Научные подходы в теории организаций и проблема коммуникаций
Роль коммуникации в управлении организацией. Формирование коммуникационных сетей и создание условий для успешного функционирования коммуникаций в организации составляют одну из важнейших задач управления. Не случайно немецкие ученые В. Зигерт и Л. Ланг отмечают: «Хлеб людей организации — информация и коммуникации. Если нарушаются информационные потоки внутри предприятия и связи с внешним миром, само существование этого предприятия под угрозой. Одной информации недостаточно. Только когда она соответствующим образом преобразуется и обрабатывается, т.е. когда возникают коммуникативные связи, обеспечиваются существование и эффективная деятельность организации».
Согласно ряду опросов, проведенных американскими исследователями организаций, около 250 тыс. рядовых работников 2000 различных компаний, а также 73% руководителей американских, 63% английских и 85% японских компаний считают, что недостаточная разработанность коммуникаций является главным препятствием на пути достижения эффективности деятельности их организаций.
Действительно, обмен информацией включен как важнейшее звено во все основные виды деятельности организации, следовательно, если коммуникационные связи (как внутренние, так и внешние) не существуют или не действуют, это отрицательно сказывается на функционировании всей организации.
Это объясняется рядом причин:
- руководителям подразделений организации приходится тратить много времени на поиск нужной информации и ее обработку;
- происходит дублирование информации, поскольку одна и та же информация поступает в подразделения организации и к ее руководству из разных источников;
- в одних подразделениях и у одних руководителей ощущается недостаток информации, тогда как в других подразделениях может произойти информационная перегрузка;
- работники организации мало осведомлены о ее деятельности, планах, ориентации и положении во внешней среде, что отрицательно сказывается на процессах интеграции, точном выполнении распоряжений руководства и т.д.
В связи с этим одной из главных целей управления в организации является создание системы коммуникации, ее запуск и контроль за нормальным функционированием.
Сам термин «коммуникация» (от лат. — communicatio — делать общим, сообщать, беседовать, связывать) появился в научной литературе в начале XX в. (хотя, вероятно, первая модель коммуникации была предложена Аристотелем, выделившим такие компоненты процесса коммуникации, как оратор, речь и аудитория).
Термин «коммуникация» быстро стал общепринятым, однако его распространение вовсе не означало, что коммуникации превратились в одну из важных составляющих социальных исследований. Только развитие различных концепций организаций придало актуальность проблемам, связанным с построением и функционированием коммуникационных сетей.
Школа научного управления. Фактически первыми исследовали коммуникационные процессы в организации представители школы научного управления. В частности, Ф. Тейлор разработал жесткую организационную структуру (позднее ее усовершенствовал А. Файоль), предполагающую четкую взаимосвязь между должностями и ролями. В этой структуре имеют место только вертикальные властные связи (от руководителей к подчиненным), т.е. такая организация базируется на формальных, предельно жестких, вертикальных, иерархических коммуникационных связях.
Информация, передаваемая по вертикали, делится на два типа: задание и необходимые пояснения к нему (то, что Ф. Тейлор называл «урок»), а также контроль за исполнением задания. При этом Тейлор полагал, что «дневной урок» — некоторое задание, содержащее сведения о том, что, когда и как надо делать, задается администрацией организации и доводится до подчиненных каждым руководителем (в том, что касается его части полномочий). По словам Тейлора, «каждый работник, хороший и посредственный, должен ежедневно получать вполне определенный урок; ни в каком случае не должен быть неточным или неопределенным, урок должен быть тщательно и ясно описан и не должен быть легким». При этом обратная связь при контроле сводится лишь к докладу о выполнении задания.
Очевидно, что в теории научного управления коммуникационные проблемы заключались в том, как избежать отхода от ее основных принципов; например, как избежать неясного изложения информации в предписании или необоснованного увеличения численности подчиненных, что может снизить возможности руководства в плане эффективного общения и контроля за выполнением задания. Процессы коммуникации в рамках школы научного управления схематично представлены в виде схемы на рис. 47. В целом можно сделать вывод о том, что данная научная школа не придавала большого значения коммуникациям в организации.
Школа человеческих отношений. Согласно основной концепции данной научной школы, человек представляет собой уникальное социальное животное, поэтому с его деятельностью несовместимы формализация организационных процессов, жесткая иерархия подчиненности и отсутствие горизонтальных связей в организации. Наоборот, горизонтальные организационные связи неформального характера между членами организации имеют большое значение. Эти связи должны способствовать функционированию формальной организации и обеспечивать сплоченность коллектива и защиту целостности личности.

Рис. 47. Процессы коммуникации в организации в теории научного управления:
ПР — предписание; Р — работники; 1-3 — меры управленческого воздействия на работника; 1 — стимулирование (материальное); 2 — дисциплинарные меры; 3 — нормы (правила) деятельности; цель — повышение производительности и эффективности
Наличие в организации одновременно вертикальных (властных) и горизонтальных (в основном неформальных) потоков информации должно способствовать: удовлетворению потребностей работников (прежде всего в общении и взаимном обмене текущей информацией); обеспечению вовлеченности работников в процесс принятия управленческих решений.
Однако представители школы человеческих отношений уделяли внимание в основном неформальным коммуникациям между работниками организации с равным статусом, забывая о их взаимодействиях с администрацией, а также (что представляется самым главным) о потоках деловой информации, необходимой для выполнения работниками своих ролевых обязанностей.
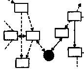
Вклад представителей школы человеческих отношений в изучение организационных коммуникаций чрезвычайно велик, так как им удалось в значительной степени расширить область коммуникационных связей в организации. На рис. 48 представлена схема коммуникационных потоков в организации, как ее представляли сторонники концепции человеческих отношений.
Системный подход к коммуникациям в организациях. Во всех системных теориях утверждается, что связи между различными системными единицами организации являются главным моментом в понимании сущности ее функционирования. Для эффективного действия этих связей важнейшее значение имеют создание, получение и переработка информации. Можно сказать, что все организационные системы по своей сути коммуникационные. Рассматривая организацию как открытую систему, системные теории акцентируют внимание на ее взаимообмене с внешней средой, изучении потоков информации, поступающих от других организаций и от социальных институтов (властных, политических, общественных и т.д.).

Рис. 48. Схема коммуникационных потоков в организации в теории человеческих отношений:
Р — работники; 1 — мотивы, 2 — установки, 3 — потребности, 4 — ценностные ориентации

Рис. 49. Процесс коммуникации в организации, рассматриваемой как открытая система:
Р — работники; 1 — вертикальные и 2 — горизонтальные коммуникации
При этом организационным коммуникациям придаются различный смысл и оттенки. Так, выделяются командные (управленческие) и информирующие (оповещающие) коммуникации, внутренние и внешние коммуникации и т.д. В рамках системных теорий анализируются информационные потоки, оценивается качество информации, передаваемой как по формальным, так и по неформальным каналам, а также качество принимаемых решений в зависимости от действия коммуникационной системы.
Реализация положений системных теорий способствовала повышению степени выживаемости организации за счет налаживания связей с другими организациями и институтами, возможностей распространять властное влияние и осуществлять обмен ценной информацией. При укреплении и успешном функционировании внешних связей становятся более устойчивыми и эффективными и внутренние коммуникации.
Сравнение основных положений трех научных школ, сыгравших наибольшую роль в развитии теории коммуникаций в организациях, дана в табл. 3 и позволяет сделать следующий вывод. С развитием представлений о методах создания наиболее эффективных организационных структур, где поставленные цели достигаются с наименьшими затратами, менялись и понятия о коммуникациях и необходимости их исследования — от почти полного игнорирования коммуникационных проблем к пониманию значимости их совершенствования для любой сложной организации и пониманию того, что надежные коммуникации — залог успеха всей организации.
Таблица 3.
Сравнение роли коммуникаций в организациях в различных научных концепциях
| Параметр сравнения | Школа научного управления | Школа человеческих отношений | Школа социальных систем |
| Значимость коммуникаций | Невелика; основное внимание — вертикальным потокам сообщений от руководителя к подчиненным | Основное внимание — взаимодействию работников на одном организационном уровне | Коммуникации — связующий элемент всех частей организации |
| Цели коммуникации | Контроль за выполнением приказов Передача приказов | Удовлетворение потребностей работников Вовлечение работников в процесс принятия решений | Контроль и координация действий Адаптация к изменениям внешней среды Помощь в принятии решений |
| Направление коммуникационных потоков | Вертикальные сверху — вниз | Горизонтальные Вертикальные сверху — вниз | Горизонтальные Вертикальные сверху — вниз и снизу — вверх Связь с внешней средой |
| Виды каналов коммуникации | Письменные формальные | Формальные и неформальные | Формальные Неформальные С внешней средой |
Принципиальные модели процесса коммуникации и их применение
Простая коммуникационная модель с обратной связью. Чтобы понять основные принципы осуществления процесса коммуникации в организациях, нужно уяснить принципиальные моменты этого процесса, т.е. необходимо по крайней мере знать, кто сообщает информацию; по какому каналу ее можно получить; какова надежность этого канала и есть ли возможность успешно обработать и понять эту информацию. Только зная эти моменты, руководитель может использовать информацию для влияния на поведение подчиненных.
Согласно наиболее простой модели коммуникации, предложенной Г. Лассуэллом, акт коммуникации может рассматриваться только с точки зрения ответа на вопросы: кто сообщает, что сообщает, по какому каналу проходит сообщение, кому и с каким эффектом. Эта модель характерна для рациональной школы изучения организации. Здесь не придается значения содержанию сообщения, особенностям канала передачи, возможностям понимания сообщения и возможным искажениям информации в процессе коммуникации.
Недостатки подобного упрощенного взгляда на процесс коммуникации в известной степени исправлены американскими исследователями коммуникаций К. Шенноном и У. Уиверо м. В своих работах по теории информации они представили основные компоненты процесса коммуникации в виде схемы на рис. 50.

Рис. 50. Основные компоненты процесса коммуникации
(по К. Шеннону и У Уиверу)
Данная схема — безусловно, шаг вперед по сравнению с предложенной Лассуэллом, однако она пригодна только для жестко формализованных структур, где информация предельно проста, понятна и протекает только в одном направлении. Для изучения организации важно представить универсальную схему коммуникации, применимую во всех ситуациях управления. Такую коммуникационную модель предложил немецкий ученый В. Трам. В его модели коммуникация выступает как контакт между отправителем и получателем, устанавливаемый с помощью сообщения, которое направляется по определенному каналу, кодируется и декодируется получателем; кроме того, имеется канал обратной связи и выделен результат (эффект) коммуникационного процесса. На рис. 51 показан этот процесс в виде схемы.

Рис. 51. Схема коммуникационного процесса с обратной связью
Представим себе содержание каждого из компонентов коммуникационного процесса.
1. Отправитель — создатель сообщения, тот, кто выдвигает какие-либо идеи (самостоятельно создает информацию) или аккумулирует уже имеющуюся информацию для дальнейшей передачи. Решая, какая значимая информация (идея) может стать предметом передачи, как ее закодировать, по какому каналу направить информацию, отправитель тем самым начинает процесс коммуникационного обмена. При этом очень важна ориентация отправителя на ситуацию, т.е. учет всех основных компонентов процесса коммуникации. В противном случае информация может либо не дойти до получателя, либо дойти до получателя в искаженном виде, либо не приниматься получателем.
2. Сообщение — подготовленная к передаче получателю информация, закодированная с помощью символов — слов, специальных знаковых символов, тона сообщения, рисунков, жестов, подтекста и т.д. В процессе кодирования (преобразования смысла идеи в символы) могут возникать проблемы, действие которых снижает эффективность процесса коммуникации. Например, отправитель составляет сообщение из символов, которые получатель не понимает, не встречал в своем прошлом опыте или неоднозначно трактует в контексте данного сообщения (т.е. отправитель не настроен на язык, культуру получателя и это ведет к искажениям в понимании).
3. Канал передачи информации — средство передачи информации, путь физической передачи сообщения. От качества канала передачи информации в коммуникационном процессе зависят понимание и принятие получаемой информации. Многое зависит от того, сможет ли руководитель настроиться на индивидуальную систему восприятия информации индивидом. При этом различают следующие каналы передачи информации: речевой канал; передачу письменных материалов; электронные средства связи (компьютерные сети, видеоконференции, электронная почта, видеоленты и т.п.).
Кроме того, каналы в организации могут подразделяться на формальные, передающиеся по официальным каналам организации; неформальные — на основе горизонтальных связей (передача из подразделения в подразделение, слухи и т.д.).
При выборе канала надо учитывать его совместимость с типами символов, используемых для кодирования информации, что поможет избежать деформации сведений, а также суть самого сообщения. Например, если надо проинформировать сотрудников о каком-либо нововведении в рамках всей организации, целесообразнее это сделать на общем собрании и использовать речевой канал, чем излагать суть дела каждому работнику по телефону.
В практической деятельности руководитель организации применяет, как правило, не один, а два или несколько каналов передачи информации для подчиненных (официальное сообщение и сообщение с помощью слухов), что в отдельных случаях позволяет повысить эффективность процесса коммуникации. Однако при этом также могут появиться проблемы. Например, процесс передачи информации нередко осложняется, возникает двойное толкование одного сообщения, а при сочетании речевых указаний с письменными уведомлениями поток информации может стать просто неуправляемым.
4. Получатель — лицо (группа, организация), которому передана информация и которое интерпретирует (декодирует) ее. Интерпретация сообщения получателем не всегда бывает успешной. Неправильная интерпретация часто обусловлена несхожестью языка, восприятия культуры, различия в интересах отправителя и получателя. Многочисленные эксперименты подтверждают, что коммуникация в гомофильных парах (здесь гомофилия — сходство получателя и отправителя по определенным признакам: языку, образованию, социальному статусу и т.д.) обычно более эффективна, чем в гетерофильных (когда отправитель и получатель различны по указанным признакам), которые много времени затрачивают на понимание и обработку сообщения, а также на подготовку ответа. Однако гетерофильная коммуникация обладает большей информативной ценностью для получателя.
5. Результат (эффект) коммуникационного воздействия — изменения в поведении и состоянии получателя информации, которые выражаются в изменении знания получателя; изменении установок (относительно объекта действия, оговоренного в сообщении); изменении в видимых действиях получателя (покупка товаров, отношение к трудовой деятельности, своевременный приход на работу и т.д.).
6. Обратная связь — «оперативная реакция на то, что услышано, прочитано или увидено; это информация (в вербальном и невербальном оформлении), которая отсылается назад к отправителю, свидетельствуя о мере понимания, доверия к сообщению, усвоении и согласии с ним». Обратная связь позволяет отправителю не только узнать результат акта коммуникации, но и скорректировать следующее сообщение для достижения большего эффекта.
Если результат передачи сообщения достигнут (оно понято в подразделении организации и стало руководством к действию), говорят, что действует положительная обратная связь; в противном случае действует отрицательная обратная связь. Следует сказать, что налаживание обратной связи в организации — достаточно сложная задача. Особенно это касается вертикальных, властных коммуникаций при контроле через принуждение, когда получатель информации испытывает страх перед возможными санкциями и специально искажает сообщение, поступающее через каналы обратной связи.
7. Шум — то, что искажает смысл сообщения, элемент процесса, присутствующий практически на каждом этапе передачи информации. Источниками шумов, затрудняющих точное понимание смысла сообщения, являются различия в восприятии информации, влияющие на ясность смысла при кодировании и декодировании, несхожесть в должностном статусе (различное видение целей и задач организации и ее подразделений), особенности культуры и языка. В связи с этим одной из важных задач руководства организации и руководителей подразделений по формированию четкой системы управления, основанной на вертикальной коммуникации, является ликвидация шумов на всех этапах следования сообщения.
Таким образом, в рамках такого подхода процесс коммуникации можно рассматривать как ряд этапов, последовательно осуществляемых участниками этого процесса. На табл. 4 представлены основные этапы процесса коммуникации.
Таблица 4.
Этапы обмена информацией в организации
| Этап | Причины трудностей |
| Зарождение идеи | Непродуманность идеи Неадекватность информации конкретной ситуации |
| Кодирование и выбор канала | Отправитель не настроен на язык и культуру получателя Неоднозначность символов в сообщении Несовместимость канала и типа символов |
| Передача и декодирование | Различия в статусе, взглядах, образовании, наличие языковых барьеров и т.д. отправителя и получателя |
В процессе передачи, принятия и использования информации большое значение имеет форма включенности индивида в процесс коммуникации и общения, которая выражается в выполнении индивидом определенных функций общения.
С этой точки зрения коммуникации представляют собой процесс обмена информацией между двумя (или более) социальными субъектами с целью обеспечения наиболее успешного приема и понимания информации, являющегося предметом обмена.
С помощью такого подхода к процессу коммуникации можно решать следующие научно-практические задачи в организации:
- изучать и совершенствовать информационные потоки в организации, поскольку при возникновении каких-либо нарушений в ходе обмена сообщениями (задержки, перегрузка канала и т.д.) можно проанализировать каждый определенный элемент или этап, выяснить, где именно произошел «разрыв», и попытаться устранить его;
- изучать процесс принятия управленческих решений, подбирать и создавать условия для наиболее эффективного управленческого воздействия, а также выявлять причины, мешающие принятию эффективных управленческих решений.
Наряду с положительными чертами, присущими рассмотренной модели, у нее есть ряд недостатков:
- рассматриваются только парные, а не сетевые коммуникационные связи;
- изучаются только линейные коммуникации — от источника к получателю, а не наоборот, т.е. только предельно простые коммуникационные связи.
Опыт изучения процессов коммуникации в организации показывает, что в действительности коммуникации — это сложные, переплетающиеся сети, а не простое общение отправителя и получателя.
Модель сетевого анализа коммуникационных сетей. В середине 1970-х гг. в теории коммуникации стал применяться новый подход, позволяющий анализировать отношения между элементами в коммуникативных структурах, которые рассматривались как составляющие коммуникационных сетей. При этом каждый элемент сети служит одновременно и передатчиком, и приемником сообщений, испытывает на себе воздействие всех других элементов сети. В соответствии с этим подходом сеть может пониматься как сеть полной системы (охватывающая всех индивидов в организации); сети групп (подсистем) — от 5 до 25 человек или более; личностные коммуникационные сети (между отдельными членами организации).
Зарождение этого научного подхода, получившего название сетевого анализа коммуникаций, связывают с исследованиями социально-психологических отношений в малых группах, проводившихся А. Бавеласом (1950), Г. Ливиттом (1951), М. Шоу (1954), а также с социометрическими исследованиями реальных сетей в организациях. В ходе исследований были выявлены два типа коммуникационных сетей — радиальные и взаимосвязанные (табл. 5), присущие любой организации.
Радиальные сети характеризуются прежде всего взаимодействием различных подразделений или малых групп, осуществляемым через отдельных своих членов. Такие сети характеризуются непостоянными, однако весьма полезными для группы и организации в целом связями. Например, член малой группы осуществляет обмен информацией с другими малыми группами. Если данный индивид делится конфиденциальной информацией, возможны напряженность и конфликты; но в то же время это путь для проникновения деловой информации, необходимой для нормального функционирования подразделения. Организация будет успешной только в том случае, если все подразделения объединены функциональными связями. Поэтому создание радиальных сетей в организации является одной из важных задач ее руководства.
Взаимосвязанные сети характеризуются устойчивыми связями внутри малой группы. С точки зрения получения и обработки деловой информации группа с взаимосвязанной сетью считается самодостаточной. Благодаря многочисленным контактам между членами малой группы, постоянному обмену информацией и возможности ее быстрой проверки, члены группы пренебрегают внешними связями с другими группами и подразделениями и с недоверием относятся к получаемой извне информации, границы членства в группе становятся более жесткими. Такое состояние группы в конечном итоге отрицательно сказывается на процессах интеграции в организации, не способствует распространению и принятию норм корпоративной культуры. Разобщенность и недоверие — характеристики организации, в которой присутствуют в основном взаимосвязанные коммуникационные сети.
Таблица 5.
Типы личностных коммуникационных сетей
| Тип | Содержание | Преимущества | Недостатки | Схема |
| Радиальные | Сети, в которых индивиды взаимодействуют с другими, не контактирующими друг с другом лицами | Увеличение степени открытости Большая информационная сила | Неустойчивость | ![]() |
| Взаимосвязанные | Сети, в которых те, кто связан с данным индивидом, также взаимодействуют друг с другом | Устойчивость Постоянный, эффективный обмен информацией между членами сети | Закрытость Могут создавать барьеры для свободного перетекания информации в организации | ![]() |
Коммуникационные сети в малых группах могут иметь различные конфигурации, что оказывает значительное влияние на процессы коммуникации и поведение членов организации. Рассмотрим некоторые конфигурации сетей в малых группах. На рис. 52 представлены наиболее распространенные конфигурации коммуникационных сетей.
Каждая из коммуникационных сетей в малых группах приспособлена для решения определенных управленческих и производственных задач. Следует обратить внимание на положение лидера Л в группе. Функции лидера заключаются в обработке, коррекции информации и передаче ее другим членам малой группы «для исполнения».
а) «Круг» — децентрализованная сеть в малой группе, что выражается в положении лидера, подобного всем членам группы. При такой форме сети информация циркулирует по кругу, постоянно обновляясь, и каждый член группы способен повлиять на общий ход коммуникационного процесса, а роль лидера заключается в регулировании циркулирующих потоков информации и соблюдении направления ее движения строго по кругу, исключении хаотичности.
Сети такого типа наиболее эффективны при выполнении групповых задач, требующих творческого подхода, способствуют тому, что членов группы удовлетворяет их деятельность, поскольку соблюдаются формальное равенство в отношении принятия решений и демократизм в отношениях между членами группы и лидером. Многочисленные исследования, проведенные в малых группах, показали, что в коммуникационной сети типа «круг» (например, «круглый стол») резко снижается возможность возникновения деструктивных конфликтов.




Рис. 52. Конфигурации коммуникационных сетей в малых группах:
а — «круг»; б — «штурвал»; в — «цепь»; г — «игрек»;
д — «тент»; е — «палатка»; ж — «дом»; з — «паутина»
6) «Штурвал» — сильно централизованная сеть, т.е. информационный лидер группы находится в центре, к нему сходятся все коммуникационные потоки. Данная сеть не предусматривает общения членов группы между собой. Эта сеть идеально подходит для выполнения группой достаточно простых задач с высокой скоростью, когда каждый член группы получает четкое задание и предоставляет информацию о его выполнении только лидеру, не получая никакой дополнительной информации со стороны.
Как правило, при такой конфигурации возникает большое количество ошибок вследствие слабости обратных связей и невозможности взаимных коррекций ошибок между членами группы. При усложнении заданий или увеличении численности членов группы, постоянно связанных с лидером, у последнего наступает информационная перегрузка, что приводит к еще большему количеству ошибок и некачественному выполнению заданий. Коммуникационная сеть «штурвал» эффективна при жесткой централизации власти в руках руководителя или лидера и слабой включенности рядовых членов группы в процесс принятия управленческих решений.
в) «Цепь» — сеть со слабой централизацией. Такая сеть используется в условиях многозвенных технологий (при большом количестве последовательно выполняемых операций). Здесь лидер фиксирует лишь конечный результат и дает указание на выполнение следующего технологического цикла. Поскольку «цепь» содержит большое количество звеньев, происходит сильное искажение информации (обратная связь осуществляется последовательно через все звенья цепи к лидеру), когда, например, исполнитель (последнее звено цепи) вносит какое-либо предложение и оно проходит «по инстанциям» к высшему руководству, причем каждый следующий член сети может внести коррективы в это предложение. Такая сеть, в которой лидер фактически не может осуществлять эффективный контроль на всех участках, применима только в случае, когда члены группы сами заинтересованы в выполнении порученных заданий и контролируют действия своих ближайших «соседей».
Например, сети типа «цепь» используются в японской системе организации производства «точно вовремя». Здесь каждый исполнитель получает строго определенное количество деталей мелкими партиями; так, если сборщик должен собрать двадцать узлов, то он получает строго двадцать болтов. Если в этой партии попадется один некачественный болт, то сборщик не сможет собрать один узел. Поскольку санкции осуществляются по конечному результату, то за некачественный болт ответственность должен нести сборщик. Поэтому он стремится сам контролировать деятельность рабочего, изготавливающего болты. Очевидно, что такой контроль возможен только при общей заинтересованности в результатах работы.
г) «Игрек», или «цепь со сторожем» — сеть, имеющая разветвления. Здесь «сторож», перерабатывающий информацию для лидеров, ставится на разветвлении сети. Присутствие «сторожа» исключительно важно для лидера, так как позволяет ему получать обобщенную информацию сразу из двух цепей без информационной перегрузки. Конфигурация «игрек» характерна, в частности, для линейных иерархических структур; в этом случае к руководителю поступает обобщенная информация о деятельности нескольких отделов от заместителя, помощника или диспетчера.
При многих достоинствах разветвленных коммуникационных сетей они имеют ряд недостатков: наличие искажений в сетях и, самое главное, концентрация больших ресурсов информационной власти у «сторожей», которые могут обобщать, перерабатывать и передавать информацию в нужном для них виде, что снижает значимость и возможности управления у руководителя или лидера. Например, руководитель поручает своему секретарю, выполняющему роль «сторожа», контролировать потоки информации, которые стекаются к нему от многих подразделений. Секретарь, располагая слабой степенью контроля, может дозировать и распределять информацию, так как имеет дополнительные властные ресурсы.
Цепи типа «игрек» или «шпора» наиболее характерны для функциональных структур организации.
д) «Тент» — конфигурация сети, которая часто используется в продуктовых или многопрофильных структурах управления. Здесь предусматривается прохождение информации по отдельным ветвям структуры с разделением по отдельным регионам или продуктам.
е) «Палатка» — сеть, в которой наряду с вертикальными официально допускаются горизонтальные каналы коммуникации, но не все, а только между верхними эшелонами управленческой структуры; горизонтальные связи не предусмотрены на средних и низших уровнях управления. Таким образом, «палатка» не предусматривает участие низших слоев организации в управлении процессами в организации, но она позволяет образовывать коалиции между представителями высшего уровня руководства.
ж) «Дом» — сеть, в которой существует постоянный обмен информацией между руководителями всех структурных уровней управления. Здесь информация может исходить от высшего органа управления и контролируется им по каналу обратной связи. Однако обратная связь, в которой задействованы представители разных подразделений одного уровня управления, может оказывать отрицательное воздействие на качество управленческих решений, так как в большинстве случаев
представители разных структурных подразделений имеют разные интересы в организации и могут находиться даже в состоянии конфликта по причине распределения и перераспределения ресурсов между данными подразделениями.
з) «Паутина» — сеть, характеризуемая большим количеством беспорядочных коммуникационных связей, хаотичным контролем и сложностями при передаче строго дозированной и надежной информации. Представление о «паутине» дает группа, в которой каждый говорит с каждым и со всеми, улавливая в этом огромном потоке информации только ту, которая необходима ему в настоящий момент, а контролирующая и управляющая роль лидера сведена к минимуму. Такая сеть однозначно признается исследователями неэффективной для организации, но это не значит, что она будет неэффективной в условиях неформальной коалиции или в дружеской компании.
Коммуникационные роли в организации. Позиции членов группы в коммуникационных сетях неоднозначны. Одни из них в основном только воспринимают информацию, другие накапливают ее, третьи создают или перерабатывают, т.е. можно говорить о наличии коммуникационных ролей у членов группы или подразделения организации. Анализ этих ролей позволяет понять, почему между какими-либо подразделениями нарушена связь, где каналы коммуникации перегружены и т.п., и своевременно ввести те или иные должности (роли), чтобы устранить дефекты системы коммуникации. Примером мероприятий по совершенствованию коммуникационных сетей может быть введение связных для обеспечения устойчивой связи между различными подразделениями, службами или социальными группами, а также перемещение «сторожа» в узлах пересечения крупных коммуникационных потоков.
В табл. 6 представлены характеристики основных коммуникационных ролей в организации. Ясно, что центральная роль в организации, безусловно, исполняется лидером мнения.
Предназначение коммуникационных сетей в системах принятия решений. Сетевой анализ предусматривает изучение не только конфигурации сетей и коммуникационных ролей, но и содержания коммуникационных сообщений и степени их воздействия на различные структурные единицы организации.
По своему предназначению в деятельности организации коммуникационные сети делятся на следующие:
1. Сеть власти служит для передачи директив, команд, распоряжений, приказов и отчетности об их исполнении. Обычно имеет вертикальную направленность — в основном от верхних структурных составляющих к нижним, чаще всего официально оформлена, носит формальный характер.
2. Сеть обмена информацией служит для передачи сообщений о состоянии дел в организации, достижениях отдельных подразделений, научных или технических новостях, перемещениях внутри организации и за ее пределами. Каналы сети обмена информацией чаще всего не совпадают с властными вертикальными каналами информации.
3. Сеть задача — экспертиза представляет собой один из видов сетей обмена информации, которые обеспечивают передачу специализированных знаний, опыта и навыков, необходимых для достижения целей подразделений организации и в конечном итоге достижения общих целей заданий и целей системы.
Таблица 6.
Коммуникационные роли в организации
| Роль | Определение | Функции | Схема |
| Сторож | Индивид, занимающий такое место в структуре, которое позволяет ему регулировать потоки сообщений, идущие по данному каналу | Предотвращение информационных перегрузок Проведение «нужной» руководству политики | ![]() |
| Связной | Лицо, связывающее на межличностной основе две или более группы в системе, не принадлежа ни одной из них | Координация действий Передача информации между членами организации | ![]() |
| Лидер мнения | Лицо, способное оказывать достаточно заметное влияние на установки или поведение других членов группы | Влияние на принятие решений Обеспечение контактов с отдельными частями внешней среды | ![]() |
| Космополит | Лицо, имеющее более сильные и разнообразные связи вне организации, чем остальные ее члены | Налаживание связей с внешней средой и получение нужной информации | ![]() |
В целом можно сказать, что в сетевой модели коммуникационного процесса в организации коммуникация рассматривается как «совокупность большого числа сетей, частично совпадающих и взаимосвязанных так, что они образуют глобальную организационную сеть, состоящую из меньших, относительно автономных сетей». При этом главная задача, решаемая с помощью сетевого подхода, состоит в выявлении полных коммуникационных сетей (формальных и неформальных), исследовании их положения и условий существования в организации, а также возможных совмещений и дублирования при передачи информации.
Такой подход позволяет ответить на следующие вопросы:
- правильно ли организация разбита на структурные составляющие (подразделения и службы);
- какие механизмы эффективны для координации действий работников;
- достаточно ли в организации должностей (функциональных ролей) для осуществления регулирования, фильтрации и связывания информационных потоков, передачи идей и технологий.
Сетевой анализ позволяет понять также динамику коммуникационных процессов и особенности поведения членов организации, так как нередко сети в организации возникают спонтанно (в результате появления новых целей и в ходе повседневного общения членов организации) и постоянно меняются.
Вместе с тем использование сетевого подхода сопровождается рядом трудностей, обусловленных прежде всего тем, что при анализе взаимосвязей между подразделениями и индивидами в организации возникает сложная картина, напоминающая густую паутину, вследствие чего осложняется поиск оптимальных путей передачи информации. Единственный способ избежать этих затруднений — выделение значимых связей, которые оказывают наибольшее влияние на деятельность организации, однако при этом возникает опасность не заметить скрытые коммуникационные связи, которые могут изменить поведение работников и повлиять на деятельность социальных групп в организации.
Трансакционная модель коммуникаций. Данный подход основан на предположении о том, что каждый член организации, вступая в контакты с другими индивидами, обладает ограниченным «набором» состояний своего Я. Выбор определенного состояния придает взаимодействиям конкретный смысл и содержание.
При межличностной коммуникации каждый индивид может вести себя по-разному в соответствии с одним из трех основных состояний Я:
1) состояние Я, ориентированное на образы родителей (состояние «родитель»). Такое состояние характерно для руководителей, лидеров, экспертов при их взаимоотношениях с остальными членами социальной группы или подразделения в организации;
2) состояние Я, автономно направленное на объективную оценку реальности (состояние «взрослый»), прежде всего на оценку ситуации общения, признания за партнером знаний, опыта и способностей. В основном отличается стремлением к равному диалогу и равноценным социальным обменам;
3) состояние Я, действующее с момента его фиксации в раннем детстве, когда индивид занимает коммуникационную позицию «ребенок». Состояние характеризуется стремлением к игре, развлечению, а также восприятию указаний «взрослого».
В соответствии с трансакционной моделью обмен информацией между индивидами может осуществляться по трем каналам: родитель Р, взрослый В, ребенок Ре.
При этом процесс взаимного обмена информацией может быть:
а) параллельным (рис. 53), когда «стимул (посылаемая информация) влечет за собой уместную, естественную ожидаемую реакцию», а процесс коммуникации протекает гладко, без напряжения, на основе взаимопонимания;

Рис.53. Параллельные трансакции

Рис. 54. Пересекающиеся трансакции
б) пересекающимся (рис. 54), когда стороны обмениваются информацией, но имеют разные позиции, неадекватно воспринимают внутреннее состояние партнера, что обусловливает напряженность в отношениях и далее разрыв соглашений, отказ в общении и социально-психологические конфликты.
Трансакционный подход полезен при выявлении возможных преград вкоммуникационных процессах, выборе форм оптимального поведения при взаимодействиях в различных ситуациях, при профилактике социальных конфликтов и ситуаций напряженности, поиске возможностей для изменения поведения партнера в ходе обмена информацией. Применение трансактного анализа позволяет руководителю корректировать собственное поведение при контактах с подчиненными. Однако анализ трансакций касается только межличностных коммуникаций и не может служить основой для анализа коммуникационных сетей организации.
Типология коммуникаций в организации
Каналы коммуникации. Организация — многоуровневая структура с уровнями руководства и подчинения. Такая структура эффективно функционирует только при существовании хорошо налаженной связи между всеми уровнями. Так, если на верхнем уровне руководства появляется необходимость воздействовать на поведение подчиненных, то приказ, распоряжение, указание не только должны дойти до низшего уровня, но и распространиться по всем структурным единицам данного уровня. Поэтому целесообразно проводить анализ как вертикальных, так и горизонтальных организационных коммуникаций.
Вертикальные каналы коммуникации должны связывать все уровни управления организации в единое целое. Для этого информацию следует направлять прежде всего сверху вниз. Именно таким образом руководство доводит до подчиненных сведения о текущих задачах, рекомендуемых методах действий, применяемых санкциях и вознаграждениях, об изменении организационных норм и нормативов, а также организационной структуры и технологии. Через систему нисходящих связей руководство организации обеспечивает ориентацию целей подразделений организации относительно главных организационных целей; коррекцию поведения, установок и поведенческих стереотипов исполнителей на всех уровнях, координацию действий; поддержание и упрочение авторитета власти и контроля.
Восходящие потоки информации в направлении снизу вверх, т.е. в направлении подчиненные — руководитель, представляют собой каналы обратной связи процесса управления. При этом руководители высших уровней получают информацию о проблемах и текущих делах в каждом подразделении организации, что позволяет им постоянно корректировать и изменять меры воздействия на поведение подчиненных всех нижестоящих уровней. Подчиненные могут использовать восходящие потоки информации, чтобы довести до сведения высшего руководства информацию о частных проблемах подразделений и отдельных работников, а также о событиях, выходящих за рамки контроля со стороны формальной структуры организации.
К наиболее приоритетным задачам организационной деятельности, безусловно, относится развитие восходящих потоков информации, придание им такой же значимости для управления, как и у нисходящих потоков.
Это возможно при переводе отношений между руководителями более высоких уровней и подчиненными в режим диалога, при котором:
- подчиненные участвуют в решении ключевых проблем организации;
- подчиненных постоянно информируют обо всех успехах и проблемах организации;
- появляется возможность использования и реализации инициативы исполнителей, учета и практического применения новых идей, изобретений, коллективного опыта работников организации.
Горизонтальные каналы коммуникации в организации представляют собой пути и средства передачи информации отдельно на каждом иерархическом уровне организации. Горизонтальные коммуникации реализуются в виде обмена информацией на совещаниях высших руководителей, руководителей среднего уровня, низшего звена управления, на собраниях исполнителей, а также в неформальных коалициях, кружках коллег, в ходе трудовой деятельности и т.д.
Уже только перечисление возможных горизонтальных каналов показывает их необыкновенное разнообразие и свидетельствует о больших возможностях для управления деятельностью организации и наиболее полного обеспечения информацией членов организации всех уровней. Для функционирования горизонтальных каналов коммуникации особенно важно наличие неформальной структуры организации.
В целом горизонтальные каналы коммуникации в организации призваны решать следующие задачи:
- передачу информации не директивного, но совещательного характера;
- уточнение целей и задач подразделений исходя из конкретных ситуаций в каждом из подразделений;
- взаимодействие специалистов различного профиля из разных подразделений организации, что способствует комплексному решению поставленных высшим руководством задач;
- формирование неформальной структуры организации, решающей задачи, которые невозможно решать в официальных рамках.
Коммуникации организации с внешней средой в современных российских условиях направлены на рыночный и институциональный уровни. Основной целью такого рода коммуникаций является создание баланса между входом и выходом организации как системы и информационное обеспечение этого баланса.
Такие коммуникации должны быть ориентированы на различные адресные аудитории (рядовых потребителей, поставщиков, конкурентов, общественные организации или группы давления, государственные органы исполнительной и законодательной власти и т.д.).
Помимо решения текущих вопросов обеспечения баланса между организацией и внешней средой коммуникации такого рода решают следующие проблемы:
- создание «имиджа» организации на местном, государственном и международном уровнях;
- обеспечение связи с имеющимися и потенциальными потребителями (например, с помощью рекламы);
- воздействие на разработку законов, постановлений, касающихся деятельности данной организации (например, используя группы давления).
Еще одним основанием для типологии коммуникаций в организации может служить степень их формализации.
Формальные коммуникационные связи стандартизируют взаимоотношения между коммуникатором (передающим информацию) и реципиентом (принимающим информацию) в организации, строго регламентируемые организационными нормами, правилами, основными ценностями. Эти связи обладают высокой устойчивостью и надежностью и направлены на достижение организационных целей.
Неформальные коммуникационные связи возникают в том случае и там, где формальные связи не могут удовлетворять потребности членов социальных групп в организации. Данные связи обладают меньшей устойчивостью и направлены в основном на достижение целей малых социальных групп и отдельных личностей.
Так, неформальные связи используются для информационного обеспечения взаимодействия между подразделениями (горизонтальные деловые связи), для удовлетворения потребностей членов организации в общении, взаимодействия с лидерами, конформности по отношению к групповым нормам. Неформальные связи не носят иерархического характера, но могут быть как горизонтальными (в подавляющем большинстве), так и вертикальными (например, дружеское общение между лидером и рядовым членом группы).
Помимо перечисленных выделяют письменные и устные коммуникации в организации.
Функционирование коммуникаций в организациях
Проблемы структурных коммуникаций. Наличие четко действующих коммуникаций в организациях способствует решению многих важнейших организационных проблем, в частности координации деятельности отдельных структурных единиц в организации относительно общей цели, обеспечению устойчивых отношений с внешней средой, предоставлению подразделениям организации необходимой рабочей информации и целевых указаний и др.
Однако создание коммуникационных сетей, формирование устойчивых коммуникационных каналов сопряжены с рядом трудностей, вызванных как дефектами в каналах информации, так и дефектным кодированием или декодированием получаемых сообщений.
Проблемы, связанные с созданием эффективно действующих коммуникаций, можно разделить на две основные группы: проблемы структурных коммуникаций и проблемы, возникающие в ходе межличностного общения.
Основная проблема коммуникаций между элементами организационной структуры обусловлена неопределенностью во взаимоотношениях между отдельными структурными единицами организации. При этом распоряжения и директивы руководящего органа организации могут не соответствовать ситуации, не пониматься подчиненными, дублироваться, последующее сообщение может противоречить ранее посланным. Кроме того, в случае неопределенности ситуации горизонтальные связи между отдельными подразделениями или членами организации становятся ненадежными, информация к подразделениям поступает хаотично, что вызывает информационный голод или, наоборот, избыток противоречивой информации. В условиях неопределенности могут усиливаться следующие основные виды барьеров в коммуникационных процессах.
1. Искажение сообщений — явление, при котором в структурные единицы организации поступает информация, не адекватная реальной ситуации. Искажения в коммуникационных сетях приводят к значительному замедлению темпов работ в организации. Принятие решения и его реализация должны начинаться одновременно: понять, как следует выполнять работу, не менее важно, чем принять решение о том, что следует делать. Но искажение информации не позволяет приступать к немедленной реализации решения, поскольку оно основано на неверных предпосылках. В связи с этим приходится возвращаться к данной ситуации, повторять сообщения. Кроме того, искажения информации приводят к неправильной постановке целей, что немедленно сказывается на остальных компонентах организации.
Все искажения в организационных коммуникациях разделяются на три группы:
- непреднамеренные искажения, которые возникают в силу)недостатка информации, неясности ситуации или затруднений в межличностных контактах;
- сознательные искажения, которые представляют гораздо большую опасность при принятии решений в организации и постановке целей: в данном случае промежуточное звено в коммуникационной цепочке не согласно с содержанием сообщения (например, не согласно с распоряжением вышестоящего органа управления) и стремится изменить характер его воздействия;
- фильтрация информации в сообщении, когда отсекается ненужная в данный момент информация, остается только суть. Эта операция в коммуникационном процессе может привести к потере информации, вредным упрощениям, которые препятствуют принятию эффективных управленческих решений. Отрицательный эффект фильтрации наблюдается, когда высших руководителей пытаются снабжать только информацией положительного содержания, не доводя до их сведения наиболее острые проблемы; когда существует страх перед наказанием; ощущается бесполезность информации из-за ее неправильной оценки.
2. Информационные перегрузки возможны втех случаях, когда члены организации не в состоянии эффективно реагировать на всю необходимую им информацию и отсеивают определенную ее часть, по их мнению, наименее важную. Однако возможна ситуация, когда именно эта часть информации будет особенно необходима для обеспечения нормального функционирования организации или ее подразделения. Особенно часто информационная перегрузка наблюдается у руководителей, замыкающих на себе решение многих (даже самых мелких) вопросов, связанных с управлением деятельностью подразделений организации. Отсутствие четких фильтров и членов организации, выступающих в роли «сторожей», не позволяет руководителю эффективно использовать самую важную часть поступающей к нему информации.
3. Недостатки в структуре организации оказывают существенное негативное влияние на функционирование коммуникационных сетей. Самым распространенным из таких недостатков следует признать неудачную конфигурацию — существование большого количества уровней управления, когда информация при прохождении от уровня к уровню теряется или искажается. Это особенно характерно для восходящих коммуникационных потоков (снизу вверх, от подчиненных к руководителям).
Другим важным структурным недостатком является отсутствие устойчивых горизонтальных связей между отдельными подразделениями организации, например, когда руководство организации допускает только вертикальные связи, а коммуникации между подразделениями одного уровня считаются незначимыми и ненужными. Такой недостаток характерен для высокоцентрализованных и формализованных линейных структур.
Еще одним существенным недостатком следует признать наличие конфликтов между отдельными группами и подразделениями организации. Зачастую конфликты заложены в самой структуре организации. Подразделения или отдельные руководители, находящиеся в состоянии конфликта, могут не только способствовать разрыву коммуникационных связей внутри организации, но и использовать коммуникационные сети для достижения собственных целей в борьбе с другими подразделениями или руководителями. Например, если в организации производятся два вида продукта или услуг и не предусмотрено разделение ресурсов, эквивалентное вкладу каждого из двух подразделений, то между ними возникает конфликт, каждый из участников которого использует коммуникационные каналы организации для принижения роли другого и возвышения собственной.
4. Высокая степень пространственной дифференциации создает преграды для прохождения информации по определенным коммуникационным каналам в силу удаленности отдельных структурных единиц организации. В первую очередь это касается каналов контроля и обратной связи, а также каналов, по которым передается печатная информация (документы, научная или технологическая литература и т.д.). Действительно, с помощью радио или телефонной связи с удаленными объектами иногда бывает трудно передать большой объем информации или проследить за выполнением распоряжений; кроме того, проблематичны возможности подчиненных связаться с отдаленным центральным органом управления. Как следствие, может возникнуть взаимное недоверие между членами организации, снижается эффективность взаимодействия.
Решение проблем структурных коммуникаций. Для снижения отрицательного воздействия этих проблем организация может использовать следующие приемы:
1) постоянное регулирование информационных потоков путем создания банка информационных данных, внутреннего рынка информации, пунктов отслеживания и сортировки получаемой извне информации, отслеживания мест информационных перегрузок;
2) контроль за процессами обмена информацией, информационными каналами. Для этого можно проводить такие мероприятия, как разработка плана-графика, периодическая отчетность, регулярные встречи с подчиненными для обсуждения возможных перемен в организации и т.д.;
3) организация системы сбора информации от исполнителей путем создания действующих каналов от подчиненных к руководству, исключающих фильтрацию информации в ходе ее прохождения по структурным уровням. Это возможно с помощью ящиков для предложений, частной телефонной связи, «кружков качества» и т.д.;
4) создание дополнительных каналов для исключения искажения информации или двойственного понимания информационных сообщений путем повторения распоряжений или приказов в специально выпускаемых бюллетенях, информационных листках, регулярных обсуждений или собраний, доски объявлений, демонстрационных витрин, местных средств радио или телевещания и т.д. Кроме того, полезно вовлекать самих пользователей информации в разработку систем ипроцедур сбора данных (например, упрощение документооборота, самоконтроль и др.);
5) использование современных информационных технологий, что, подводит руководство организаций к решению проблемы создания качественной системы коммуникаций. В частности, к таким мероприятиям относятся внедрение персональных компьютеров на рабочих местах, электронной почты, выход в Интернет, связи с другими организациями и т.д.;
6) планирование рабочих мест с учетом функциональных особенностей и способностей работников. При этом возможно создание коммуникационных сетей у работников, функционально связанных между собой в процессе работы. К таким мероприятиям можно отнести пространственное сближение рабочих мест по принципу технологических линий или цепочек;
7) предотвращение возникновения барьеров между различными подразделениями и должностными статусами в организации, «снятие функциональных и иерархических перегородок». Действительно, снятие различий между «мы» и «они» и понимание организации как единого организма в значительной степени уменьшают трудности в процессе коммуникации.
Проблемы коммуникации в межличностном общении. Коммуникациям очень часто препятствует непонимание друг друга членами коммуникационного процесса. Причины возникновения проблем коммуникации из-за непонимания заключаются в следующем.
1. Различия в восприятии сообщения и его основной идеи и концепции, что происходит в силу:
- неправильного кодирования сообщения руководителями без учета культуры и установок членов организации (сообщение написано или передано на непонятном языке, содержит много слов, принадлежащих другой субкультуре, или специальных терминов, выбрана область деятельности или знания, малоизвестная членам организации, и т.д.);
- конфликта между сферами компетенции, основами суждений отправителя и получателя информации (структурный конфликт такого рода может привести к избирательному восприятию информации ее получателем в зависимости от собственных интересов и потребностей и игнорированию интересов отправителя);
- различных социальных установок членов организаций, различных структур ценностей.
2. Семантические барьеры, возникающие из-за плохо сформулированных сообщений, которые могут приводить к потере информации при передаче получателем, особенно много проблем такого рода порождается в многонациональной среде.
3. Невербальные межличностные преграды (жесты, интонации, внутренний смысл и другие формы невербальной символической коммуникации).
4. Неудовлетворительная обратная связь (например, из-за неумения слушать).
Для того чтобы избежать потерь, возникающих из-за недостатков межличностного общения, можно использовать такие приемы:
- предварительная подготовка к передаче сообщения; например, разъяснение основных положений, содержания сообщения;
- снятие семантических барьеров путем исключения двусмысленности, многозначности понятий;
- постоянное внимание к невербальной символической коммуникации — тону подаче сообщения, жестам, мимике и т.д.;
- проявление эмпатии и открытости при общении и передаче сообщений;
- установление обратной связи, для чего следует: задавать вопросы получателю информации о содержании сообщения и степени его восприятия; оценивать невербальную реакцию получателей на сообщение, особенное внимание обращать на жесты, позу и мимику, указывающие на замешательство или непонимание; создавать атмосферу доверия, доброжелательности и готовности обсудить возникающие проблемы с учетом интересов и потребностей получателей информационных сообщений.
В целом можно сказать, что наиболее эффективное использование коммуникаций зависит от таких важнейших факторов, как профессионализм руководителей, структура организации и ее характеристики, наличие устойчивых межличностных отношений между членами организации, культура подчиненных, положение организации во внешней среде (закрытость или открытость), компетентность работников.





