер экрана телевизора, напряжение и мощность электролампочки), область или способ использования (например, наземная или бортовая аппаратура, стационарный или переносной магнитофон).
К показателям назначения относятся функциональные показатели. Для технических устройств они характеризуют полезную работу, которую изделие совершает или которую можно совершить с его помощью (производительность, точность, пределы измерений, дальность действия и т. д.). К этой подгруппе относятся конструктивные (масса, габаритные размеры) и эксплуатационные показатели (потребляемая электрическая мощность, расход топлива).
Для продукции, свойства которой зависят от ее состава и структуры, показатели назначения характеризуют состав входящих в нее компонентов или структурных групп (концентрация вещества, содержание примесей и т.д.).
Для потребительских товаров массового спроса показатели назначения также характеризуют социальную адресность товара (для молодежи, пожилых людей, для отдыха и туризма), а также степень его морального старения, обусловленного появлением нового товара повышенного качества, изменением общественных норм и ценностных ориентаций потребителей и т.п.
2) Показатели надежности
Надежность - свойство изделия выполнять заданные функции, сохраняя свои эксплуатационные показатели в заданных пределах в течение требуемого промежутка времени или требуемой наработки.
Показатель надежности - главный при оценке качества машин, механизмов, технических устройств. Он характеризует свойства изделия сохранять во времени в установленных пределах значения всех параметров, выражающих способность выполнять требуемые функции в заданных режимах и условиях применения, технического обслуживания, ремонта, хранения и транспортирования.
Надежность, как сложное комплексное свойство, характеризуется четырьмя составляющими свойствами (безотказность, долговечность, сохраняемость, ремонтопригодность) и комплексными показателями.
а) Безотказность
Безотказность - свойство изделия непрерывно сохранять работоспособность в течение некоторого времени или некоторой наработки.
Для изделий неремонтируемых или заменяемых после первого нарушения работоспособности показателями безотказности являются:
· средняя наработка до первого отказа;
· вероятность безотказной работы в течение определенного срока;
Средняя наработка до первого отказа (t ср) может быть рассчитана по формуле:
(2.4)
где N - число наблюдаемых изделий; ti - наработка до первого отказа i -го изделия.
Вероятность безотказной работы аналитически определяется по формуле:
(2.5)
где F (t) - функция распределения времени работы объекта до отказа.
Статистически вероятность безотказной работы определяется отношением числа объектов, безотказно проработавших до момента времени t, к числу объектов, работоспособных в начальный момент времени t = 0 (
, где N - число наблюдаемых изделий, m - число отказавших изделий).
Определение интенсивности отказов базируется на понятии плотности вероятности отказа в момент t, под которой понимается вероятность отказа в достаточно малый интервал времени. Аналитически интенсивность отказов определяется по формуле:
(2.6)
где f(t)=F'(t) - плотность распределения времени безотказной работы, а статистически - по формуле:
(2.7)
где N (t) - число объектов, работоспособных к моменту t,
t - интервал времени.
Для ремонтируемых изделий показателями безотказности являются:
- средняя наработка на отказ;
- среднее значение параметра потока отказов.
Средняя наработка на отказ статистически определяется отношением суммарной наработки восстанавливаемых объектов к суммарному числу отказов этих объектов.
Среднее значение параметра потока отказов есть величина, обратная средней наработке на отказ.
б) Сохраняемость
Сохраняемость - свойство изделия сохранять обусловленные эксплуатационные показатели в течение и после срока хранения и транспортирования, установленного в технической документации. Единичными показателями сохраняемости являются:
- средний срок сохранности;
- назначенный срок хранения.
в) Долговечность
Долговечность - свойство изделия сохранять работоспособность до предельного состояния с необходимыми перерывами для технического обслуживания и ремонтов. Предельное состояние изделия определяется невозможностью его дальнейшей эксплуатации или снижением эффективности, либо требованиями безопасности и оговаривается в технической документации.
Показатели долговечности связаны с понятиями ресурса и срока службы. Ресурсом называют наработку изделия в часах от начала эксплуатации до наступления предельного состояния, когда дальнейшая эксплуатация опасна или экономически нецелесообразна. Здесь речь идет о суммарном времени собственно работы, обычно учитываемом в эксплуатационном журнале. Сроком службы называется продолжительность эксплуатации изделия от ее начала до наступления предельного состояния, т.е. непрерывное время (календарное), отсчитываемое независимо от продолжительности фактического времени работы изделия в этот период.
Для оценки долговечности изделия используются три показателя:
- средний ресурс (математическое ожидание ресурса) T р;
- средний срок службы до капитального ремонта;
- средний срок службы до списания, обусловленного предельным состоянием. Срок службы измеряется в годах. Увеличение срока службы не всегда необходимо из-за морального старения изделия.
Ремонтопригодность - это приспособленность к предупреждению, обнаружению и устранению отказов и неисправностей путем проведения технического обслуживания и ремонта. Под устранением отказов подразумевается восстановление работоспособности. Единичными показателями ремонтопригодности служат:
- среднее время восстановления работоспособного состояния;
- вероятность восстановления работоспособности в течение определенного интервала времени.
При наличии статистических данных о длительности восстановления
1,
,...
m, оценка среднего времени восстановления работоспособности вычисляется по формуле:
(2.8)
К комплексным показателям надежности относятся несколько коэффициентов, из которых наиболее распространенны следующие три:
- коэффициент готовности изделия;
- коэффициент технического использования;
- коэффициент оперативной готовности.
Коэффициент готовности изделия есть вероятность того, что изделие окажется работоспособным в произвольный момент времени, кроме планируемых периодов, в течение которых использование изделия не предусматривается. Коэффициент готовности, если принять, что работоспособность изделия восстанавливают только при отказах, определяется по формуле:
(2.9)
где T о - средняя наработка до отказа, T в - средняя продолжительность восстановления работоспособности изделия.
Коэффициент технического использования рассчитывается по формуле:
(2.10)
где Т р - время пребывания изделия в работоспособном состоянии; Т то - время простоев, обусловленных техническим обслуживанием; Т рем - время ремонтов за период эксплуатации.
Коэффициент оперативной готовности Ког - вероятность того, что изделие, находясь в режиме ожидания и начав в произвольный момент времени выполнение задачи, проработает безотказно требуемое время.
3) Показатели экономного использования ресурсов
Эти показатели характеризуют уровень или степень использования в конструкции изделия и при его эксплуатации сырья, материалов, топлива, энергии, трудовых ресурсов. К ним относятся:
· удельный расход сырья, материалов;
· потери сырья при регламентированных условиях;
· удельный расход топлива, энергии;
· коэффициент полезного действия;
· суммарная (удельная) трудоёмкость эксплуатации изделия.
Эргономические показатели характеризуют приспособленность изделия к эксплуатации и проявляются при функционировании системы "человек-изделие-среда использования".
Эргономические показатели качества распространяются на изделия в целом и их элементы: пульты управления, мнемосхемы, приборы индикации и сигнализации, таблички с надписями и обозначениями, органы управления и др.
Эргономические показатели подразделяются на следующие основные группы:
- гигиенические (освещенность, температура, влажность, напряженность электромагнитного поля, уровень излучения, шума, вибрации и др.);
- антропометрические (соответствие конструкции размерам тела человека, форме тела и отдельных его частей, входящих в контакт с конструкцией изделия);
- психофизиологические (показатели соответствия конструкции силовым и скоростным возможностям человека, зрительным возможностям (размер знаков, форма, яркость, контрастность, цвет, пространственное положение), слуховым возможностям, а также возможностям воспроизведения и переработки информации, легкого и быстрого формирования навыков управления.
Эстетические показатели характеризуют такие свойства, как художественную выразительность (оригинальность художественного замысла, соответствие стиля окружающей среде, образную и декоративную выразительность); рациональность формы (масштабная согласованность формы целого и частей, соответствие формы назначению изделия ); целостность композиции (соподчиненность целого и частей, упорядоченность графических и изобразительных элементов); совершенство производственного исполнения (чистота выполнения контуров и сопряжений, четкость исполнения фирменных знаков и указателей); соответствие моде и т.д.
Оценка эстетических показателей качества образцов изделий проводится экспертной комиссией. За критерий эстетической оценки принимается ранжированный ряд изделий аналогичного класса и назначения, называемый базовым рядом. Процесс оценки эстетических показателей включает в себя выбор базовых образцов и составление базового ряда, проведение сравнительного художественно-конструкторского анализа представленного изделия и определение эстетических показателей в баллах с использованием экспертных методов.
Показатели технологичности характеризуют свойства изделия, определяющие приспособленность его конструкции к достижению наименьших затрат ресурсов при производстве, эксплуатации и ремонте.
К числу основных показателей технологичности относят: трудоемкость, материалоемкость, энергоемкость, технологическую себестоимость.
Трудоемкость изготовления изделия определяется количеством времени, затрачиваемого исполнителями на его производство, и выражается в нормо-часах:
(2.11)
где ti - трудоемкость отдельных видов работ, входящих в технологический процесс изготовления данного изделия; K - число видов работ.
Материалоемкость изделия определяется общей массой его конструкции (в килограммах):
(2.12)
где mi - материалоемкость >i >-й составной части конструкции; h - число составных частей.
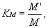
Коэффициент применяемости материалов. Он позволяет выявить применение в данной конструкции определенных видов, сортов, марок материалов:
(2.13)
где M'- количество определенного вида израсходованного материала.
Энергоемкость изделия A характеризует расходование энергии на его изготовление.
Технологическая себестоимость включает в себя стоимость технологических процессов изготовления изделия:
· стоимость сырья, материалов, покупных комплектующих изделий;
· основная заработная плата основных рабочих с начислениями на нее;
· расходы на содержание и эксплуатацию оборудования;
· стоимость израсходованных специальных инструментов и оснастки.
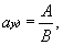
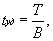
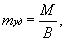
Важными показателями технологичности являются также удельные показатели, характеризующие экономичность расходования ресурсов:
- удельная трудоемкость изготовления изделия:
(2.14)
где В - определяющий параметр продукции;
- удельная материалоемкость изделия:
(2.15)
- коэффициент использования материала, характеризующий эффективность использования материальных ресурсов при изготовлении продукции:
(2.16)
где М г - количество (масса) материала в готовой продукции, кг; М в - количество (масса) материала, введенного в технологический процесс, кг;
-удельная энергоемкость изделия:
(2.17)
7) Показатели транспортабельности
Показатели транспортабельности характеризуют пригодность продукции к транспортным операциям. К этим показателям относятся:
· средняя продолжительность подготовки продукции к транспортированию;
· средняя трудоемкость подготовки продукции к транспортированию;
· средняя продолжительность установки продукции на средство транспортирования определенного вида;
· коэффициент использования объема транспортного средства;
· средняя продолжительность разгрузки партии продукции из средств транспортирования определенного вида.
Сюда же относятся стоимостные показатели, учитывающие материальные и трудовые затраты, а также возможные потери.
8) Показатели стандартизации и унификации
Показатели стандартизации и унификации характеризуют насыщенность продукции стандартными, унифицированными и оригинальными составными частями, а также уровень унификации ее по сравнению с другими изделиями аналогичного назначения. Под составными частями понимают детали или сборочные единицы. Составные части подразделяются на стандартные, унифицированные и оригинальные.
К стандартным относят составные части, выпускаемые в соответствии с ГОСТ и ОСТ, к оригинальным - разработанные только для данной конструкции. Унифицированными являются составные части: 1) выпускаемые по стандартам предприятия, если они используются хотя бы в двух различных изделиях данного предприятия; 2) получаемые с других предприятий в порядке кооперирования; 3) заимствованные из других разработок.
К показателям стандартизации и унификации относятся:
· коэффициент применяемости;
· коэффициент повторяемости;
· коэффициент взаимной унификации для группы изделий.
Коэффициент применяемости:
(2.18)
где n - общее количество типоразмеров составных частей изделия; n о - количество типоразмеров оригинальных составных частей.
Коэффициент повторяемости составных частей:
(2.19)
где N - общее количество составных частей изделия.
Коэффициент взаимной унификации:
(2.20)
где n i - количество типоразмеров составных частей в i-ом изделии; n max - максимальное количество типоразмеров составных частей одного из изделий группы; Z - общее количество неповторяющихся типоразмеров составных частей изделий, из которых состоит группа; H - общее количество изделий в группе.
9) Патентно-правовые показатели
Данные показатели характеризуют патентную защиту и патентную чистоту продукции. К ним относятся показатели патентной защиты Пп.з. и патентной чистоты Пп.ч.
а) Показатель патентной защиты характеризует число и весомость новых отечественных изобретений, реализованных в данном изделии, в том числе и созданных при его разработке.
Определяется отношением взвешенного количества составных частей изделия, защищенных авторскими свидетельствами и патентами за рубежом, к общему количеству составных частей в изделии.
Показатель патентной защиты вычисляется по формуле:
(2.21)
где П'п.з - показатель патентной защиты авторскими свидетельствами; П"п.з - показатель патентной защиты патентами за рубежом;
(2.22)
где K i - коэффициент весомости составных частей (по группам значимости); N'i - число составных частей, защищенных авторским свидетельством (по группам значимости); N - общее число составных частей в изделии; S - число групп значимости;
(2.23)
где m - коэффициент весомости, зависящий от числа стран, в которых получены патенты, и от важности этих стран для экспорта изделия; N"i - число составных частей, защищенных патентами (по группам значимости).
Коэффициенты весомости K i и m определяются экспертным методом.
б) Показатель патентной чистоты количественно характеризует возможность беспрепятственной реализации изделия в России и за рубежом.
Изделие обладает патентной чистотой в отношении данной страны, если оно не содержит технических решений, подпадающих под действие патентов, свидетельств исключительного права на изобретения, полезные модели, промышленные образцы и товарные знаки, зарегистрированные в этой стране.
Показатель патентной чистоты определяется отношением взвешенного количества составных частей изделия, не подпадающих под действие патентов в данной стране, к общему количеству составных частей в изделии:
(2.24)
где N i - число составных частей изделия, подпадающих под действие патентов в данной стране (по группам значимости); K i - коэффициент весомости составных частей, подпадающих под действие патентов в данной стране (по группам значимости); N - общее число составных частей в изделии; S - число групп значимости.
Показатель патентной чистоты для изделий, обладающих патентной чистотой в отношении данной страны, равен единице.
Экологические показатели характеризуют уровень вредных воздействий на окружающую среду, возникающих при эксплуатации или потреблении продукции. К ним относятся, например, показатели: содержание вредных примесей, выбрасываемых в окружающую среду; вероятность выбросов вредных частиц, газов, излучений и т.п.
Номенклатура экологических показателей устанавливается с учетом международных стандартов, регламентов и требований ГОСТов в области охраны природы и использования природных ресурсов.
Продукция, производство и применение которой вызывает нарушение норм вредных воздействий на окружающую среду, подлежит модернизации или замене.
Показатели безопасности характеризуют свойства изделия, гарантирующие безопасность человека и других объектов на всех режимах его эксплуатации, при обслуживании, транспортировании и хранении. Номенклатуру показателей безопасности устанавливают в соответствии с требованиями стандартов ССБТ (Система государственных стандартов по безопасности труда).
Основными показателями безопасной работы человека, безопасности эксплуатации технических средств служат:
- вероятность безопасной работы человека в течение определенного времени;
- быстродействие при срабатывании защитных устройств;
- сопротивление изоляции токоведущих частей, с которыми возможно соприкосновение человека;
- электрическая прочность высоковольтных цепей;
- эффективность блокировки и аварийной сигнализации и др.
12) Показатели стойкости к внешним воздействиям
Эти показатели характеризуют стойкость изделия к воздействиям факторов окружающей среды, выражаемую следующими свойствами: пылезащищенность; влагозащищенность; водонепроницаемость; ударопрочность; вибропрочность; устойчивость к воздействию внешнего магнитного поля и др.
Экономические показатели характеризуют затраты на разработку,
изготовление, эксплуатацию или потребление продукции, а также экономическую эффективность ее производства и применения.
За последние годы в связи с развитием науки и техники и расширением общественных потребностей область применения понятия "качество продукции" расширяется, вводятся показатели и разрабатываются методики оценки качества не только материальной продукции, но и различных интеллектуальных разработок, проектов и т.д. Например, качество программного обеспечения ЭВМ с точки зрения возможности его модернизации может оцениваться следующими показателями:
- объемом работ, требуемым для модернизации программы (гибкость);
- объемом работ по проверке выполнения заданных функций (возможность проверки);
- объемом работ по обнаружению ошибок в работающих программах (возможность восстановления).
Все большее значение приобретает проблема качества обслуживания (пассажиров на транспорте, покупателей в магазинах, клиентов в банках и т.д.). Выделяют следующие группы показателей качества обслуживания: быстрота обслуживания; психологические показатели (вежливость, доброжелательность и т.д.); показатели качества продукции, приобретаемой потребителем (как очевидные для потребителя, так и "внутренние" для обслуживающей организации); показатели качества, связанные с реализацией продукции (правдивость рекламы, отсутствие ошибок при доставке товаров покупателю и др.).
По мере совершенствования той или иной сферы деятельности меняются и требования к ней, а следовательно, и показатели качества. Например, на железнодорожном транспорте основные требования пассажиров сводятся не только к обеспечению безопасности, быстроты, точному выполнению графика движения, но и к уровню сервиса.