Инвестиционный бизнес-план
Бизнес-план является неотъемлемой частью делового планирования как непрерывного процесса развития организации. Необходимость разработки инвестиционного бизнес-плана российскими предприятиями была вызвано рядом причин:
■ адаптацией зарубежного опыта разработки инвестиционных проектов к отечественным условиям. Это определило обязательную типизацию методологии и документации, используемых в области бизнеса;
■ использованием персональных компьютеров, что определило необходимость и возможность создания программного обеспечения разработки и анализа инвестиционных проектов. Коммерческие и стандартные функциональные, а также подготовленные самими разработчиками проектов программы применяются во многих расчетах;
■ оценкой бизнес-плана собственниками финансовых ресурсов или их заемщиками и заимодателями с позиций возврата вложенных средств и получения прибыли или иного положительного эффекта.
Он представляет собой максимально компактный документ, который позволяет предпринимателю не только принять обоснованное решение, но и указать, что и когда следует сделать, чтобы оправдались ожидания относительно эффективности проекта. От правильности составления документа зависит одобрение и жизнеспособность проекта. Бизнес-план отвечает на вопросы: так ли хороша идея; на кого рассчитан новый продукт (услуга); найдет ли этот продукт (услуга) покупателя; с кем придется конкурировать?
Для среднесрочных и долгосрочных проектов разработка бизнес-планов — центральный этап в инвестиционном планировании. Главным его содержанием являются формирование основных компонентов проекта и подготовка его к реализации. Основное содержание этого этапа включает в себя следующие виды работ:
■ развитие концепции и дальнейшая разработка основного содержания проекта (ресурсы — ограничения — результат);
■ установление деловых контактов и углубленное изучение целей участников;
■ структурное планирование;
■ организацию и проведение торгов, заключение контрактов с основными исполнителями;
■ получение одобрения на продолжение работ.
Для краткосрочных небольших по масштабу или локальных проектов, не требующих значительных затрат и весьма непродолжительных по срокам реализации, в бизнес-плане совмещаются все этапы и работы, выполняемые на прединвестиционной фазе.
Для разработки стратегии развития крупного предприятия составляется корпоративный (глобальный) бизнес-план.
При разработке бизнес-плана необходимо прежде всего решить: какую цель преследует разработка бизнес-плана. Эти цели могут быть следующими:
■ уяснить для себя степень реальности достижения обозначенных результатов в завершенном проекте или техническом условии;
■ убедить коллег в реальности достижения определенных качественных или количественных показателей предполагаемого проекта;
■ подготовить общественное мнение к акционированию предприятия по предполагаемой схеме, которую авторы считают оптимальной;
■ доказать определенному кругу лиц целесообразность перестройки работы и реорганизации существующего или создания нового предприятия;
■ привлечь внимание и усилить заинтересованность потенциального инвестора.
Предприятия, работающие в стабильной ситуации и производящие продукт для достаточно устойчивого рынка, разрабатывают бизнес-план, направленный на совершенствование производства и поиск путей снижения издержек. Эти предприятия постоянно предусматривают мероприятия по модернизации производимой ими продукции и оформляют их в виде локальных бизнес-планов.
Венчурные предприятия, выпускающие продукцию при повышенном риске, систематически работают над бизнес-планами освоения новых видов продукции, перехода на технологии и т.п.
Если предприятие, наметив значительный рост производства традиционных продуктов или освоение новой техники, не имеет достаточных мощностей для их производства, то оно может пойти путем привлечения капитальных вложений либо поиска новых партнеров. В этом случае бизнес-план используется при поиске инвесторов, кредиторов, спонсорских вложений. Для этого может быть подготовлен одно- или двухстраничное краткое описание бизнес-плана, что позволяет инвесторам, кредиторам и другим партнерам увидеть важные особенности и преимущества проекта. Такой документ получил название бизнес-предложения. Он используется при переговорах с возможными инвесторами и будущими партнерами.
Бизнес-план должен быть представлен в форме, позволяющей заинтересованному лицу получить четкое представление о существе дела и степени заинтересованности своего участия в нем. Объем и степень конкретизации разделов плана определяются спецификой и областью деятельности предприятия.
Он должен быть написан просто и ясно и иметь четкую структуру, например такую, какую рекомендует Минэкономразвития России:
1. Вводная часть.
2. Обзор состояния отрасли (производства), к которой относится предприятие.
3. Описание проекта.
4. Производственный план реализации проекта.
5. План маркетинга и сбыта продукции.
6. Организационный план реализации проекта.
7. Финансовый план реализации проекта.
8. Оценка экономической эффективности затрат, осуществляемых в ходе реализации проекта.
Рассмотрим подробнее содержание каждого раздела.
Вводная часть бизнес-плана включает в себя:
■ титульный лист;
■ резюме;
■ меморандум о конфиденциальности.
На титульном листе помещается наименование предприятия — инициатора проекта, наименование проекта, место и время его разработки.
Резюме представляет собой краткое изложение сути инвестиционного проекта. Это документ, раскрывающий всю привлекательность и необходимость осуществления той или иной цели. Он должен быть кратким и вызывать интерес читающего. Резюме составляется в последнюю очередь, так как суммирует всю информацию, содержащуюся в проекте. В резюме представляются данные, которые должны позволить потенциальному инвестору понять, о чем идет речь, какова предполагаемая стоимость и рентабельность проекта.
Меморандум о конфиденциальности составляется с целью предупреждения лиц, знакомящихся с бизнес-планом, о конфиденциальности содержащейся в нем информации. В меморандуме может содержаться напоминание о том, что читающий берет на себя ответственность и гарантирует неразглашение содержащейся в плане информации без предварительного согласия автора. Меморандум может содержать требования о возврате бизнес-плана и запрет на копирование материала.
Обзор состояния отрасли (производства), к которой относится предприятие, призван решить две основные задачи:
1) изучить состояние и тенденции развития отрасли как объекта инвестирования;
2) осуществить прогноз объема производства продукции и услуг, которое может выпускать предприятие в условиях конкуренции.
Для решения первой задачи в бизнес-плане целесообразно дать ретроспективный анализ текущего состояния дел в отрасли, развития отрасли за предшествующие 5—10 лет, описать возможные тенденции развития отрасли в целом, соответствующих производств в регионах, где планируется сбыт продукции, за рубежом.
Для решения второй задачи необходимо описать основных конкурентов на региональном, внутреннем и внешнем рынках по следующим позициям:
■ номенклатура и сбыт выпускаемой продукции;
■ рынки, на которых они работают, и доли на этих рынках;
■ конкурентоспособность их продукции;
■ ценовая политика и политика в области сбыта;
■ состояние производственной базы.
Анализ указанных данных позволит определить конкурентные преимущества вашего предприятия или выявить его недостатки, определить методы конкурентной борьбы с предприятиями-конкурентами. Результаты анализа будут одним из критериев, на основании которого потенциальный инвестор сможет судить о возможностях предприятия вести успешную конкуренцию с аналогичными предприятиями.
Описание проекта заключается в том, чтобы кратко и ясно изложить суть и основные положения проекта. В этом разделе освещаются следующие вопросы:
■ чем занимается или будет заниматься предприятие (приводятся данные о размере и перспективах предприятия, профиле деятельности, особенностях производимых товаров и услуг и другие сведения, обеспечивающие конкурентные преимущества этого предприятия);
■ какой ожидается спрос на предполагаемые товары и услуги, прогноз их реализации на несколько лет (здесь представляются основные тенденции развития рынка, слабые стороны предприятий-конкурентов, планы роста и расширения деятельности);
■ величина доходов от реализации продукции или предоставления услуг, величина затрат и валовой прибыли, уровень рентабельности, срок окупаемости вложений (в этой части бизнес-плана следует представить экономику предприятия: данные по прибыли, ожидаемую рентабельность, доходность на инвестируемый капитал, временные рамки достижения точки безубыточности и превышения наличных поступлений над платежами);
■ сколько средств необходимо вложить в проект для его реализации (коротко указать сумму необходимого финансирования и направления использования капитала); и почему предприятие добьется успеха быстрого проникновения на новые рынки товаров и услуг (в этом разделе указываются конкурентные преимущества предприятия в данный период и возможные преимущества после реализации предлагаемого проекта, слабые стороны конкурентов и другие условия).
В производственном плане представляется информация по обеспеченности инвестиционного проекта с производственной и технологической стороны. В производственном плане необходимо сделать следующее:
■ изложить цели долгосрочной стратегии предприятия;
■ описать структуру планируемого производства, его сырьевую базу и технологическую схему производственного процесса, источники энерго-, тепло-, водоснабжения;
■ представить данные о кадровом обеспечении производства, программу подготовки и переподготовки кадров;
■ описать план вывода предприятия на полную проектную мощность;
■ представить информацию о состоянии работ по проекту и возможностях производства.
Чтобы охарактеризовать состояние работ по проекту, требуется указать следующие данные:
■ степень освоения предполагаемой к производству продукции;
■ правовое обеспечение проекта;
■ выполненные работы по проекту;
■ наличие производственных площадей;
■ необходимость закупки оборудования;
■ наименование поставщиков, сроки поставки и стоимость оборудования;
■ характеристику сырьевой базы;
■ характеристику инфраструктуры производства (включая внутренний и внешний транспорт);
■ экологическую ситуацию по сбросам в водный бассейн и выбросам в воздушную среду.
План маркетинга и сбыта продукции является одним из наиболее значимых и сложных в бизнес-плане. Результаты исследования рынка — это база для разработки долгосрочной маркетинговой и ценовой стратегии предприятия, его текущей политики. Они определяют потребности в людских и материальных ресурсах.
Ввиду важности и сложности этого раздела целесообразно готовить его в первую очередь и по возможности проверить данные о рынке, его объемах и темпах роста по дополнительным, альтернативным источникам.
Исследование рынка в бизнес-плане включают в себя три блока:
1. Анализ спроса на товары и услуги на выбранном рынке и тенденции его развития.
2. Описание структуры рынка, его основных сегментов, анализ форм и методов сбыта.
3. Исследование условий конкуренции на выбранных для работы сегментах рынка.
От оценок сбыта, сделанных в данном разделе, зависят все последующие разделы плана. Объем реализации товаров и услуг, спрогнозированный в результате выполненного исследования рынка, оказывает непосредственное влияние на план производства, план маркетинга и сумму инвестируемого капитала, который потребуется предприятию. Данные, полученные в ходе анализа конкурентной обстановки, в значительной степени предопределяют стратегию сбыта и ценовую стратегию предприятия на выбранных сегментах рынка.
В организационном плане реализации проекта излагается структура и политика управления, дается краткая характеристика состава команды управления. При описании организационной структуры предприятия следует рассмотреть:
■ основные подразделения предприятия и его функции;
■ распределение обязанностей персонала управления;
■ методы взаимодействия подразделений между собой;
■ заинтересованность предприятия в конечных результатах;
■ новые виды работ, вытекающие из целей предприятия;
■ необходимую квалификацию персонала.
В бизнес-плане приводятся подробные данные на каждого руководителя предприятия, наиболее крупных держателей акций, участников команды разработчиков проекта, руководимого участка работы.
Финансовый план реализации проекта готовится после того, как подготовлены план маркетинга и производственный план. При его разработке следует учитывать неодинаковость интересов участников инвестиционного проекта. Финансовый план должен включать краткий обзор условий, в которых будет действовать предприятие. Он должен содержать такие данные, как объем продаж, валовой прибыли, затраты на оборудование, оплату труда и другие затраты, а также подробный оперативный анализ доходов и расходов, формирования чистой прибыли предприятия. Это составит полное представление о рентабельности предприятия. Этот раздел бизнес-плана может быть составлен только после того, как определены рамки (границы) проекта, а также непредвиденные расходы и инфляция.
Рамки (границы) проекта подразумевают определение:
■ всех видов деятельности, которые должны быть представлены на заводской площадке;
■ дополнительных операций, связанных с производством, извлечением природных ресурсов, очисткой сточных вод и выбросов;
■ внешнего транспорта и складов для сырья и материалов и готовой продукции;
■ внешних дополняющих видов деятельности (жилищных, профессиональной подготовки, общеобразовательных программ, сооружения рекреационных объектов).
Непредвиденные расходы подразделяют на материальные и финансовые. Материальные непредвиденные расходы связаны с точностью прогнозирования продаж, проектных требований, материалов и услуг. С целью избежать потерь в проектную стоимость объекта закладывается резерв непредвиденных затрат в размере от 5 до 10% сметной себестоимости объекта.
Финансовые непредвиденные расходы связаны с инфляцией, изменением базовой ставки ссудного процента и другими факторами.
Учет инфляции осуществляется с использованием следующих данных:
■ общего индекса внутренней рублевой инфляции, определяемого с учетом систематически корректируемого рабочего прогноза хода инфляции;
■ прогнозов валютного курса рубля;
■ прогнозов внешней инфляции;
■ прогнозов изменения во времени цен на продукцию и ресурсы(в том числе на газ, нефть, энергоресурсы, оборудование, строительно-монтажные работы, сырье, отдельные виды материальных ресурсов),а также прогнозов изменения уровня средней заработной платы и других показателей на перспективу;
■ прогноза ставок налога, пошлин, ставок рефинансирования ЦБ РФ и других финансовых нормативов государственного регулирования.
С помощью перечисленных данных необходимо исследовать влияние инфляции на ценовые показатели, на потребность в финансировании, на потребность в оборотном капитале.
Составление финансового плана проходит в несколько этапов.
1 этап — прогноз объемов продаж. Рассчитываются объемы и стоимость продаж на соответствующих рынках для каждого года.
2 этап — расчет затрат на реализуемую продукцию и услуги. Расчеты осуществляются на основе прогноза объемов продаж, действующих нормативов, ценовой политики и условий реализации.
3 этап — описание контрагентов, их надежности, распределение контрактов во времени, затраты по контрагентам.
4 этап — расчет обеспеченности сырьем, энергией, водой (технической и питьевой), запасными частями и эксплуатационными материалами на первые пять лет, а также обеспеченность трудовыми ресурсами.
5 этап — прогноз издержек (условно-постоянных, условно-переменных и суммарных) по годам.
6 этап — расчет планируемой прибыли. Составляется план ожидаемой прибыли, вычисляется чистая прибыль или потери для каждого года.
7 этап — анализ точки критического объема реализации. Критический объем представляет собой выручку, которая точно покрывает операционные затраты на производство продукции и услуг. Эта величина выручки называется точкой безубыточности. Необходимо произвести анализ критического объема продукции.
8 этап — описание источников финансирования. При описании источников финансирования применяют следующую схему:
■ источники формирования ресурсов:
- заемные средства;
■ политика распределения прибыли после уплаты налогов:
- доля прибыли, направляемая в фонд накопления,
- выплата дивидендов (сроки и проценты);
■ мероприятия по контролю за платежами потребителей, финансовая политика в отношении страхования кредитов;
■ критерии оценки эффективности;
■ способы страхования.
Если для финансирования проекта планируется использовать кредит, то в бизнес-плане приводится расчет порядка и сроков получения и возврата ссуды, а также выплаты процентных платежей.
В результате проведенных расчетов в бизнес-плане составляются три базовые формы финансовой отчетности: отчет о прибыли, отчет о движении денежных средств и балансовый отчет.
Отчет о прибыли иллюстрирует соотношение доходов, получаемых в процессе производственной деятельности предприятия (проекта) в течение периода осуществления проекта, с расходами, понесенными в этот же период и связанными с получением доходов, необходим для оценки эффективности текущей (хозяйственной) деятельности. Анализ соотношения доходов и расходов позволяет оценить резервы увеличения собственного капитала проекта, а также осуществить расчет величин различных налоговых выплат и дивидендов.
В отчете о движении денежных средств представлена информация об образовании источников финансовых ресурсов и об использовании этих финансовых ресурсов. В качестве источников средств в проекте могут выступать: увеличение собственного капитала за счет эмиссии новых акций, увеличение задолженности путем займов и выпуска облигаций, выручка от реализации продукции и прочие расходы. В случае выкупа акций или убытков от прочей реализации и внереализационной деятельности в соответствующих позициях могут появиться отрицательные значения.
Важным моментом является то, что в качестве оттока средств выступают не все текущие затраты проекта, а только операционные расходы и текущие процентные платежи. Амортизационные отчисления, являясь одной из статей затрат, являются источником финансирования основных фондов. Следовательно, объем свободных денежных средств проекта равен сумме чистой прибыли и амортизационных отчислений за установленный период времени. Погашение внешней задолженности осуществляется за счет свободных денежных средств, а не из прибыли.
В балансовом отчете в целях удобства анализа в проектной практике используется баланс в агрегированной, т.е. в укрупненной форме. Назначение баланса инвестиционного проекта заключается в иллюстрировании динамики изменения структуры имущества проекта (активов) и источников его финансирования (пассивов). Баланс предоставляет возможность расчета общепринятых показателей финансового состояния проекта, оценки ликвидности, коэффициентов оборачиваемости, маневренности, общей платежеспособности и др.
В процессе своего осуществления инвестиционный проект должен обеспечивать получение приемлемой прибыли на вложенный капитал и поддержание устойчивого финансового состояния. Успешное решение этих задач осуществляется на основе анализа ряда коэффициентов. Перечень коэффициентов определяется особенностями проекта, наиболее часто используемые коэффициенты представлены в табл. 19.1.
| Наименование показателя | Расчетная формула |
| Показатели рентабельности | |
| Рентабельность общих активов | (ЧП + П): ОА |
| Рентабельность постоянного капитала | (ЧП + П): ПК |
| Финансовые коэффициенты | |
| Рентабельность акционерного капитала | ЧП:АК |
| Рентабельность продаж | ЧП: ВР |
| Затраты на рубль | СС: ВР |
| Оценка оборачиваемости | |
| Оборачиваемость активов | ВР:ОА |
| Оборачиваемость постоянного капитала | ВР:ПК |
| Оборачиваемость акционерного капитала | ВР:АК |
| Оборачиваемость оборотного капитала | ВР: ОК |
| Оценка финансового положения | |
| коэффициент общей ликвидности | ТА:ТП |
| коэффициент немедленной ликвидности | ЛА:ТП |
| коэффициент общей платежеспособности | ЗС:ОА |
| Условные обозначения: | |
| ЧП — чистая прибыль | СС — себестоимость продукции |
| П — проценты за кредит | ВР — выручка от реализации |
| НП — ставка налога на прибыль | ОК — оборотный капитал |
| ОА — общие активы | ТА — текущие активы |
| ПК — постоянный капитал | ЛА — высоколиквидные активы |
| АК — акционерный капитал | ЗС — заемные средства |
При оценке финансовой состоятельности инвестиционных проектов рассчитываются финансовые коэффициенты, характеризующие каждый плановый период, затем проводят анализ коэффициентов во времени и выявляют тенденции в их изменении.
Оценка экономической эффективности затрат, осуществляемых в ходе реализации проекта, занимает центральное место в процессе обоснования и выбора возможных вариантов вложения средств в операции с реальными активами. При разработке этого раздела бизнес-плана необходимо пользоваться Методическими рекомендациями по оценке инвестиционных проектов и их отбору для финансирования, разработанными Минэкономразвития России.
В соответствии с этими рекомендациями следует оценивать следующие виды эффективности инвестиционных проектов:
■ эффективность проекта в целом;
■ эффективность участия в проекте.
Эффективность проекта в целом оценивается с целью определения потенциальной привлекательности проекта для возможных участников и поисков источников финансирования. Она включает в себя: общественную (социально-экономическую) эффективность, учитывающую социально-экономические последствия осуществления проекта для общества в целом;
■ коммерческую эффективность, учитывающую финансовые последствия осуществления проекта для участника реализующего инвестиционный проект.
Эффективность участия в проекте определяется с целью проверки реализуемости инвестиционного проекта и заинтересованности в нем всех его участников. Эффективность участия в проекте включает в себя:
■ эффективность предприятий-участников;
■ эффективность инвестирования в акции предприятия (для акционеров акционерных обществ);
■ эффективность участия в проекте структур более высокого уровня по отношению к предприятиям-участникам (народно-хозяйственную, региональную, отраслевую);
■ бюджетную эффективность.
Оценка эффективности проекта осуществляется в два этапа.
На первом этапе рассчитываются показатели эффективности проекта в целом. Для локальных проектов оценивается только их коммерческая эффективность и, если она оказывается приемлемой, рекомендуется непосредственно переходить ко второму этапу оценки. Для общественно значимых проектов оценивается в первую очередь их общественная эффективность. При неудовлетворительной общественной оценке такие проекты не рекомендуются к реализации и не могут претендовать на государственную поддержку. Если же их общественная эффективность оказывается достаточной, оценивается их коммерческая эффективность. При недостаточной коммерческой эффективности общественно значимого проекта рекомендуется рассмотреть возможность применения различных форм его поддержки, которые позволили бы повысить коммерческую эффективность проекта до приемлемого уровня.
Второй этап заключается в выработке схемы финансирования. На этом этапе уточняется состав участников и определяется финансовая реализуемость и эффективность участия в проекте каждого из них.
Все затраты и поступления от реализации проекта в течение расчетного периода представляются в виде притоков и оттоков денежных средств.
Результатом оттока денежных средств является поток реальных денег, представляющий собой сальдо оттока и притока за расчетный период. Учет фактора времени при определении и анализе результатов проекта на каждом этапе осуществляется путем дисконтирования денежных потоков, т.е. приведения разновременных их значений к современной текущей стоимости.
Основным нормативом, используемым при дисконтировании, является норма дисконта. Различают следующие нормы дисконта:
- коммерческую,
- участника проекта,
- социальную
- бюджетную.
Рассмотрим основные показатели, используемые для расчетов эффективности инвестиционного проекта.
Чистый доход (ЧД, Net Value, NV) представляет собой разницу между накопленными денежными доходами по проекту и накопленными расходами, т.е. чистый доход — это сальдо накопленного денежного дохода. Чистый доход можно рассчитать по формуле

NV =∑ (P-IC)
где NV — чистый доход;
Р — доходы по годам, генерируемые инвестициями; 1С — инвестиции по годам;
k = 1, 2, 3... п — число стандартных периодов реализации проекта (лет, месяцев).
Для признания проекта эффективным необходимо, чтобы чистый доход был положительной величиной.
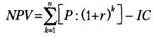
Чистый дисконтированный доход (ЧДД, интегральный эффект, Net Present Value, NPV) представляет собой разницу между накопленными дисконтированными доходами по проекту и накопленными дисконтированными инвестициями, иначе говоря, чистый дисконтированный доход есть сальдо накопленного дисконтированного дохода.
NPV используется для сопоставления будущих поступлений и инвестиционных затрат.
При разовых инвестициях NPV можно рассчитать по формуле

где NPV — чистый дисконтируемый доход;
Р — доходы по годам, генерируемые инвестициями; г — ставка дисконтирования; k = 1, 2,3... п — число стандартных периодов реализации проекта (лет, месяцев); 1С — сумма разовой инвестиции.
Если проект предполагает не разовую инвестицию, а последовательное инвестирование ресурсов в течение п лет, то формула имеет вид

Если NPV > О, то проект можно принимать.
NPV = О, то проект ни прибыльный, ни убыточный.
NPV < О, то проект следует отвергнуть.
Если NPV положительно, то проект обеспечивает возможность получения дополнительного дохода сверх определенного коэффициентом дисконтирования. Если NPV отрицательно, то это означает, что прогнозируемые денежные поступления не обеспечивают получение минимальной нормативной прибыли и возмещение инвестируемого капитала. Если NPV близко к нулю, то это означает, что прибыль едва обеспечивается.
Этот показатель относится к разряду абсолютных. Он показывает, насколько возрастает стоимость активов предприятия от реализации данного инвестиционного проекта. Чем больше NPV, тем лучше характеристики проекта. Этот показатель аддитивен во времени, т.е. NPV различных проектов можно суммировать. Это важное свойство, позволяющее использовать его при анализе оптимальности инвестиционного портфеля.
NPV учитывает срок жизни проекта — все доходы и расходы на всех этапах.
Внутренняя норма доходности (ВНД, Internal Rate of Return, IRR) — такая норма дисконта, при которой дисконтированная стоимость притока реальных денег равна дисконтированной стоимости оттоков, т.е. при г =IRR,NPV=0.
Экономический смысл IRR в том, что этот показатель характеризует максимально допустимый относительный уровень расходов, которые могут быть ассоциированы с данным проектом. Например, если проект финансируется полностью за счет ссуды коммерческого банка, то значение IRR показывает верхнюю границу допустимого уровня банковской процентной ставки, превышение которой сделает проект убыточным.
Если IRR > СК, то проект можно рассматривать и принимать, если IRR > СК, то проект неприемлем, если IRR = СК, можно принимать любое решение (СК — стоимость инвестируемого капитала).
Исчисляется IRR путем подбора такой нормы дисконта, при которой NPV равен нулю. Если NPV положителен, то используется более высокая норма дисконта. Если NPV отрицателен (при следующей норме дисконта), то IRR должна находиться между этими двумя значениями. Точность исчисления обратно пропорциональна длине интервала. Если NPV равно нулю, то ценность фирмы не растет, но и не падает. Поэтому IRR называют еще проверочным дисконтом.
При помощи IRR можно отсеивать невыгодные проекты или ранжировать их по степени выгодности. Также она служит индикатором уровня риска. Чем в большей степени IRR превышает стоимость капитала, тем больше запас прочности проекта и тем менее страшны колебания рынка и ошибки при оценке величины будущих денежных поступлений.
Простой срок окупаемости (Payback period, PP) — это период от начального момента инвестирования до момента окупаемости. Начальный момент указывается в задании на проектирование. Моментом окупаемости называется тот наиболее ранний период времени в расчетном периоде, после которого текущий чистый доход NV становится и остается в дальнейшем неотрицательным.
Алгоритм расчета зависит от равномерности распределения прогнозируемых доходов. Если доход распределяется по годам равномерно, то срок окупаемости рассчитывается делением единовременных затрат на величину годового дохода. Если прибыль распределяется по годам неравномерно, то срок окупаемости рассчитывается прямым подсчетом числа лет, в течение которых инвестиции будут погашены кумулятивным доходом.
Срок окупаемости с учетом дисконтирования (DPP) — это период от начального момента до момента окупаемости с учетом дисконтирования. Моментом окупаемости с учетом дисконтирования называется тот наиболее ранний момент времени в расчетном периоде, после которого чистый дисконтированный доход становится и в дальнейшем остается неотрицательным. Алгоритм расчета этого показателя тот же, что и при определении простого срока окупаемости, только используются показатели приведенного денежного потока.
Потребность в дополнительном финансировании (ПФ) — максимальное значение абсолютной величины отрицательного накопленного сальдо от инвестиционной и операционной деятельности. Величина ПФ показывает минимальный объем внешнего финансирования проекта, необходимый для обеспечения его финансовой реализуемости. Поэтому ПФ называют еще капиталом риска. Следует иметь в виду, что реальный объем внешнего финансирования не обязан совпадать с ПФ и, как правило, превышает его за счет необходимости обслуживания долга.
Потребность в дополнительном финансировании с учетом дисконта (ДПФ) — максимальное значение абсолютной величины отрицательного накопленного дисконтированного сальдо от инвестиционной и операционной деятельности. Величина ДПФ показывает минимальный дисконтированный объем внешнего финансирования проекта, необходимый для обеспечения его финансовой реализуемости.
Индекс доходности затрат — отношение суммы денежных притоков (накопленных поступлений) к сумме денежных оттоков (накопленным платежам).
Индекс доходности дисконтированных затрат — отношение суммы дисконтированных денежных притоков к сумме дисконтированных Денежных оттоков.
Индекс доходности инвестиций (ИД) — отношение суммы элементов денежного потока от операционной деятельности к абсолютной величине суммы элементов денежного потока от инвестиционной деятельности. Он равен увеличенному на единицу отношению чистого дохода (ЧД, NV) к накопленному объему инвестиций. Этот показатель рассчитывается по формуле

где ИД — индекс доходности инвестиций; ЧД — чистый доход; 1С — инвестиции по годам инвестиционного цикла;
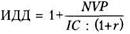
Индекс доходности дисконтированных инвестиций (ИДД) — отношение суммы дисконтированных элементов денежного потока от операционной деятельности к абсолютной величине дисконтированной суммы элементов денежного потока от инвестиционной деятельности. ИДД равен увеличенному на единицу отношению чистого дисконтированного дохода (ЧДД, NPV) к накопленному дисконтированному объему инвестиций. Этот показатель можно рассчитать по формуле

где ИДД — индекс доходности дисконтированных инвестиций; NPV — чистый дисконтированный доход; 1С — инвестиции по годам инвестиционного цикла; г — ставка дисконтирования;
Для принятия проекта к рассмотрению необходимо, чтобы индексы затрат и инвестиций были больше единицы. Индексы доходности характеризуют отдачу проекта на вложенный капитал. Индексы превышают единицу, если чистый доход и чистый дисконтированный доход по проекту положительны.
При расчетах эффективности рекомендуется учитывать неопределенность, т.е. неполноту и неточность информации об условиях реализации проекта и риск, т.е. возможность возникновения таких условий, которые приведут к негативным последствиям для всех или отдельных участников проекта. Показатели эффективности проекта, исчисленные с учетом факторов неопределенности и риска, именуются ожидаемыми.
Для оценки устойчивости и эффективности проекта в условиях неопределенности рекомендуется использовать следующие методы:
■ укрупненную оценку устойчивости;
■ расчет уровней безубыточности;
■ метод вариации параметров;
■ оценку ожидаемого эффекта с учетом количественных характеристик неопределенности.
Все эти методы, кроме первого, предусматривают разработку сценариев реализации проекта в наиболее вероятных или наиболее опасных условиях и оценку финансовых последствий. Это дает возможность при необходимости предусмотреть в проекте меры по предотвращению или перераспределению возникающих потерь.
Проект считается устойчивым, если при всех сценариях он оказывается эффективным и финансово реализуемым, а возможные неблагоприятные последствия устраняются мерами, предусмотренными организационно-экономическим механизмом проекта.
Риск проекта учитывается путем внесения поправок в норму дисконта. В величине поправки на риск учитываются три типа рисков, связанных с реализацией инвестиционного проекта:
1) страховой риск;
2) риск ненадежности участников проекта;
3) риск неполучения предусмотренных проектом доходов.
Поправка на каждый вид риска не вводится, если инвестиции застрахованы на соответствующий страховой случай.
Приведенная структура бизнес-плана не является застывшей. В зависимости от цели, масштаба, сложности инвестиционного проекта количество разделов, их содержание, глубина проработки материала могут меняться, что будет отражаться на структуре и содержании бизнес-плана.
На российском рынке в настоящее время распространено множество программных комплексов, предназначенных для применения на различных стадиях реализации инвестиционных проектов. Наиболее популярными являются:
КОМФАР, разработанный организацией промышленного развития при ООН (ЮНИДО);
ПРОДЖЕКТ-Эксперт, разработанный фирмой «ПРО-Инвест-Консалтинг»;
Альт-Инвест, разработанный фирмой «Альт» и др.