Транспортная логистика.
Транспорт – отрасль материального производства, осуществляющая перевозки пассажиров и грузов. В структуре общественного производства транспорт относится к сфере производства материальных услуг. С точки зрения изучения эффективности работы отдельных видов транспорта интерес представляют перевозки грузов между пунктами отправления и назначения. Однако с позиции организации перевозок целесообразно анализировать весь процесс перевозки в целом от двери грузоотправителя до двери грузополучателя. Если же учитывать интересы клиентуры, то здесь необходимо принимать в расчет не только перевозку на магистральных видах транспорта, но и обработку, хранение, упаковку и распаковку, подачу материалов к станкам в цехе и все связанные с этим процессы информации, сопровождающие материальный поток. Такой подход способствует оптимальному выбору транспортных услуг, ибо качество перевозок как цравило, в большей мере отражается на общих расходах, чем себестоимость перевозок.
Развитие логистики в нашей стране оказало существенное влияние на транспортную политику и структурные изменения в характере деятельности предприятий данной отрасли, которая в конце 1970-х гг. превратилась в своего рода «узкое» место в экономике промышленно развитых стран. Как выход из создавшейся ситуации был воспринят переход от жесткого государственного контроля к дерегулированию транспорта. Принятые решения законодательного характера создали возможности на всех видах транспорта образовывать новые компании и свободно устанавливать тарифы. В целях достижения синхронизации работы транспорта и производства в хозяйственной деятельности фирм широко применяются принципы «от двери до двери» и «точно в срок». Политика дерегулирования транспорта и реализация этих принципов способствовали расширению сферы его деятельности.
В логистических системах, работающих по принципу «точно в срок», основной фактор, обеспечивающий эффективную работу на линиях снабжения и сбыта товарно-материальных ценностей, – это новые услуги транспортных компаний по сбору и распределению грузов. Такие услуги транспортных предприятий обеспечивают ускорение перевозки на большие расстояния и часто исключают звенья, существующие в традиционных системах комплектования грузов. В результате транспортные услуги становятся менее дорогостоящими и обеспечивают более высокое качество работы, чем при конкурирующих способах распределения. Кроме того, компании, пользующиеся новыми методами, извлекают прямые выгоды: уменьшается продолжительность транспортного потока.
На современном этапе развития российской экономики усовершенствования в сфере производства, распределения, реализации, потребления, в финансово-кредитной системе и других областях не приведут к реальным успехам, если с опережением не будет усовершенствована транспортная отрасль.
В соответствии с этим опережающее развитие транспортного комплекса является ключевым фактором снижения транспортных издержек в экономике, а также условием обеспечения социальной стабильности и международной экономической интеграции.
Развитие транспортной системы страны направлено на:
- содействие обеспечению территориальной транспортной доступности на уровне, гарантирующем экономическую целостность государства и социальную стабильность;
- развитие недостаточно освоенных территорий', интенсификацию общественного производства, решение социальных проблем населения, ускорение экономической и политической интеграции страны, развитие федеральных принципов государственного устройства;
- создание условий для обеспечения конституционных прав граждан на свободу передвижения, определение в качестве важнейшего приоритета соблюдения интересов пользователей дорог;
- содействие обеспечению оптимальных транспортных условий для внешней торговли;
- усиление координации в развитии транспортной инфраструктуры, содействие интеграции транспортных и производственно-распределительных процессов, созданию мультимодальных перевозочных систем и систем товарораспределения, основанных на принципах логистики;
- обеспечение стратегических и оборонных интересов российского государства, экономической безопасности страны;
- снижение отрицательных воздействий на окружающую природную среду и повышение безопасности дорожного движения.
Основными задачами по реализации государственной дорожной политики в России являются:.
- приоритетное финансирование модернизации опорной дорожной сети, ремонта и содержания дорог;
- повышение качества дорожных работ на основе внедрения новейших достижений научно-технического прогресса, опережающего развития дорожно-строительной индустрии, в том числе с привлечением к решению этой проблемы предприятий оборонной промышленности;
- совершенствование рынка дорожных работ;
- развитие сети местных автомобильных дорог для связи населенных пунктов с дорожной сетью общего пользования, решение социальных проблем сельского населения;
- внедрение эффективной системы управления дорожным хозяйством на федеральном и региональном уровне;
- повышение ответственности территориальных органов управления за решение задач по развитию транспортной сети;
- координации деятельности федеральных и территориальных органов управления автомобильными дорогами;
- использование методов перспективного и оперативного планирования на основе анализа эксплуатационного состояния транспортной сети.
Очень важным является логистический подход к ресурсному обеспечению дорожно-транспортного комплекса. Это объясняется следующими причинами. Во-первых, интегрированный инструментарий логистики, синтезирующий методологию общей теории систем, системотехники, кибернетики, маркетинга, менеджмента и других научных дисциплин, позволяет комплексно решать проблемы организации движения на всей протяженности материальных потоков. Во-вторых, логистика создает условия для снятия противоречий между различными отраслями и видами деятельности в сфере дорожного хозяйства, так как предполагает сопряжение экономических интересов всех участников логистических цепей и систем. В-третьих, логистика обладает мощным ресурсосберегающим потенциалом, ибо системно подходит к организации не только материальных, но и других экономических потоков в процессе; строительства, реконструкции, ремонта и содержания автомобильных дорог. Логистику дорожного хозяйства можно определить как совокупность инструментов, форм, методов и процессов ресурсного обеспечения строительства, реконструкции, ремонта и содержания автомобильных дорог, организованного как целостная, иерархическая структурированная система, являющаяся- подсистемой общей системы управления дорожным хозяйством.
Условно можно выделить три основные сферы логистизации в дорожном хозяйстве:
1) рынок материально-технических ресурсов, на котором осуществляются их закупки для нужд дорожного хозяйства;
2) производство работ в дорожном хозяйстве (строительство, реконструкция, ремонт и обслуживание дорог), где выделяются два комплекса логистических операций;
- транспортировка и хранение материально-технических ресурсов, что при логистической организации принимает форму транспортно-складской логистики;
- производственное потребление материально-технических ресурсов, включая производственно-технологическую комплектацию и утилизацию отходов производства, что при логистической организации принимает форму производственной логистики;
3) эксплуатация дорог, когда формируются ресурсные потоки, вызванные развитием дорожного сервиса, логистическая организация которых выступает в форме сервисной логистики.
В результате логистика дорожного хозяйства представляет собой интегрированную форму закупочной, транспортно-складской, производственной и сервисной логистики, которую можно рассматривать как функциональную дифференциацию логистической организации ресурсного обеспечения дорожного хозяйства.
Повышение эффективности перевозок связано с техническим усовершенствованием подвижного состава транспорта и погрузочно-разгрузочных средств, с внедрением прогрессивной технологии, совершенствованием организации перевозки грузов. Технические усовершенствования позволяют увеличить скорость движения подвижного состава, сократить простои под погрузочно-разгрузочными операциями, увеличить объем партии перевозимого груза и т.д. Задача технологии – сократить продолжительность и трудоемкость перевозки груза в результате уменьшения числа выполняемых операций и этапов процесса перевозки.
Под технологией процесса перевозки груза понимается способ реализации конкретного перевозочного процесса путем расчленения его на систему последовательных взаимосвязанных этапов и операций, которые выполняются более или менее однозначно и имеют целью достижение высокой эффективности перевозок.
Задача технологии – исключить из процесса перевозки ненужные операции, сделать его целенаправленнее. Сущность технологии перевозки грузов выявляется через два основных понятия – этап и операция. Этап – это набор операций, с помощью которых осуществляется тот или иной процесс. Операция – однородная, логистически неделимая часть процесса перевозки, направленная на достижение определенной цели, выполняемая одним или несколькими исполнителями.
Технологию процесса перевозки груза характеризуют такие признаки, как расчленение процесса перевозки; координация и поэтапность; однозначность действий. Любая операция означает приближение объекта управления к поставленной цели и обеспечивает переход от одной операции в другую; Последняя операция этапа должна быть своеобразным введением к первой операции следующего этапа. Чем точнее описание процесса перевозки грузов соответствует его субъективной логике, тем большая вероятность повышения эффективности деятельности людей, занятых в нем.
Координация и поэтапность действий, направленных на достижение поставленной конкретной цели, должны базироваться на внутренней логике функционирования и развития определенного перевозочного процесса.
Каждая технология должна предусматривать однозначность действий при выполнении включенных в нее этапов и операций. Отклонение выполнения одной операции отражается на всей технологической цепочке. Чем значительнее отклонение параметров от запроектированных технологий, тем больше опасность нарушить весь процесс перевозки груза и получить результат, не соответствующий проекту.
Прежде всего, определяется общая технология процесса перевозки грузов, а потом отдельных этапов. После разработки технологии этапов результаты необходимо рассмотреть с позиции технологического единства.
Перевозочный процесс можно представить в виде определенной подсети. Политика контроля и управления в такой системе моделируется синхронизацией позиций на каждой стадии (в каждом звене). В свою очередь, составляющие элементы перевозки характеризуются определенными, присущими только им закономерностями. Операции, из которых складывается процесс перевозки, неоднородны и весьма отличаются своей продолжительностью. Совокупность некоторых операций образует определенные этапы этого процесса, на каждом из которых/решаются те или иные задачи. Как отдельные one-рации, так и этапы процесса перевозки находятся в зависимости друг от друга (прежде чем транспортировать груз, его надо погрузить и т.д.). Таким образом, процесс транспортировки является многоэтапным и многооперационным. Отдельные его этапы часто можно характеризовать как самостоятельные.
На рис. 5.1 и рис. 5.2 показаны схемы процессов перевозки грузов. Они имеют циклический характер. Это значит, что перемещение грузов совершается повторяющимися производственными циклами, следующими один за другим. Ритм этих циклов определяется их частотой, которая, в свою очередь, зависит от средней продолжительности одного цикла. Каждый цикл отличается высокой степенью динамизма, непрерывной сменой состояния и изменением состава элементов. Циклы отдельных перевозок колеблются во времени. Однако они всегда имеют начало и конец. Каждый повторяющийся цикл перевозки слагается из многих отдельных этапов, находящихся в тесной взаимосвязи и одинаково направленных, так как их конечная цель – достичь пространственной смены положения грузов. Комплекс этих циклов, слагающихся в цикл перевозки, создает перевозочный процесс.
Анализ схем показывает, что в любом процессе перевозки есть этапы, присущие только грузу, только подвижному составу, но есть и совместные этапы. К ним относятся этап погрузки, транспортирования и разгрузки. Различают этапы – подача подвижного состава под погрузку, подготовка груза к отправке, хранение груза в пункте производства и промежуточных пунктах, складирование, экспедиторские операции и т.д. В автотранспортных предприятиях на первый план выдвигаются вопросы улучшения использования подвижного состава, сокращения времени его оборота.
Процесс перевозки – совокупность операций от подготовки груза к отправлению до его получения, связанных с перемещением груза в пространстве без изменения его геометрических форм, размеров и физико-химических свойств (этапы 1 – 2 – 3 – 4 – 5 на рис, 5.1 или этапы 1 – 2 – 3 – 4 – 5 – 6 – 7 на рис. 5.2),
Процесс перемещения – совокупность погрузочных операций в пункте погрузки, перегрузочных операций в пунктах передачи груза с одного вида транспорта на другой, промежуточного его хранения, транспортирования и разгрузочных операций в пункте разгрузки (этапы 2 – 3 – 4 на рис. 5.1 или этапы 2 – 3 – 4 – 5 – 6 на рис. 5.2).
Транспортный процесс – это совокупность операций погрузки в погрузочном и перегрузочном пунктах,, транспортирования, разгрузочных операций в пунктах передачи груза с одного вида транспорта на другой и пункте разгрузки и подачи подвижного состава под погрузку (этапы 2 – 3 – 4 –6 на рис. 5.1; этапы 2 - 3 – 4 – 8 и 4 – 5 – 6 –9 на рис. 5.2).

Рис. 5.1. Технологическая схема процесса перевозки грузов одним видом транспорта

Рис. 5.2. Технологические схемы процесса перевозки грузов различными видами транспорта
Цикл транспортного процесса – производственный процесс по перевозке груза, который охватывает этапы подачи подвижного состава под погрузку, транспортирование и разгрузку. Законченный цикл транспортного процесса называется также ездкой (этапы 2 – 3 – 4 – 6 на рис. 5.1; этапы 2 – 3 – 4 – 8 или 4 – 5 – 6 – 9 на рис. 5.2).
Операция перемещения – часть процесса перемещения грузов, выполняемая с помощью одного механизма или системы совместно действующих механизмов или вручную.
Транспортирование – операция перемещения груза по определенному маршруту от места погрузки до места разгрузки или перегрузки (этап 3 рис. 5.1 или этапы 3 и 5 рис. 5.2).
Транспортная продукция – масса груза в натуральном выражении, доставленная от места производства до места потребления. Опыт по организации перевозок показывает, что не весь груз, погруженный в пункте производства на подвижной состав, доставляется до места его потребления. Причина тому – потери груза, порча, естественная убыль и пр.
Логистический подход к организации автомобильных перевозок включает новое методологическое содержание, заключающееся в том,.что основной составляющей частью перевозок должно стать проектирование оптимального (рационального) перевозочного процесса. Под этим понимается поиск наилучших организационных и технически возможных решений, обеспечивающих максимальную эффективность перевозки грузов от места их производства до места потребления. Следует отметить, что понятие «проектирование», означающее выбор задуманного предначертания, представляется правомерным относить к процессу создания не только технических средств, но и транспортной продукции.
На рис. 5.3 показана принципиальная схема организации перевозки груза.
На рис. 5.3 приняты следующие обозначения:
I – грузообразующий пункт;
II – грузопоглощающий пункт;
III – перевозочный комплекс;
W(t) – грузопоток перевозочного комплекса;
Wq – транспортная продукция;
Wr – потребности грузополучателя;
W – плановая провозная возможность перевозочного комплекса;
Wk – фактическая провозная возможность перевозочного комплекса;
О1, O2, О3 – операторы.
Под грузообразующими пунктами понимаются предприятия и организации всех отраслей народного хозяйства, с которых вывозятся их продукция и отходы.
Под грузопоглощающими пунктами понимаются предприятия и организации всех отраслей народного хозяйства, на которые завозятся сырье, топливо, материалы, готовая продукция и другие грузы, необходимые для их нормальной производственной деятельности.

Рис. 5.З. Схема организации перевозки груза
Расположение грузообразующих и грузопоглощающих пунктов определяется, с одной стороны, природными условиями, а с другой – более или менее случайными факторами.
Одно и то же предприятие может одновременно быть грузообразующим и грузопоглощающим пунктом. Так, предприятие, вывозящее готовую продукцию, является грузообразующим пунктом, а ввозящее сырье, материалы, комплектующие изделия, покупные полуфабрикаты, запчасти – грузопоглощающим.
В данной принципиальной схеме можно выделить два аспекта, В соответствии с первым количество груза, доставленного грузополучателю Wq, должно соответствовать грузопотоку перевозочного комплекса W(t). Разница между входом и выходом ΔW = W(t) – Wq подается по цепи обратной связи на грузообразующий пункт и через оператора O1 изменяет плановую величину провозной возможности перевозочного комплекса. Оператор О1 у приводит в соответствие связь между грузопотоком и провозной возможностью перевозочного комплекса. Планируемая величина его провозной возможности W, в свою очередь, преобразуется в действительную провозную возможность Wk с помощью оператора О2
Второй аспект отражает изменения в объеме перевозок, связанные со спросом получателя на данную продукцию (груз). Свои потребности он подает в виде заказов по другой цепи связи на грузообразующий пункт и на перевозочный комплекс. Изменение потребности получателя в данном грузе влияет на действительную провозную возможность, что отражается прежде всего на выходе системы. Это действие выполняется оператором O3
Независимыми переменными будут являться производительность грузообразующего пункта и потребность получателя, которые могут принимать произвольные значения.
По назначению выделяют следующие виды транспорта:
1. Транспорт, обслуживающий сферу обращения. Он продолжает производственный процесс в сфере обращения и включает железнодорожный, морской/речной, автомобильный, воздушный, трубопроводный.,
2. Универсальный транспорт – осуществляет как грузовые, так и пассажирские перевозки. К нему относят железнодорожный, морской, речной, автомобильный и воздушный виды транспорта.
3. Специальный транспорт – предназначен для доставки только определенных грузов. Это нефте- и продуктопроводы и универсальные трубопроводы.
4. Транспорт общего пользования – выполняет перевозки грузов и пассажиров. Состоит из универсальных и специальных видов транспорта.
5. Ведомственный транспорт – принадлежит определенным министерствам и ведомствам, а также их предприятиям и выполняет перевозки, необходимые этим сферам.
6. Промышленный транспорт – транспорт внутрипроизводственной сферы. Делится на внутренний и внешний. Внутренний транспорт обеспечивает перевозки в пределах одного предприятия, а внешний находится на стыке с транспортом общего пользования.
7. Городской транспорт – комплекс различных видов универсального транспорта общего пользования.
8. Магистральный транспорт – универсальный и специальный транспорт общего пользования, связывающий между собой крупные города, промышленные центры и экономические районы.
9. Транспорт местного значения – звенья универсального транспорта, обслуживающего местные перевозки грузов и пассажиров.
Как видно, транспортная логистика не охватывает все проблемы транспортировки. Так, организация перемещения грузов внутренним промышленным транспортом является предметом изучения внутрипроизводственной логистики, а задача выбора каналов товародвижения решается в области распределительной логистики.
Предмет транспортной логистики
Предмет транспортной логистики – комплекс задач, связанных с организацией перемещения грузов транспортом общего назначения. При этом следует выделить следующие задачи транспортной логистики:
- выбор вида транспортного средства;
- выбор типа транспортного средства;
- совместное планирование транспортного процесса со складским и производственным процессами;
- совместное планирование транспортных процессов на различных видах транспорта в случае смешанных перевозок;
- обеспечение технологического единства транспортно-складского процесса;
- разработка рациональных маршрутов доставки.
В процессах осуществления закупок и доставки материальных ресурсов, а также дистрибьюции готовой продукции потребителям фирма-производитель может использовать различные варианты транспортировки, виды транспорта, а также различных логистических партнеров (посредников) в организации доставки продукции к конкретным пунктам логистической цепи. Прежде всего логистический менеджмент фирмы должен решить вопрос, создавать ли свой парк транспортных средств или использовать наемный транспорт (общего пользования или частный). При выборе альтернативы обычно исходят из определенной системы критериев, к которым относятся:
- затраты на создание и эксплуатацию собственного парка транспортных средств (аренду, лизинг подвижного состава);
- затраты на оплату услуг транспортных, транспортно-экспедиционных фирм и других логистических посредников в транспортировке;
- скорость (время) транспортировки;
- качество транспортировки (надежность доставки, сохранность груза и т.п.).
Создание собственного парка связано с большими капитальными вложениями в подвижной состав, производственно-техническую базу для обслуживания и ремонта транспортных средств и транспортную инфраструктуру. В конечном итоге оно может быть оправдано в случае получения значительного выигрыша в качестве, надежности и себестоимости перевозок при больших устойчивых объемах перевозимых грузов. Как правило, это относится к парку автомобильных транспортных средств. Однако в любом случае оценка альтернатив должна проводиться комплексно с учетом возможно большего числа критериев. Во многих случаях фирмы-производители прибегают к услугам специализированных транспортных фирм, и это представляется весьма перспективным.
Центральное место среди многих логистических вариантов принятия решений по транспортировке занимает выбор перевозчика (или нескольких перевозчиков). Часто эта процедура доверяется логистическим менеджером транспортно-экспедиционной фирме, с которой у грузовладельца имеются установившиеся деловые отношения. При этом до экспедитора доводятся определенные характеристики груза, критерии и ограничения. Исходя из особенностей логистического подхода, в выборе перевозчика предприятие должно руководствоваться не только принципами минимальных тарифов. Существует также ряд критериев, которые оказывают большое влияние на стоимость и качество доставки грузов, при этом они ранжируются в зависимости от важности каждого из них для заказчика. Естественно, что на конкретных предприятиях данные критерии и их ранжирование различаются. Наиболее часто встречающиеся критерии приведены в табл. 5.1, При анализе данных критериев стоит задача выявить и правильно оценить все явные и неявные издержки. Иногда незначительный выигрыш в ставке фрахта приводит к достаточно серьезным последующим потерям из-за невыполнения сроков доставки.
Специалисты, принимающие решения на предприятии при выборе способа транспортировки и перевозчика, должны руководствоваться принципами взаимосогласованного сотрудничества между производством, распределением и транспортом, позволяющими получить дополнительный совокупный экономический эффект.
Таблица 5.1 Ранжирование критериев при выборе перевозчика

Дополнительными услугами, оказываемыми клиенту, как правило, являются:
- получение документов для экспорта-импорта грузов;
- выполнение таможенных формальностей;
- проверка количества и состояния груза;
- погрузка-разгрузка транспортных средств;
- уплата пошлин, сборов и других расходов, связанных с транспортировкой;
- хранение, складирование, сортировка, комплектация груза;
- информационные услуги, страхование и т.п.
Возможно, наиболее приемлемый вариант – использование возможностей транспортно-экспедиционных фирм, которые, по существу, интегрируют большое количество элементарных логистических активностей в комплексные и ключевые.
Многие крупные транспортно-экспедиционные фирмы выполняют большое количество различных логистических операций и функций. Они, как правило, стремятся охватить как можно большее количество или протяженность логистических каналов производителей, интегрируя логистические действия в определенной территориальной зоне или по признаку продуктовой ориентации. Это позволяет фирмам-производителям и грузоотправителям значительно сократить расходы, связанные с транспортировкой, грузопереработкой, хранением, улучшить качество логистического сервиса.
Задача выбора вида транспорта решается во взаимной связи с другими задачами логистики, такими, как создание и поддержание оптимального уровня запасов, выбор вида упаковки и др.
Основой выбора вида транспорта, оптимального для конкретной перевозки, служит информация о характерных особенностях различных видов транспорта.
Рассмотрим основные преимущества и недостатки автомобильного, железнодорожного, водного и воздушного транспорта, существенные с точки зрения логистики.
Автомобильный транспорт. Традиционно используется для перевозок на относительно короткие расстояния, Одно из основных преимуществ – высокая маневренность. С помощью автомобильного транспорта груз может доставляться «от дверей до дверей» с необходимой степенью срочности. Этот вид транспорта обеспечивает регулярность поставки, а также возможность поставки малыми партиями. Здесь, по сравнению с другими видами, предъявляются менее жесткие требования к упаковке товара, имеет место упрощенное оформление документов, действует более гибкая система платежей за перевозки.
Основным недостатком автомобильного транспорта является сравнительно высокая себестоимость перевозок, плата обычно взимается по максимальной грузоподъемности автомобиля. К другим недостаткам этого вида относят также срочность разгрузки, возможность хищения груза и угона автотранспорта, сравнительно малую грузоподъемность. Автомобильный транспорт экологически неблагоприятен, что также сдерживает его применение.
Железнодорожный транспорт. Этот вид транспорта хорошо приспособлен для перевозки различных партий грузов при любых погодных условиях. Железнодорожный транспорт обеспечивает возможность сравнительно быстрой доставки груза на большие расстояния. Перевозки регулярны. Здесь можно эффективно организовать выполнение погрузочно-разгрузочных работ.
Существенное преимущество железнодорожного транспорта – это сравнительно невысокая себестоимость перевозки грузов.
К недостаткам железнодорожного транспорта следует отнести невысокую скорость доставки грузов, ограниченное количество перевозчиков, а также низкую возможность доставки непосредственно к пунктам потребления. При отсутствии подъездных путей железнодорожный транспорт должен дополняться автомобильным.
Морской транспорт. Выполняет функции самого крупного перевозчика в международных перевозках. Его основные преимущества – низкие грузовые тарифы и высокая провозная способность. При перевалке грузов по схеме «борт – борт» этот транспорт освобождается от портовых сборов за хранение, что имеет большое значение для экспортных перевозок.
К недостаткам морского транспорта относят его низкую скорость, жесткие требования к упаковке и креплению грузов, малую частоту отправок. Морской транспорт существенно зависит от погодных и навигационных условий и требует создания сложной портовой инфраструктуры.
Внутренний водный транспорт. Для него характерны низкие грузовые тарифы. При перевозках грузов весом более 100 т на расстояние более 250 км этот вид транспорта – самый дешевый.
К недостаткам внутреннего водного транспорта, кроме малой скорости доставки, относят также низкую доступность в географическом плане. Это обусловлено ограничениями, которые накладывают конфигурация водных путей, неравномерность глубин и меняющиеся навигационные условия.
Воздушный транспорт. Основные преимущества – наивысшая скорость, возможность попасть в отдаленные районы, высокая сохранность грузов.
К недостаткам относят высокие грузовые тарифы и зависимость от 'метеоусловий, которая снижает надежность соблюдения графика поставки.
Трубопроводный транспорт. Обеспечивает низкую себестоимость при высокой пропускной способности. Степень сохранности грузов высокая.
Недостатком трубопроводного транспорта является узкая номенклатура подлежащих транспортировке грузов (жидкости, газы, эмульсии).
Выделяют ряд основных факторов, влияющих на выбор вида транспорта. В табл. 5.2 дается оценка различных видов транспорта общего пользования по каждому из этих факторов, Единице соответствует наилучшее значение. Экспертная оценка значимости различных факторов показывает, что при выборе транспорта, в первую очередь, принимают во внимание надежность соблюдения графика доставки; время доставки; стоимость перевозки.
Следует отметить, что данные табл. 5.2 могут служить лишь для приблизительной оценки степени соответствия того или иного вида транспорта условиям конкретной перевозки. Правильность сделанного выбора должна быть подтверждена технико-экономическими расчетами, основанными на анализе всех расходов, связанных с транспортировкой различными видами транспорта.
Крупные российские компании при выборе перевозчика прибегают к услугам транспортно-экспедиционных фирм, предлагающих широкий спектр услуг по доставке грузов, причем прослеживается тенденция передачи экспедиционным фирмам не только функций по доставке и распределению продукции, но и по хранению, что позволяет отказаться от собственных складских комплексов. К тому же все возрастающая конкуренция непосредственно среди экспедиционных компаний заставляет их совершенствовать формы своей работы, применять новые логистические технологии, непрерывно обучать персонал и улучшать качество обслуживания.
Таблица 5.2 Факторная оценка различных видов транспорта (место в рейтинге)

Современная логистическая концепция управления перевозками грузов привела к тому, что целью взаимодействия между продавцами и экспедиторами становится не извлечение максимальной прибыли для каждого участника в отдельности, а ее совокупная максимизация и договорное распределение (либо прямое, либо косвенное – через тарифы).
Остановимся на наиболее важных аспектах исследования операций в транспортной логистике.
Транспортная задача. Транспортные задачи наиболее часто приходится решать в условиях ограничения материальных, финансовых, временных и прочих ресурсов в логистических системах. В практическом плане деятельность логистических предприятий ограничивается транспортно-складской сферой, областью товародвижения и касается следующих функций:
- содержание складов с различными функциями и оборудованием;
- осуществление растаможивания при международных перевозках;
- формирование и разделение сборных партий грузов, распределительные перевозки грузов;
- создание и эксплуатация автоматизированных систем обработки данных для складского хранения, расчета затрат, расположения и оперативного управления товарами.
Транспортная задача в общем виде охватывает все типы транспортных перевозок.
В практическом плане требуется их конкретизация применительно к определенным условиям. Данная задача может быть сформулирована следующим образом.
Однородный продукт, находящийся в m пунктах производства (хранения) в количестве Р1,..., Рi,.... Рm, требуется доставить в n пунктов потребления, в которых потребность в данном продукте составляет S1,..., Sj,..., Sn. Предполагается баланс поставляемого продукта и потребности в нем:

Введем следующие обозначения:
Сij – затраты на перевозку единицы продукта из пункта производства (хранения) i в пункт потребления j;
Xij – количество продукта, поступающего из пункта производства (хранения) i в пункт потребления j
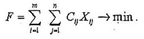
Требуется определить объемы перевозок и маршруты таким образом, чтобы сумма всех транспортных расходов была минимальной. Целевая функция имеет следующий вид:

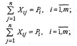
Модель типовой транспортной задачи включает следующие ограничения:
1. Равенство объемов производства (хранения) и отправляемого потребителям продукта в каждом пункте производства (хранения):

2. Равенство потребностей и объемов получаемого продукта в каждом пункте потребления:

Подобная задача встречалась в традиционном процессе материально-технического снабжения при планировании прикрепления поставщиков к потребителям или распределения продукции предприятий-поставщиков между предприятиями-потребителями.
Транспортная задача с временным ограничением. Исходя из парадигмы логистики (нужный товар нужного качества в нужном месте и в нужное время), достаточно часто в транспортной задаче главным становится временной критерий. Это ведет к изменению целевой функции задачи. Такова ситуация, например, при перевозке скоропортящихся продуктов. В этом случае наилучшим планом перевозок будет тот, при котором время окончания всех перевозок минимально. Подобная задача именуется транспортной задачей по критерию времени.
Имеются m пунктов отправления продукции с запасами Р1,..., Рi,..., Рm и n пунктов назначения с потребностями S1,..., Sj,..., Sn. Баланс перевозок

Введем обозначения:
Xij - объемы перевозок продукта из пункта i в пункт j;
Tij - время перевозок продукта из пункта i в пункт j. Предполагается что tij не зависят от перевозимого груза Xij, т. е. количество транспортных средств всегда достаточно для осуществления любого объема перевозок.
Требуется определить объемы перевозок Хij таким образом, чтобы не только выполнялись балансовые условия:

но и было минимизировано время окончания всех перевозок Т.
Главным в данной модификации транспортной задачи является выражение времени T через времена tij и перевозки Xij. Так как все перевозки заканчиваются в момент, когда завершается самая длительная из них, то время Т есть максимальное из всех времен tij, отражающих длительность нулевых перевозок:

Требуется найти такой план перевозок Xij, для которого время Т минимально:

В данном случае величина T не является линейной функцией переменных Xij, а потому поставленная задача не может быть решена в рамках линейного программирования. Правда, ее можно свести к решению задач линейного программирования, но не одной, а нескольких.
Исходя из принципов интегральной логистики, следует отметить международный аспект современной транспортной задачи. Опыт ряда стран свидетельствует о том, что благодаря выгодному географическому положению своих территорий они давно используют транзит в качестве существенного источника доходов.
Существует концепция «транспортных узлов» и «транспортных коридоров». В ее основе лежит необходимость концентрации транспортных потоков на относительно узком географическом направлении, сосредоточение перевалки грузов в терминальных транспортных узлах, расположенных друг от друга на оптимальном с точки зрения эффективности использования автомобильного транспорта расстоянии.
Для России в настоящее время экономически целесообразно развитие транспортных коридоров, так как это интенсифицирует использование транзитного потенциала страны, освоение растущих мировых грузопотоков. Стратегически важными являются Транссибирский коридор и мультимодальный транспортный коридор (МТК) «Север – Юг». Не менее перспективны с точки зрения включения России в общемировую транспортную сеть трасса Северного морского пути, паромные линии на Балтике, коридор для доставки грузов с Тихоокеанского побережья США в Северный Китай через российские порты Приморья и др. В систему международных транспортных коридоров входят также экспортные и транзитные магистральные трубопроводы, Наряду с сухопутными и водными коммуникациями значительным транспортным потенциалом обладает воздушное пространство России.
В 1994 г. состоялась Критская панъевропейская транспортная конференция, которая установила в Европе 9 транспортных коридоров (см. табл. 5.3).
Непосредственно Россию затрагивают коридоры первый, второй и девятый, которые в настоящее время дополняются новыми направлениями. Они были представлены на Третьей международной конференции по проблемам транспорта (Хельсинки, июнь 1997 г.).
Дополнительные направления:
1. Балтика (Санкт-Петербург) – Центр (Москва) – Черное море (Новороссийск);
2. Москва,– Астрахань;
3. Запад (Берлин - Варшава – Минск) – Центр (Москва) – Нижний Новгород – Урал;
4. Северный морской путь;
5. Водный путь из региона Черного и Азовского морей через Волго-Донской канал в Каспийское море.
Таким образом, транспортные коридоры – это часть международных интеграционных процессов. Важным решением конференции явилось то, что к категории «критских коридоров» (II и IX) отнесены дороги России, а коридор I включает Калининградскую область. Создание международных транспортных коридоров предусматривает не только слияние существующих магистралей в единый комплекс, но и приспособление действующей коммерческой практики к международным стандартам.
Таблица 5.3 Приоритетные транспортные коридоры

Обязательным элементом мультимодального коридора является наличие единой системы информационного обеспечения, его универсальность и доступность каждому участнику транспортно-логистического продвижения товара, начиная от грузоотправителя и кончая грузополучателем. Она включает информацию о местонахождении грузовой партии (контейнеров, пакетированных грузов и т.д.) как в пути, так и на стоянке транспортного средства и оборудования. В международной практике в настоящее время разрабатываются новые информационные стандарты внешней торговли и транспорта, призванные повысить качество управления и транспортного обслуживания, обеспечения безопасности движения и т.д. Важная задача – разработка условий стыковки российских информационных систем с европейскими, японскими и другими коммуникациями.
Для России участие в организации и эксплуатации международных транспортных коридоров является не только одним из способов повышения технологического и организационного уровней отечественного транспорта, но и средством интеграции его в международную транспортную систему. Это создает предпосылки и условия привлечения иностранных инвестиций в развитие российской транспортной инфраструктуры.
Интенсивное развитие международных экономических отношений, глобализация и регионализация мировой экономики, интеграционные процессы требуют создания системы, обеспечивающей экономические связи между странами мира, т.е. международной системы товародвижения, на базе единого транспортного пространства. Концепция их формирования основывается на интермодальном (от словосочетания «inter-modal» – международные перевозки) подходе, важными элементами которого являются международные транспортные коридоры и транспортные узлы.
Функционирование комплекса интермодальных перевозок обеспечивается системой телекосмических передач информации и автоматического слежения за движением транспортных средств и оборудования. Это позволяет получать дополнительный экономический эффект от сокращения общего срока доставки груза, уменьшения терминальных расходов, в результате или исключения их вообще, или доведения до минимума складирования грузов на терминалах. Издержки обращения уменьшаются, так как ограничивается число расчетных операций и время банковских процедур, сокращается реестр договоров.
В то же время в перевозке почти каждого вида груза участвует не один вид транспорта. Перевозкой груза в смешанном сообщении считается та, при которой доставку груза от отправителя к получателю осуществляют, по крайней мере, два различных вида транспорта, если она выполняется на этом маршруте под ответственностью только одного перевозчика, по единому транспортному документу, подтверждающему заключение договора перевозки, и оплачивается по единой сквозной тарифной ставке. Такие перевозки определяются термином «прямое смешанное сообщение». За рубежом они получили наименование «комбинированные» или «мультимодальные» (от словосочетания «multi-modal») в отличие от перевозок, выполняемых одним видом транспорта.
Факторы, повышающие эффективность смешанных перевозок:
а) применение централизованной системы завоза и вывоза грузов;
б) контейнеризация и пакетизация перевозок;
в) концентрация перегрузочных, складских и других грузовых операций на небольшом количестве оснащенных станций и контейнерных пунктов с созданием сети транспортно-складских баз (терминалов), выполняющих распределительные функции и называемых в зарубежной литературе «центры распределения»;
г) создание объединенных предприятий различных видов транспорта, обеспечивающих доставку грузов «от двери до двери»;
д) переход на логистические технологии перевозок с доставкой грузов по системе «точно в срок»;
е) укрупнение перевалочных грузопотоков;
ж) техническое перевооружение и модернизация подвижного состава, устройств в портах.
Мультимодальные перевозки и контейнеризация дали толчок развитию так называемых терминальных схем, которые предусматривают доставку грузов от пункта назначения магистрально-фидерными линиями с использованием для перевалки грузов опорных терминалов в регионах отправления и назначения. Из пунктов отправления на опорный терминал груз доставляется фидерными транспортными средствами (автотранспортом, малыми судами и др.) Здесь происходит формирование повагонных, контейнерных и трейлерных отправок для различных опорных терминалов назначения. Между опорными терминалами грузы доставляются эффективными средствами магистрального транспорта (крупнотоннажными контейнеровозами, маршрутными поездами и др.), которые работают по четкому расписанию с большой частотой рейсов. На опорном терминале назначения грузы рассортировываются и доставляются в конечный пункт назначения фидерными транспортными средствами.
Экономический эффект достигается за счет использования в магистральном транспортном коридоре крупнотоннажных перевозочных средств, обладающих низкими удельными расходами энергетических и других материальных ресурсов. Поэтому такой способ доставки справедливо считается наиболее совершенной ресурсосберегающей технологией, позволяющей снижать общественно необходимые транспортные затраты и соответственно удерживать стабильные цены международных перевозок.
Транспортно-технологическая система интермодальных перевозок оперирует данной массой груза, консолидированной в определенном весовом, объемном, штучном количестве и размещенной на грузовом модуле – укрупненной грузовой единице (УГЕ), которую принято обозначать также аббревиатурой ULD (Unit Load Device). К ULD относятся: контейнеры, трейлеры, роллтрейлеры лихтеры, контейнерные платформы – флеты. Использование ULD значительно ускоряет процесс обработки грузов в портах. Для более эффективного включения российского транспортного комплекса в мировой транспортный рынок необходима гармонизация экономических и правовых норм и грузовых стандартов в соответствии с мировой практикой.
На основе логистики формируется научно-практическое направление – экономика товародвижения. Её инструментом становится концентрация грузопотоков на оптимальных географических коммуникациях. Экономика товародвижения разрабатывает оптимальные решения на основе оценки альтернатив логистических транспортных цепей доставки товаров: прямого транзита, организации сбыта товаров через систему складов, создание сборочного предприятия в стране реализации изделия и др.
В настоящее время утверждается концепция уже не фрахтового, а мирового транспортного рынка, на котором рынок фрахтовый занимает положение его главной секции. Он соседствует и взаимодействует с рынком спроса и предложения на услуги международного автомобильного, авиационного, железнодорожного транспорта. При рассмотрении вопроса соотношения спроса и предложения транспортных услуг необходимо анализировать все факторы, которые на них влияют: геополитические, географические, инфраструктурные, природные, климатические, сезонные, ценностные или тарифные, правовые, таможенные, финансовые.
Внедрение концепции логистики в транспортное обеспечение товарооборота, изменение товарной массы в сторону возрастания мелких отправок, предназначенных для немедленного потребления в производстве и торговле, усилили значение не только срока, но и стабильности сервиса.
На транспорте складывается новый вид предпринимательства – глобальное логистическое провайдерство (global logistics providers – GLP) – партнерство промышленника и коммерсанта. Связано это с тем, что международное разделение труда, повышающее эффективность производства и усиливающее глобализацию рынка, а также разветвленность производящей сети приводит к повышению сложности логистики. Высококачественное распределение и снабжение требуют соответствующей организации управления сетями с помощью электронизации операций одновременно с удовлетворением требования снижения транспортных издержек.
Глобализация транспортных услуг означает концентрацию капитала в этой сфере, поскольку в логистическую цепь включаются сотни средних и тысячи мелких транспортных фирм, обеспечивающих весь цикл от отправки до доставки. Кроме этого, в условиях глобализации от всех участников процесса требуется: организация работы по принципу «заказ-исполнение»; обеспечение по всей цепи единой корпоративной культуры; обобщение опыта по управлению крупными структурами; кооперация с региональными системами; тщательный подбор партнеров при создании глобальных сетей.