Лекция № 15.
Финансы предприятий (организаций) - хозяйствующих субъектов представляют собой финансовые отношения, выраженные в денежной форме, возникающие при образовании, распределении и использовании денежных фондов и накоплений в процессе производства и реализации товаров, выполнения работ и оказания различных услуг.
Финансовые отношения предприятий (организаций) различаются по характеру и направленности. Внутри самих предприятий (организаций) финансовые отношения возникают, прежде всего, в процессе образования доходов, формирования и использования целевых фондов внутрихозяйственного назначения для удовлетворения потребностей производственного и потребительского назначения.
Между предприятиями-резидентами и нерезидентами происходит движение финансовых ресурсов. Финансовые отношения складываются при вложении средств в акции и облигации других предприятий и получении по ним дивидендов и процентов, движении экспортно-валютной выручки, уплате или получении штрафов в случае нарушения договорных обязательств, участии в распределении прибыли от кооперации производственных процессов и т. д.
|
|
|
Финансовые отношения с банками связаны главным образом с получением и погашением банковских ссуд, уплатой процентов по ним и предоставлением банками за определенную плату во временное пользование свободных денежных средств. Со страховыми компаниями финансовые отношения складываются при образовании и использовании различных страховых фондов.
Финансово-денежные отношения предприятий (организаций) с государством возникают в связи с формированием и использованием бюджетных и внебюджетных фондов и выражаются в форме платежей в бюджет и внебюджетные фонды различных уровней.
Кроме того, предприятия (организации) вступают в определенные финансовые отношения в пределах внутриотраслевого перераспределения финансовых ресурсов, т. е. так называемые «вертикальные» взаимосвязи.
Предметом изучения статистики финансов предприятий является количественная характеристика их финансово-денежных отношений с учетом их качественных особенностей, обусловленных образованием, распределением и использованием финансовых ресурсов, выполнением обязательств хозяйствующих субъектов друг перед другом, перед финансово-банковской системой и государством.
Основными задачами статистики финансов предприятий (организаций) являются:
· изучение состояния и развития финансово-денежных отношений хозяйствующих субъектов;
· анализ объема и структуры источников формирования финансовых ресурсов;
· определение направлений использования денежных средств;
|
|
|
· анализ уровня и динамики прибыли, рентабельности (доходности) предприятия (организации);
· оценка финансовой устойчивости и состояния платежеспособности;
· оценка выполнения хозяйствующими субъектами финансово-кредитных обязательств.
В статистике финансов предприятий (организаций) применяется система показателей, отражающих финансовое положение хозяйствующих субъектов, поступление, распределение и характер использования денежных средств, размеры и структуру задолженности, в том числе просроченной, и др. При статистическом изучении основных закономерностей финансового состояния предприятий (организаций) широко используются методы группировок, структурного анализа, регрессионного и корреляционного анализа, рядов динамики, индексный метод и др.
Наряду с абсолютным показателем объема прибыли в финансовой статистике широко применяется относительный показатель - рентабельность, который в общем виде характеризует прибыльность работы предприятия. Этот показатель представляет собой своего рода синтез различных качественных и количественных показателей: роста объема производства и производительности, снижения себестоимости и др. Различают три показателя рентабельности: общая рентабельность, рентабельность реализованной продукции, рентабельность капитала.
Общая рентабельность определяется по формуле
,
где
- общая сумма балансовой прибыли;
Ф - среднегодовая стоимость основных производственных средств, нематериальных активов и материальных оборотных средств.
Показатель рентабельности реализованной продукции отражает эффективность текущих затрат (в отличие от показателя общей рентабельности, характеризующего эффективность авансированного капитала) и исчисляется как отношение прибыли от реализации продукции к полной себестоимости реализованной продукции:
,
где
- прибыль от реализации продукции;
С - полная себестоимость реализованной продукции.
Рентабельность конкретного вида продукции зависит от цен на сырье, качества продукции, производительности труда, материальных и других затрат на производство. Рентабельность производственных фондов зависит не только от этих факторов, но и от эффективности использования производственного потенциала, результатов непромышленной деятельности. Следовательно, показатель, рентабельности реализованной продукции детализирует общий показатель, рентабельности.
Финансовая статистика предприятий (организаций) изучает состояние, динамику основного и оборотного капитала, эффективность его использования, а также обеспеченность запасами товарно-материальных ценностей в целом, по группам и источникам образования.
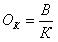
Деловая активность предприятия (организации) в финансовом отношении определяется с помощью показателя общей оборачиваемости капитала, который определяется по формуле:

где В - выручка от реализации продукции;
К - капитал предприятия (организации): основной капитал, материальные оборотные средства, нематериальные активы, фонды обращения.
Общая оборачиваемость капитала может увеличиваться в результате не только ускорения кругооборота имущества предприятия (организации), но и относительного уменьшения капитала в анализируемом периоде, роста цен из-за инфляции.
Наряду с индексным методом для анализа прибыли и рентабельности в целом по экономике или по отдельным отраслям, а также для определения группы убыточных предприятий, доля которых в переходный период весьма значительна, широко применяется метод группировок.
В условиях рыночной экономики важное значение имеет анализ финансовой устойчивости предприятия (организации). Под финансовой устойчивостью понимается способность хозяйствующего субъекта своевременно из собственных средств возмещать затраты, вложенные в основной и оборотный капитал, нематериальные активы, и расплачиваться по своим обязательствам, т. е. быть платежеспособным. Для оценки изменения устойчивости положения хозяйствующего субъекта применяются коэффициент автономии, коэффициент соотношения заемных и собственных средств, коэффициент маневренности, коэффициент ликвидности и др. Коэффициент автономии показывает степень независимости финансового состояния предприятия от заемных источников. Он определяется по формуле
|
|
|
,
где Сс - собственные средства;
Ss - сумма всех источников финансовых ресурсов.
Рост коэффициента автономии свидетельствует об уменьшении финансовых затруднений в будущем и увеличении собственных резервов для погашения финансовых обязательств предприятия (организации). Исходя из практического опыта, если КА > 0,6, то хозяйствующий субъект в состоянии все платежи произвести за счет, прежде всего собственных средств.
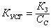
Коэффициент соотношения собственных и заемных средств (коэффициент финансовой устойчивости) используется в том случае, если необходимо определить, может ли предприятие (организация) привлекать в хозяйственный оборот чужие источники (заемные средства). Коэффициент устойчивости определяется по формуле
,
где К3 - кредиторская задолженность и другие заемные средства (без кредитов банков и займов).
Оптимальным считается вариант, если Куст = 1.
Если Куст > 1, то собственных средств явно недостаточно для покрытия чужих средств.
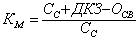
Коэффициент маневренности отражает, в какой степени предприятие способно маневрировать собственными средствами в мобильной форме. Этот коэффициент рассчитывается по формуле (7.6).
,
где ДКЗ - долгосрочные кредиты и займы;
ОСВ - основные средства и иные внеоборотные активы (нематериальные активы, долгосрочные финансовые вложения, расчеты с учредителями и прочие внеоборотные активы).
Рост коэффициента маневренности в динамике означает, что финансовое состояние хозяйствующего субъекта стабильно.
|
|
|
Для прогнозирования платежеспособности предприятия (организации) с учетом своевременных расчетов с дебиторами определяется коэффициент общей ликвидности:
,
(7.7)
где ДСА - денежные средства, вложения в ценные бумаги, запасы товарно-материальных ценностей, дебиторская задолженность;
КЗ - краткосрочная задолженность.
Снижение коэффициента ликвидности означает, что даже при условии своевременного проведения расчетов с дебиторами платежеспособность предприятия (организации) ухудшилась.
В дополнение к коэффициенту ликвидности обычно рассчитывается коэффициент абсолютной ликвидности:
,
где Анл - наиболее ликвидные активы (денежные наличные средства, в пути, на счетах и краткосрочные финансовые вложения, например в ценные бумаги).
Коэффициент абсолютной ликвидности показывает, какую часть краткосрочной задолженности способно предприятие погасить в ближайшее время.
Оценка финансового положения предприятия (организации) не может быть полной без анализов размеров и структуры дебиторской и кредиторской задолженности.
Дебиторская задолженность - задолженность по расчетам с покупателями за товары, работы и слуги, с бюджетом, с дочерними предприятиями и с другими дебиторами (например, задолженность подотчетных лиц, авансы, выданные поставщикам и подрядчикам).
При превышении дебиторской задолженности над кредиторской следует привлекать дополнительные денежные средства, поэтому из общей дебиторской задолженности отдельно учитывается задолженность свыше 3 месяцев. Из общей задолженности покупателей указывается задолженность по векселям полученным и задолженность государственных заказчиков по оплате за поставленную продукцию.
При проведении статистического анализа дебиторской задолженности прежде всего рассчитывается коэффициент оборачиваемости дебиторской задолженности коэффициент среднего срока одного оборота. Коэффициент оборачиваемости дебиторской задолженности определяется по формуле:

где В - выручка от реализации;
ДЗ - дебиторская задолженность (средняя за рассматриваемый период).
Снижение коэффициента оборачиваемости дебиторской задолженности означает ухудшение состояния расчетов с покупателями.
Коэффициент среднего срока одного оборота (среднего периода погашения дебиторской задолженности) определяется как отношение календарных дней периода к коэффициенту оборачиваемости дебиторской задолженности. Сокращение времени погашения дебиторской задолженности свидетельствует о положительных тенденциях в финансовом состоянии предприятия (организации).
Кредиторская задолженность - задолженность по расчетам с кредиторами за товары, работы и услуги, с дочерними предприятиями, с рабочими и служащими по оплате труда, с бюджетными и внебюджетными фондами, с подрядчиками и поставщиками за поступившие материальные ценности и с другими кредиторами.
Из всей суммы кредиторской задолженности указывается задолженности длительностью свыше 3 месяцев, а также по направлениям: поставщикам за товары (работы, услуги), бюджету (в том числе федеральному) и т. д.
Для определения оборачиваемости кредиторской задолженности также применяются коэффициенты оборачиваемости и среднего срока оборота. Схема расчета аналогична ранее рассмотренной (в знаменателе формулы, естественно, указывается сумма кредиторской задолженности). Увеличение коэффициента оборачиваемости кредиторской задолженности свидетельствует об ускорении погашения задолженности хозяйствующим субъектом (то же самое означает, если уменьшается период погашения кредиторской задолженности).
В переходный период особо актуальным является вопрос о просроченной задолженности, не погашенной в установленные договором сроки, в частности, о просроченной задолженности по выдаче заработной платы.
К показателям, влияющим на финансовые процессы и финансовое состояние хозяйствующих субъектов, относится и оборачиваемость оборотных средств по числу оборотов и среднему сроку одного оборота. Этот показатель характеризует скорость движения оборотных средств предприятий и организаций в процессе воспроизводства. Он определяется по формуле.
,
где Ко - коэффициент оборачиваемости; показывает число оборотов, совершаемых оборотными средствами за рассматриваемый период (месяц, квартал, год);
Тс - объем товарной продукции;
Со - средний остаток оборотных средств, участвующих в обороте.
Оборачиваемость оборотных средств исчисляется как в целом по их сумме, так и по отдельным элементам (материальные запасы, незавершенное производство, расходы будущих периодов, готовая продукция). Это позволяет выявить, на какой стадии кругооборота оборотных средств происходит ускорение или замедление общей оборачиваемости средств.
Следует иметь в виду неоднозначность воздействия динамики оборачиваемости оборотных средств на финансовые процессы, например, в условиях стагфляции ускорение оборачиваемости может подстегнуть инфляцию.
Комплексный анализ на основе системы показателей финансовой статистики предприятий (организаций) позволяет хозяйствующим субъектам, во-первых, всесторонне характеризовать состояние и потребность в денежных средствах, а во-вторых, прогнозировать финансовую стратегию в условиях рыночной экономики.