Учет влияния инфляции на показатели эффективности инвестиционного проекта

В ходе анализа эффективности долгосрочных инвестиций инфляция должна включаться в состав проектной рентабельности и учитываться в оценке будущих денежных потоков. Игнорирование фактора инфляции может негативно отразиться на конечных результатах анализа эффектив­ности долгосрочных инвестиций и привести к серьезным ошибкам, вслед­ствие которых менеджеры могут принимать убыточные инвестиционные проекты. Финансовым аналитикам в обосновании конкретных вариантов капитальных вложений необходимо учитывать ряд особенностей, связан­ных с учетом влияния инфляции на инвестиционные решения. Воздейст­вие инфляции обуславливает существование различных аналитических подходов, связанных с использованием номинальных и реальных исчис­лений в оценке частных и обобщающих показателей долгосрочного инве­стирования.

Первая такая особенность проявляется в оценке влияния инфляции на величину процентных ставок. Учет влияния инфляции на уровень про­центных (дисконтных) ставок осуществляется путем конвертирования дисконтной ставки в номинальное исчисление. Взаимосвязь между ре­альной и номинальной дисконтными ставками можно оценить с исполь­зованием следующей модели зависимости:


где Eн - номинальная дисконтная ставка; Е - реальная дисконтная ставка; i - ожидаемая ставка инфляции.

На практике конвертирование дисконтных ставок осуществляется с использованием упрощенной формулы:


Ошибка в использовании упрощенной формулы невелика, когда все ставки ниже 20 % за год, а рублевая сумма в денежных потоках мала. Од­нако чтобы менеджер был уверен, что ошибка мала (при совершении кон­вертирования дисконтных ставок), предпочтение должно отдаваться точ­ной формуле.

Второй важной особенностью является наличие определенной по­следовательности аналитических мероприятий, которой необходимо при­держиваться в процессе инфляционного регулирования проектных денеж­ных потоков. В ходе оценки влияния инфляции на долговременные инве­стиционные решения необходимо проводить соответствующие расчеты по следующим этапам анализа.

1) откорректировать с учетом инфляции отдельные инфляционно за­висимые компоненты денежного потока (объем продаж, цены на готовую продукцию, сырье и материалы, расходы на заработную плату и пр.);определить по всем правилам (стандартам) бухгалтерского учета финансовый результат, необходимый для расчета налоговых от­числений;

2) рассчитать посленалоговые денежные потоки, выраженные в но­минальном исчислении.

Учет инфляции для корректировки стоимостной оценки денежных потоков осуществляется с помощью корректирующего коэффициента


где im - это показатель инфляции (темп прироста) в период времени т.

Это формула используется при неравных темпах инфляции.

Если im = const, то It = (1 + i).

Если показатели определены в ценах базового периода, то показате­ли последующих лет умножается на It.

При анализе данных за предшествующие годы показатели приводят­ся к базовому периоду путем деления на It.

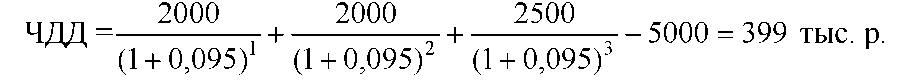
Пример. Рассматривается экономическая целесообразность реализа­ции проекта при следующих условиях: величина инвестиций - 5 млн. р.; период реализации проекта - 3 года; доходность по годам 2000, 2000, 2500 тыс. р.; текущий коэффициент дисконтирования (без учета инфля­ции) - 9,5 %; среднегодовой индекс инфляции - 5 %.

Решение.

Определим ЧДД без учета инфляции:


Ставка дисконтирования с учетом инфляции составит: Ен = (1 + 0,095)(1 + 0,05) - 1 = 0,15. Тогда ЧДД с учетом инфляции будет равен:

Если оценку делать без учета влияния инфляции, то проект следует принять, поскольку ЧДД = 399 тыс. р. Однако если сделать поправку на индекс инфляции, т. е. использовать в расчетах модифицированный коэф­фициент дисконтирования (Е = 15 % т. к. 1,095 х 1,05 = 1,15), то вывод бу­дет диаметрально противоположным, поскольку в этом случае ЧДД = - 105 тыс. р.Способы снижения рисков

Риск-менеджмент позволяет уменьшить степень вероятного риска до возможно низкого уровня. Приемы риск-менеджмента представляют со­бой приемы управления риском. Они состоят из средств разрешения рис­ков и приемов снижения степени риска. Средствами разрешения рис­ков являются: избежание, удержание, передача риска.

Избежание риска означает простое уклонение от мероприятия, свя­занного с риском. Однако избежание риска для инвесторов зачастую озна­чает отказ от прибыли.

Удержание риска - это когда риск остается за инвестором, т. е. на его ответственности. Так, инвестор, вкладывая венчурный капитал, зара­нее уверен, что он может за счет собственных средств покрыть возмож­ную потерю капитала.

Передача риска означает, что инвестор передает ответственность за риск кому-то другому, например, страховой компании. В данном случае передача риска произошла путем страхования риска.

Снижение степени риска - это сокращение вероятности и объема потерь. Для снижения степени риска применяются различные приемы. среди них наиболее распространенными являются:

- диверсификация;

- приобретение дополнительной информации о выборе и результа­тах;

- лимитирование;

- самострахование;

- страхование;

- страхование от валютных рисков;

- хеджирование и др.

Диверсификация представляет собой процесс распределения капи­тала между различными объектами вложения, которые непосредственно не связаны между собой. Например, приобретение инвестором акций пяти разных акционерных обществ вместо акций одного, увеличивает вероят­ность получения им среднего дохода в пять раз, и соответственно в пять раз снижает степень риска.

Диверсификация является наиболее обоснованным и относительно менее издержкоемким способом снижения степени финансового риска.

Диверсификация - это рассеивание инвестиционного риска. Однако она не может свести инвестиционный риск до нуля. Это связано с тем, что на предпринимательство и инвестиционную деятельность хозяйствующе­го субъекта оказывают влияние внешние факторы, которые не связаны с выбором конкретных объектов вложения капитала и, следовательно, на них не влияет диверсификация.

К внешним факторам относятся процессы, происходящие в эконо­мике страны в целом, военные действия, гражданские волнения, инфляция и дефляция, изменение учетной ставки Банка России, изменение процент­ных ставок по депозитам, кредитам в коммерческих банках и т. д.

Таким образом, риск состоит из двух частей: диверсифицируемого и недиверсифицируемого риска.

Диверсифицируемый риск, называемый еще несистематическим, может быть устранен путем его рассеивания, т. е. диверсификацией.

Недиверсифицируемый риск, называемый еще систематическим, не может быть уменьшен диверсификацией.

Приобретение дополнительной информации. Информация играет важную роль в риск-менеджменте. Менеджеру часто приходиться прини­мать рисковые решения, когда результаты вложения капитала не опреде­лены и основаны на ограниченной информации. Если бы у него была бо­лее полная информация, он мог бы сделать более точный прогноз и сни­зить риск. Это делает информацию товаром, причем очень ценным. Инве­стор готов заплатить за полную информацию.

Стоимость полной информации рассчитывается как разница между ожидаемой стоимостью какого-либо приобретения или вложения капита­ла, когда имеется полная информация, и ожидаемой стоимостью, когда информация неполная.

Лимитирование - это установление лимита, т. е. предельных сумм расходов, продажи, кредита и т. п. Лимитирование является важным приемом снижения степени риска и применяется банками при выдаче ссуд, при заключении договоров на овердрафт и т. п. Хозяйствующими субъектами он применяется при продаже товаров в кредит, предоставле­нии займов, определении сумм вложения капитала и т. п.

Самострахование связано с резервированием средств на покрытие непредвиденных расходов и покрытием убытков за счет части собствен­ных средств. Самострахование означает, что предприниматель скорее предпочитает подстраховаться сам, чем покупать страховку в страховой компании. Тем самым он экономит на затратах капитала по страхованию.

Самострахование представляет собой децентрализованную форму создания натуральных и страховых (резервных) фондов непосредственно в хозяйствующих субъектах, особенно в тех, чья деятельность под­вержена риску.

Самострахование с помощью внутренних мер целесообразно при риске уничтожения имущества, стоимость которого невелика по сравне­нию с финансовыми показателями всей фирмы или риске уничтожения большого количества однотипного имущества.

Создание предпринимателем обособленного фонда возмещения воз­можных убытков в производственно-торговом процессе выражает сущ­ность самострахования, основная задача которого, заключается в опера­тивном преодолении временных затруднений финансово-коммерческой деятельности. В процессы самострахования создаются различные резерв­ные и страховые фонды. Эти фонды, в зависимости от цели назначения, могут создаваться в натуральной или денежной форме.

Резервные денежные фонды создаются, прежде всего, на случай по­крытия непредвиденных расходов, кредиторской задолженности, расходов по ликвидации хозяйствующего субъекта. Их создание является обяза­тельным для акционерного общества.

Акционерные общества и предприятия с участием иностранного ка­питала обязаны в законодательном порядке создавать резервный фонд в размере не менее 15 % и не более 25 % от уставного капитала.

Акционерное общество зачисляет в резервный фонд также эмисси­онный доход, т. е. сумму разницы между продажной и номинальной стои­мостью акций, вырученной при их реализации по цене, превышающей номинальную стоимость. Эта сумма не подлежит какому-либо использо­ванию или распределению, кроме случаев реализации акций по цене, ниже номинальной стоимости.

Резервный фонд акционерного общества используется для финанси­рования непредвиденных расходов, в т. ч. также на выплату процентов по облигациям и дивидендов по привилегированным акциям в случае недос­таточной прибыли для этих целей.

Страхование. Хозяйствующие субъекты и граждане для страховой защиты своих имущественных интересов могут создавать общества вза­имного страхования. Наиболее важным и самым распространенным прие­мом снижения степени риска является страхование риска.

Сущность страхования выражается в том, что инвестор готов отка­заться от части своих доходов, чтобы избежать риска, т. е. он готов запла­тить за снижение степени риска до нуля. В настоящее время появились новые виды страхования, например страхование титула, страхование предпринимательских рисков и др.

Титул - законное право на собственность, на недвижимость, имею­щее документальную юридическую силу. Страхование титула - страхо­вание от событий, произошедших в прошлом, последствия которых могут отразиться в будущем. Оно позволяет покупателям недвижимости рассчи­тывать на возмещение убытков в случае расторжения судом договора ку­пли-продажи недвижимости.

Предпринимательский риск - это риск неполучения ожидаемых до­ходов от предпринимательской деятельности (ст. 933 ГК РФ). По договору страхования предпринимательского риска может быть застрахован пред­принимательский риск только самого страхователя и только в его пользу, т. е. нельзя заключить такой договор в пользу третьего лица. Страховая сумма не должна превышать страховую стоимость предприниматель­ского риска.

Страховой стоимостью предпринимательского риска является сумма убытков от предпринимательской деятельности, которые страхователь, как можно ожидать, понес бы при наступление страхового случая. По до­говору имущественного страхования (ст. 929 ГК РФ) может быть застра­хован риск убытков от предпринимательской деятельности из-за наруше­ния своих обязательств контрагентами предпринимателя или из-за изме­нения условий этой деятельности, по не зависящим от предпринимателя обстоятельствам, в т. ч. риск неполучения ожидаемых доходов.

Хеджирование используется в банковской, биржевой и коммерче­ской практике для обозначения различных методов страхования валютных рисков. Хеджирование - система заключения срочных контрактов и сде­лок, учитывающих вероятностные в будущем изменения обменных ва­лютных курсов и преследующая цель избежать неблагоприятных послед­ствий этих изменений. В отечественной литературе термин «хеджирова­ние» стал применяться в более широком смысле как страхование рисков от неблагоприятных изменений цен на любые товарно-материальные цен­ности по контрактам и коммерческим операциям, предусматривающим поставки (продажи) товаров в будущих периодах.

Контракт, который служит для страховки от риска изменения курсов (цен) носит название «хедж» (от англ. hedge - изгородь, ограда) хозяйст­вующий субъект, осуществляющий хеджирование, называется «хеджер». Существует две операции хеджирования: хеджирование на повышение и хеджирование на понижение.

Хеджирование на повышение, или хеджирование покупкой, пред­ставляет собой биржевую операцию по покупке срочных контрактов или опционов. Хедж на повышение применяется в тех случаях, когда необхо­димо застраховаться от возможного повышения цен (курсов) в будущем.

Он позволяет установить покупную цену намного раньше, чем был при­обретен реальный товар.

Хеджирование на понижение, или хеджирование продажей - это биржевая операция с продажей срочного контракта. Хеджер, осуществ­ляющий хеджирование на понижение, предполагает совершить в будущем продажу товара, и поэтому, продавая на бирже срочный контракт или оп­цион, он страхует себя от возможного снижения цен в будущем.

Хеджер стремится снизить риск, вызванный неопределенностью цен на рынке, с помощью покупки или продажи срочных контрактов. Это дает возможность зафиксировать цену и сделать доходы или расходы более предсказуемыми. При этом риск, связанный с хеджированием, не исчеза­ет. Его берут на себя спекулянты, т. е. предприниматели, идущие на опре­деленный, заранее рассчитанный риск.


[1] Коэффициент народнохозяйственной ценности человеческой жизни утверждается органами государственной власти на федеральном уровне.





Подборка статей по вашей теме: